机器学习学不好,90%的原因是这个……

2019 年 4 月 4 日 七月在线实验室



今天刷到一个旧新闻,说的是去年广州有个开小饭店的大叔火了。


因为去他的店铺吃饭,点一份鸭肉+青菜+鸭肉汤,仅仅只要12块,还能免费续饭。


相比附近的店,简直超划算。


于是就有记者问他:“卖这么便宜肯定挣不了什么钱吧”


结果大叔笑了笑,“挣得少,但我活的很开心啊,我有也不是很多钱了,就是十栋房子收租,每栋房子七层而已啦”


而且,这位大叔,还特地买了辆宝马专门用来买菜。



看完这个新闻,只有这张图能表达我此刻的心情。

 


唉,一套房也没有的七妹只能默默搬砖了。


说到搬砖,经常有小伙伴在后台给七妹留言:


都说机器学习中数学很重要,那数学到底要学到什么程度才可以呢。


那七妹今天就给大家分享一下,机器学习中数学需要学到什么程度。


对于绝大多数从事于机器学习的人来说,学数学的目的,主要是便于(深入)理解算法的思路。那么问题来了,我们到底要把数学学到什么程度?


这里举两个例子:


1、线性最小二乘法


大家可以随意搜索一下,相关的文章很多。长篇大论的不少,刚入门的朋友一看到那些公式可能就看不下去了。比如下面的解释:



毫无疑问,这样的解释是专业的,严谨的。事实上,这是深度学习圣经里的解释。


我并没有诋毁大师的意思,只是觉得用一个具体的例子来说明,可能会让读者更加容易理解:


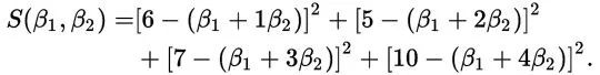
小明是跑运输的,跑1公里需要6块,跑2公里需要5块(那段时间刚好油价跌了),跑3公里需要7块,跑4公里需要10块,请问跑5公里需要多少块?


如果我们有初中数学基础,应该会自然而然地想到用线性方程组来做,对吧。



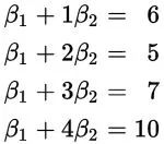
这里假定x是公里数,y是运输成本(β1和β2是要求的系数)。我们把上面的一组数据代入得到这么几个方程:



这里假定x是公里数,y是运输成本(β1和β2是要求的系数)。我们把上面的一组数据代入得到这么几个方程:


如果存在这样的β1和β2,让所有的数据(x,y)=(1,6),(2,5),(3,7),(4,10)都能满足的话,那么解答就很简单了,β1+5β2就是5公里的成本,对吧。


但遗憾的是,这样的β1和β2是不存在的,上面的方程组很容易,你可以把前面两个解出来得到一组β1和β2,后面两个也解出来同样得到一组β1和β2。这两组β1和β2是不一样的。


形象地说,就是你找不到一条直线,穿过所有的点,因为他们不在一条直线上。如下图:


可是现实生活中,我们就希望能找到一条直线,虽然不能满足所有条件,但能近似地表示这个趋势,或者说,能近似地知道5公里的运输成本,这也是有意义的。


现实生活当中,有很多这样的例子,想起以前在某公司上班的时候,CEO说我们研发部做事有个问题:一个研发任务,要求三个月做完,因为周期太短,完成不了,就干脆不做,这显然是不对的,要尽全力,哪怕三个月完成了80%,或者最终4个月完成,总比不作为的好。


其实最小二乘法也是这样,要尽全力让这条直线最接近这些点,那么问题来了,怎么才叫做最接近呢?直觉告诉我们,这条直线在所有数据点中间穿过,让这些点到这条直线的误差之和越小越好。


这里我们用方差来算更客观。也就是说,把每个点到直线的误差平方加起来:



(如果上面的四个方程都能满足,那么S的值显然为0,这是最完美的,但如果做不到完美,我们就让这个S越小越好)


接下来的问题就是,如何让这个S变得最小。


这里有一个概念,就是求偏导数。这里我想提一下,在培训的过程中,我发现机器学习的数学基础课程当中,微积分是大家印象最深刻的,而且也最容易理解:比如导数就是求变化率,而偏导数则是当变量超过一个的时候,对其中一个变量求变化率。


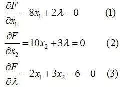
要让S取得最小值(或最大值,但显然这个函数没有最大值,自己琢磨一下),那么S对于β1和β2分别求偏导结果为0,用一个直观的图来表示:

我们看到这条曲线,前半部分是呈下降的趋势,也就是变化率(导数)为负的,后半部分呈上升的趋势,也就是变化率(导数)为正,


那么分界点的导数为0,也就是取得最小值的地方。这是一个变量的情况,对于多个变量的情况,要让S取得最小值,那最好是对β1和β2分别求导(对β1求导的时候,把β2当常量所以叫求偏导),值为0:





看到这个我们就熟悉了,两个变量,刚好有两个方程式,初中学过,那么很容易得出:




其实也就意味着:



这个函数也就是我们要的直线,这条直线虽然不能把那些点串起来,但它能最大程度上接近这些点。也就是说5公里的时候,成本为3.5+1.4x5=10.5块,虽然不完美,但是很接近实际情况。


2拉格朗日乘子法


听到拉格朗日乘子法这个名字的时候,很多人的第一反应是:这玩意儿是不是很高深啊,先入为主地有了畏难的情绪。


但我把它讲完以后,大部分人表示并不难,而且现实生活中,我们经常潜移默化会用到拉格朗日乘子法。甚至可以说,不用拉格朗日乘子法的人生都是不完整的人生。


我们来看一下定义:



虽然这个定义应该说是很简洁明了的,但对于大部分人来说,依然还是有点懵。不太清楚为什么要这么做。


拉格朗日到底要搞什么飞机?


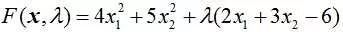
我们还是举个例子:某工厂在生产过程中用到两类原材料,其中一种单价为2万/公斤,另一种为3万/公斤,而工厂每个月预算刚好是6万。就像下面的公式:



经过分析,工厂的产量f跟两种原材料(x1,x2)具有如下关系(我们暂且不管它是如何来的,而且假定产品可以按任意比例生产):



请问该工厂每个月最少能生产多少?其实现实生活中我们会经常遇到类似的问题:


在某个或某几个限制条件存在的情况下,求另一个函数的极值(极大或极小值)。


就好比你要在北京买房,肯定不是想买什么房子就买什么房子,想买多大就买多大,而是跟你手头的金额,是否有北京户口,纳税有没有满五年,家庭开支/负担重不重,工作单位稳不稳定都有关系。


回到工厂的例子,其实就是求函数f的极值。


上面我们提到,极值点可以通过求偏导(变化率为0的地方为极值点)来实现,函数f(x1,x2)对x1,x2分别求偏导。


那么得出的结论是:x1,x2都为0的时候最小,单独看这个函数,这个结论对的,很显然这个函数的最小值是0(任何数的平方都是大于或等于0),而且只有x1和x2同时为0的时候,取得最小值。


但问题是它不满足上面的限制条件。


怎么办呢?拉格朗日想到了一个很妙的办法,既然h(x1,x2)为0,那函数f(x1,x2)是否可以加上这个h(x1,x2)再乘以一个系数呢?任何数乘以0当然是0,f(x1,x2)加上0当然保持不变。


所以其实就可以等同于求下面这个函数的极值:



我们对x1,x2以及λ分别求偏导(极值点就是偏导数均为0的点):



解上面的方程组得到x1=1.071,x2=1.286 然后代入f(x1,x2)即可。


这里为什么要多加一个乘子λ呢,试想一下,如果λ是个固定的数(比如-1),我们也能通过上面的方程式1,2求解得到x1,x2,但是我们就得不到方程式3,其实也就是没有约束条件了。


所以看到没有,拉格朗日很聪明,他希望我们在求偏导(极值点)以后,还能保留原有的约束条件。


我们上面提到,单独对函数求极值不能保证满足约束条件,拉格朗日这么一搞,就能把约束条件带进来,跟求其他变量的偏导结果放在一起,既能满足约束条件,又能保证是约束条件下的极值。


借用金星的一句话:完美!


当然这是一个约束条件的情况,如果有多个约束条件呢?


那就要用多个不同的λ(想想为什么),正如最上面的那个定义那样,把这些加起来(这些0加起来也是0)。


机器学习里的数学,我感觉只需要掌握里面这个核心思想即可,就像拉格朗日乘子法,求条件极值---》转化为求(函数+条件)的极值,每一步都很妙。


其实我想说的是,体会这种妙处以后,再看SVM的算法,会感觉舒服很多,数学主要是为了让人更好地理解算法,并不是为了数学而学数学。


人生苦短,还成天被晦涩的书籍所困扰,“感觉身体好像被掏空”,这样真的好么?


END

作者:Jacky Yang
链接:https://www.zhihu.com/question/36324957/answer/255970074
来源:知乎



今日福利推荐


【涨薪季〡涨薪大作战 】


【数据结构班】

【机器学习应用班】

【机器学习中的数学 第二期】

【python基础入门 第三期】


四门好课免费学,还有VIP年会员700元京东购物卡免!费!送!


扫描海报二维码,领取吧





一次面试让你知道数据结构与算法对前端的重要性

3句话告诉你薪资高到没朋友的数据科学职位到底是干啥的?

一文详解:什么是B树?

机器学习中的数学基础(微积分和概率统计)

34个最优秀好用的Python开源框架

【实战分享】电影推荐系统项目实战应用

Python打牢基础,从19个语法开始!


扫描下方二维码  关注:七月在线实验室 


后台回复:100   免费领取【机器学习面试100题】

后台回复:干货 免费领取全体系人工智能学习资料

后台回复: 领资料  免费领取全套【NLP工程师必备干货资料】


▼更多精彩推荐,请关注我们▼
把时间交给学习
“阅读原文”我们一起进步
在看点一下
登录查看更多
0

相关内容

数学是关于数量、结构、变化等主题的探索。
【纽约大学】最新《离散数学》笔记,451页pdf
专知会员服务
131+阅读 · 2020年5月26日
简明扼要!Python教程手册,206页pdf
专知会员服务
48+阅读 · 2020年3月24日
机器学习速查手册,135页pdf
专知会员服务
345+阅读 · 2020年3月15日
Python数据分析:过去、现在和未来,52页ppt
专知会员服务
103+阅读 · 2020年3月9日
【机器学习课程】Google机器学习速成课程
专知会员服务
170+阅读 · 2019年12月2日
【推荐系统/计算广告/机器学习/CTR预估资料汇总】
专知会员服务
88+阅读 · 2019年10月21日
面试时让你手推公式不在害怕 | 梯度下降
计算机视觉life
14+阅读 · 2019年3月27日
梁康之:MUTCD发展历史和整体介绍
智能交通技术
3+阅读 · 2019年2月20日
博客 | 机器学习中的数学基础(凸优化)
AI研习社
14+阅读 · 2018年12月16日
“搞机器学习没前途”
CSDN
236+阅读 · 2018年9月12日
万万没想到,枯燥的“机器学习”还可以这样学!
机器学习-我妈妈也能看懂的入门篇
深度学习世界
4+阅读 · 2018年5月16日
第二章 机器学习中的数学基础
Datartisan数据工匠
12+阅读 · 2018年4月5日
机器学习应该准备哪些数学预备知识?
AI100
4+阅读 · 2017年11月26日
机器学习(23)之GBDT详解
机器学习算法与Python学习
12+阅读 · 2017年10月25日
Arxiv
4+阅读 · 2018年4月17日
Arxiv
4+阅读 · 2018年3月22日
Arxiv
7+阅读 · 2018年1月24日
Arxiv
5+阅读 · 2016年12月29日
VIP会员
相关VIP内容
【纽约大学】最新《离散数学》笔记,451页pdf
专知会员服务
131+阅读 · 2020年5月26日
简明扼要!Python教程手册,206页pdf
专知会员服务
48+阅读 · 2020年3月24日
机器学习速查手册,135页pdf
专知会员服务
345+阅读 · 2020年3月15日
Python数据分析:过去、现在和未来,52页ppt
专知会员服务
103+阅读 · 2020年3月9日
【机器学习课程】Google机器学习速成课程
专知会员服务
170+阅读 · 2019年12月2日
【推荐系统/计算广告/机器学习/CTR预估资料汇总】
专知会员服务
88+阅读 · 2019年10月21日
相关资讯
面试时让你手推公式不在害怕 | 梯度下降
计算机视觉life
14+阅读 · 2019年3月27日
梁康之:MUTCD发展历史和整体介绍
智能交通技术
3+阅读 · 2019年2月20日
博客 | 机器学习中的数学基础(凸优化)
AI研习社
14+阅读 · 2018年12月16日
“搞机器学习没前途”
CSDN
236+阅读 · 2018年9月12日
万万没想到,枯燥的“机器学习”还可以这样学!
机器学习-我妈妈也能看懂的入门篇
深度学习世界
4+阅读 · 2018年5月16日
第二章 机器学习中的数学基础
Datartisan数据工匠
12+阅读 · 2018年4月5日
机器学习应该准备哪些数学预备知识?
AI100
4+阅读 · 2017年11月26日
机器学习(23)之GBDT详解
机器学习算法与Python学习
12+阅读 · 2017年10月25日
Top
微信扫码咨询专知VIP会员