Relation Networks for Object Detection 论文笔记

2018 年 4 月 18 日 统计学习与视觉计算组 安骄阳

CVPR 2018 论文 论文链接 https://arxiv.org/abs/1711.11575

本文亮点:

  • 将《Attention Is All You Need》中的 Attention 机制应用到目标检测领域,设计出的目标关系模块很容易的集成到任意网络中。

  • 用目标关系模块代替传统NMS算法进行去重,检测网络完全可以端到端训练。

1.摘要

在视觉领域,我们都知道,建模物体间的关系,有利于目标识别任务。但是在深度学习领域,很少有利用物体关系进行目标识别任务的。本文提出了一种目标关系模块(Object Relation Module),它同时处理一组目标,对目标之间的外观特征关系和位置关系进行建模。该模块的输入输出维度相同(in-place),不需要额外的监督,因此很容嵌入到已有网络中。实验表明,在目标检测网络的目标识别去重两个阶段添加目标关系模块,可以提高检测精度,并实现完全的端到端目标检测器。

2.介绍

目标关系模块使用了 Attention 机制,基本思想来源于 Google 的一篇 NLP 方向的文章《Attention Is All You Need》(链接:https://arxiv.org/abs/1706.03762)。作者设计的 Attention 权重由两部分组成,外观特征关系权重空间关系权重。 作者将目标关系模块应用到区域特征提取后的 FC 层,使目标特征包含物体间的关系信息,增强目标识别能力。作者还将目标关系模块应用到去重阶段,代替传统的 NMS 算法,提高网络识别精度,同时可以使网络进行端到端的训练,如图1所示。

图1 目标关系模块(红框)应用到实例识别和去重阶段

3.目标关系模块

在 Google 的文章中,称这种 Attention 机制为“Scaled Dot-Product Attention”。计算过程用公式1表示:

输入一个维的 query,一组维的 keys 和一组维的 values。q 与 K 点乘,得到一组相似度,除以以减小数值的规模,防止 Softmax 输出非0即1。通过 Softmax 得到 V 的权重,对 V 加权求和得到一个输出。这里的q,K,V可以为同一种数据,比如都是物体的外观特征。


下面看一下本文是如何将上述公式应用到关系模块的: 物体的特征由两部分组成,空间特征(4 维的 RoI 的 bbox 信息)和外观特征(RoI 区域特征,如FC层输出的1024维特征)。输入 N 个物体的特征,第 n 个物体关于其他所有物体的关系特征表示为:

输出是所有外观特征的加权和。是变换矩阵,对特征做线性变换。对应于公式1中的V表示第 n 个物体与其他物体的关系权重。其计算公式为:

分母是一个归一化项。为外观权重,为空间权重。

外观权重的计算公式为:

其中均为投影矩阵,将外观特征降投影到维,通过内积比较特征的相似度。对应于公式1中的q对应于公式1中的K

 空间权重的计算公式为:

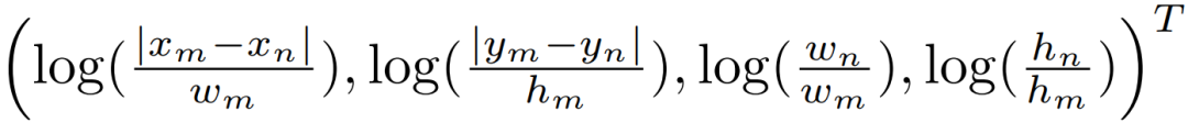
分为两步。第一步,先计算两个物体之间的相关空间特征:

上式类似于边界框回归时的计算目标,保证了平移、缩放不变性。接下来使用《Attention Is All You Need》中的方法将4维的相关空间特征嵌入(Embedding)到高维,得到维特征

第二步,将嵌入的特征与点乘,得到标量的权重,如果权重小于0,则取0。


在目标关系模块中,作者将个关系特征进行连接(concatenate),再加到第n个物体的外观特征上作为模块最后的输出:

这里,假设外观特征维的,为了使拼接后的特征维度也为,则线性变换矩阵的维度应为


图2展示了目标关系模块的整个计算流程,蓝色标记的是特征或矩阵的维度大小。

图2 目标关系模块

图中共有个relation块,每一个relation块中,都需要学习四个矩阵 :

因此,一个目标关系模块,参数个数为:

本文中,作者设置=16,=64,=64。输入的proposals数量N=300。

4.应用到目标检测

实例检测阶段

Faster R-CNN,FPN,DCN 等目标检测网络,RoI Pooling 层输出的特征都会与2个全连接层相连,然后预测类别得分和边界框回归。大致流程如图3所示,这里 FC 层输出的维度大小为1024。

图3 目标检测网络分类回归阶段流程

作者在每个 FC 层后,加入目标关系模块,保证输入 N 个 proposals 前后,特征维度不发生变化。大致流程如图4所示。

图4 加入目标关系模块后的流程

网络的检测部分,由 2fc 变为了 2fc+RM(Relation module),网络结构如图5所示。

图5 2fc+RM

去重阶段

作者将去重看作一个二分类问题,其流程如图6所示:

图6 去重阶段流程

在分类和边界框回归分支,网络输出了分类得分 s0 和预测的边界框 bbox。作者先将 N 个物体的得分从大到小排序,每一个物体排序的序号(rank)∈[1,N]。与的处理方式类似,作者将 rank 值嵌入到一个高维空间,维度大小为128。然后将 rank 特征,和 2fc+RM 层之后的1024维的外观特征分别通过矩阵投影到128维,再按元素相加。将该特征和bbox特征输入到关系模块中,通过矩阵对输出的关系特征线性分类,再使用 Sigmoid 函数得到二分类得分 s1(1表示是正确的bbox,0表示多余的bbox)。最后用 s0*s1 表示最终的分类得分。

去重阶段正负样本选取:对于每一个 ground truth box,选取边界框回归阶段 IoU ≥η 的框中得分最高的为正样本,其他为负样本。

s0*s1 的设计很巧妙,避免了正负样本不平衡的问题,对于负样本,损失函数为:

反向传播的梯度为:

由于负样本 s0 很小,因此对优化目标影响很小。

在实践中,去重网络使用 GPU 执行,耗时约为 2ms。NMS 和 Soft NMS 使用 CPU 执行,耗时约为 5ms。

5.实验

验证检测阶段的效果

作者将使用两个FC层的网络设为baseline。

(1)空间特征 为了验证空间特征的有效性,作者设计了3组实验。将空间关系权重置为1,记为 none;将空间特征嵌入到高维,维度与相同,然后将该特征与相加,记为 unary。实验结果如表1(a)所示。

 (2)关系数量 

结果如表1(b)所示。

 (3)关系模块的数量 分别在两个FC层后添加不同数量的关系模块,实验结果如表1(c)所示。


效果的提升是来自参数和层数的增加吗?

表2对比了不同深度,宽度的网络结构。


验证去重阶段效果

表3验证了去重网络所使用的特征是否有效。可以看出rank特征和bbox特征起了很重要的作用。


表4与NMS算法进行对比

端到端的目标识别

作者使用不同的检测框架,进行对比。每一个网络框架,分别使用了 2fc head+SoftNMS -> 2fc+RM head+SoftNMS -> 2fc+RM head+e2e(end-to-end)三种网络结构。实验结果如表5所示。


登录查看更多
16

相关内容

目标识别是指一个特殊目标(或一种类型的目标)从其它目标(或其它类型的目标)中被区分出来的过程。它既包括两个非常相似目标的识别,也包括一种类型的目标同其他类型目标的识别。
【KDD2020】自适应多通道图卷积神经网络
专知会员服务
121+阅读 · 2020年7月9日
【CMU】基于图神经网络的联合检测与多目标跟踪
专知会员服务
59+阅读 · 2020年6月24日
近期必读的5篇AI顶会CVPR 2020 GNN (图神经网络) 相关论文
专知会员服务
79+阅读 · 2020年3月3日
专知会员服务
42+阅读 · 2020年2月20日
Fully-Convolutional Siamese Networks for Object Tracking论文笔记
统计学习与视觉计算组
10+阅读 · 2018年10月12日
CornerNet: Detecting Objects as Paired Keypoints 论文笔记
统计学习与视觉计算组
7+阅读 · 2018年9月27日
Single-Shot Object Detection with Enriched Semantics
统计学习与视觉计算组
14+阅读 · 2018年8月29日
论文笔记之Feature Selective Networks for Object Detection
统计学习与视觉计算组
21+阅读 · 2018年7月26日
Cascade R-CNN 论文笔记
统计学习与视觉计算组
8+阅读 · 2018年6月28日
RASNet 论文笔记
统计学习与视觉计算组
10+阅读 · 2018年4月26日
Mask R-CNN 论文笔记
统计学习与视觉计算组
11+阅读 · 2018年3月22日
Focal Loss for Dense Object Detection
统计学习与视觉计算组
12+阅读 · 2018年3月15日
论文浅尝 | Distant Supervision for Relation Extraction
开放知识图谱
4+阅读 · 2017年12月25日
Augmentation for small object detection
Arxiv
13+阅读 · 2019年2月19日
Exploring Visual Relationship for Image Captioning
Arxiv
15+阅读 · 2018年9月19日
Arxiv
6+阅读 · 2018年7月9日
Arxiv
4+阅读 · 2018年6月14日
Arxiv
7+阅读 · 2018年3月19日
VIP会员
相关VIP内容
相关资讯
Fully-Convolutional Siamese Networks for Object Tracking论文笔记
统计学习与视觉计算组
10+阅读 · 2018年10月12日
CornerNet: Detecting Objects as Paired Keypoints 论文笔记
统计学习与视觉计算组
7+阅读 · 2018年9月27日
Single-Shot Object Detection with Enriched Semantics
统计学习与视觉计算组
14+阅读 · 2018年8月29日
论文笔记之Feature Selective Networks for Object Detection
统计学习与视觉计算组
21+阅读 · 2018年7月26日
Cascade R-CNN 论文笔记
统计学习与视觉计算组
8+阅读 · 2018年6月28日
RASNet 论文笔记
统计学习与视觉计算组
10+阅读 · 2018年4月26日
Mask R-CNN 论文笔记
统计学习与视觉计算组
11+阅读 · 2018年3月22日
Focal Loss for Dense Object Detection
统计学习与视觉计算组
12+阅读 · 2018年3月15日
论文浅尝 | Distant Supervision for Relation Extraction
开放知识图谱
4+阅读 · 2017年12月25日
相关论文
Top
微信扫码咨询专知VIP会员