2019 DR loss(样本不平衡问题)目标检测论文阅读

2019 年 10 月 28 日 极市平台

加入极市专业CV交流群,与6000+来自腾讯,华为,百度,北大,清华,中科院等名企名校视觉开发者互动交流!更有机会与李开复老师等大牛群内互动!

同时提供每月大咖直播分享、真实项目需求对接、干货资讯汇总,行业技术交流。关注 极市平台 公众号 ,回复 加群,立刻申请入群~


作者:张凯

来源:https://zhuanlan.zhihu.com/p/75896297

本文作者已授权转载,请勿二次转载。


《DR Loss: Improving Object Detection by Distributional Ranking》是挂在arxiv的论文,作者来自于阿里巴巴。该论文主要是修改损失函数来处理样本不平衡问题的,之前最出名的应该是2017 ICCV最佳学生论文RetinaNet中的focal loss。2019 AAAI的GHM,2019 CVPR的AP loss也分别讨论了样本不平衡的问题。

因为这类方法只会影响训练,不会影响推理速度,对现有产品影响不会很大,所以还是很值得尝试的。

论文链接:https://arxiv.org/pdf/1907.10156.pdf

论文标题:DR Loss: Improving Object Detection by Distributional Ranking

代码未开源,基于detectron开发。


、研究动机

样本不平衡问题是one-stage目标检测算法中一直存在的问题,负样本(背景)的数目远大于正样本,简单样本远大于难例,从而导致训练无法收敛到很好的解。2017 ICCV RetinaNet是通过focal loss来处理该问题,主要是抑制大量简单的负样本,给难例更大的权重。而本篇论文则提出了另外一种解决思路(2019 CVPR AP loss 也是这个思路):将分类问题转换为排序问题,从而避免了正负样本不平衡的问题。同时针对排序,提出了排序的损失函数DR loss,并给出了可求导的解。最终性能较RetinaNet有近2个点的提升,提升还是比较明显的。


、具体方法

整体思路的话,如图所示,主要是将正样本的分布和负样本的分布尽可能区别开,具体结合公式来讲下,比较简单。

首先是对原有分类问题的定义

对于所有的样本,寻找一个分类器 使得分类损失最小,一般采用cross entropy loss,  分别代表图像、样本、类别。

进一步地,把正负样本拆开写

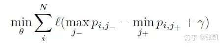
把上述问题转换为排序问题:

上述公式的含义是,对于所有样本对(一个正样本和一个负样本构成一对)的损失最小,每一个样本对排序都要正确, 代表margin。

进一步,对于每幅图像可以写成

如果按照上述公式来做,会存在两个问题,一是负样本之间本身就是不平衡的,二是样本对太多了,具体是 


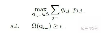
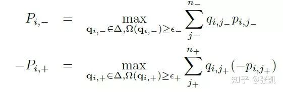
所以一种解决方案是改求正负样本分布的min和max:

成功地将量级转换为了1。但上述同样存在一个问题,就是该公式对outliers太敏感了,训练肯定不稳定。

为了解决上述问题,本文的思路是选取正负样本中最具代表性的样本来参与排序,具体地,作者定义了正样本分布和负样本分布的分数:

其中q代表的是分布,并有  

可以看到,如果q服从均匀分布,实际上求得就是正负样本的期望。(当然这样肯定不行,因为负样本中难易样本是不均衡的)

所以作者希望求解这个分布,使得分布的分数最小化或者最大化

如果分布没有约束的话,那么产生的解一定是最大值对应的q为1,其余值为0,这样就又退化了之前直接求max和min了。

所以作者在此处加入了对分布的约束:

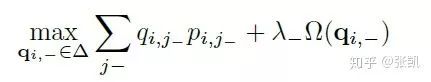
进一步,转换为以下次优问题:

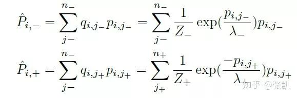
利用对偶法转换:

再用KKT条件,可以求得:

最后,代入公式,求得分布的分数

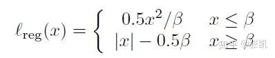
最终为了平滑整个曲线,作者加入了hinge loss:

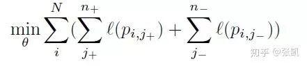
最终分类的loss为:

并且为了确保正样本和负样本能够分开,需要

即可保证:

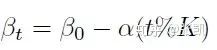
对于回归loss,作者也做了改进:

主要是在训练中对其进行衰减:

目的是为了减少L1和L2之间的gap。


三、实验结果

作者首先做了一些消融实验,例如对于hingle loss中的L:

L对最后的结果影响不大。

其他关于正则项h等消融实验详情见论文。

最终结果的性能提升还是非常明显的,比baseline高了2个点左右。


四、总结分析

优点:借鉴了排序loss引入到目标检测中,并且给出了可行的优化过程,性能提升也很明显,对于现有的检测框架,只需要修改损失函数,后续会考虑尝试下。

缺点:超参还是蛮多的,虽然在COCO上似乎影响不大,换个数据集和检测框架(例如anchor-free的)不知道是不是很稳定。之前在FCOS上尝试了GHM的方法,直接用默认参数可以掉10个点,不过可以通过调参调回来



-End-


*延伸阅读





CV细分方向交流群


添加极市小助手微信(ID : cv-mart),备注:研究方向-姓名-学校/公司-城市(如:目标检测-小极-北大-深圳),即可申请加入目标检测、目标跟踪、人脸、工业检测、医学影像、三维&SLAM、图像分割等极市技术交流群(已经添加小助手的好友直接私信),更有每月大咖直播分享、真实项目需求对接、干货资讯汇总,行业技术交流一起来让思想之光照的更远吧~



△长按添加极市小助手


△长按关注极市平台


觉得有用麻烦给个在看啦~  



登录查看更多
11

相关内容

少标签数据学习,54页ppt
专知会员服务
205+阅读 · 2020年5月22日
专知会员服务
55+阅读 · 2020年3月16日
样本贡献不均:Focal Loss和 Gradient Harmonizing Mechanism
非平衡数据集 focal loss 多类分类
AI研习社
33+阅读 · 2019年4月23日
图像分类:常用分类网络结构(附论文下载)
极市平台
13+阅读 · 2019年4月8日
目标检测小tricks之样本不均衡处理
PaperWeekly
49+阅读 · 2019年4月5日
目标检测论文阅读:DetNet
极市平台
9+阅读 · 2019年1月28日
CVPR2018 目标检测算法总览(最新的目标检测论文)
极市平台
21+阅读 · 2018年12月21日
Focal Loss for Dense Object Detection
统计学习与视觉计算组
12+阅读 · 2018年3月15日
论文 | 用于密集对象检测的 Focal Loss 函数
七月在线实验室
9+阅读 · 2018年1月4日
Arxiv
5+阅读 · 2019年4月8日
Arxiv
7+阅读 · 2018年1月24日
VIP会员
相关资讯
样本贡献不均:Focal Loss和 Gradient Harmonizing Mechanism
非平衡数据集 focal loss 多类分类
AI研习社
33+阅读 · 2019年4月23日
图像分类:常用分类网络结构(附论文下载)
极市平台
13+阅读 · 2019年4月8日
目标检测小tricks之样本不均衡处理
PaperWeekly
49+阅读 · 2019年4月5日
目标检测论文阅读:DetNet
极市平台
9+阅读 · 2019年1月28日
CVPR2018 目标检测算法总览(最新的目标检测论文)
极市平台
21+阅读 · 2018年12月21日
Focal Loss for Dense Object Detection
统计学习与视觉计算组
12+阅读 · 2018年3月15日
论文 | 用于密集对象检测的 Focal Loss 函数
七月在线实验室
9+阅读 · 2018年1月4日
Top
微信扫码咨询专知VIP会员