经典回顾 | Collaborative Metric Learning

2020 年 9 月 18 日 机器学习与推荐算法
嘿,记得给“机器学习与推荐算法”添加星标

来自 | 知乎 

作者 | 老潇

链接 | https://zhuanlan.zhihu.com/p/27259610

编辑 | 机器学习与推荐算法

问题介绍

Metric Learning 通过学习生成什么样的距离度量来帮助解决数据间的关系重要性的问题,就“能解决数据间关系”这一点上作者将其与传统的CF结合起来,学习到了user-item间的潜在关系,以及user-user,item-item的similarity,在借助用户隐式评分下产生了state-of-the-art的Top-k推荐结果。

相关工作

Metric Learning

具体的来说就是通过学习一种数据与数据间的距离度量形式,将现有的数据映射到第三方空间,通过学习到的距离度量来衡量数据间的similarity,度量在数学上满足三角不等式,及两边的长度和不小于第三边,例如均相似,而度量学习的策略即缩短相似数据对之间的长度,而同时度量满足三角不等式,所以学习过程就会自动将相近的样本的距离缩短,这种类似于相似度传播的结果与CF的思想有点像,于是作者想到将metric learning与CF结合起来解决用户用品推荐的问题。提出了CML(Collaborative Metric Learning)的模型。

CML

主要内容就是,给定所有数据和一个数据集里面是user-item的数据对,并且是已知具有正相关的,通过学习user-item之间度量来将这种关系编码到第三方空间,具体的学习,拉近中正相关item,推远其他的item。

度量使用的欧几里得距离:

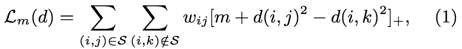
距离的损失函数:

其中为数据中具有正相关的集合,即为item为用户所喜欢的,item为用户所不喜欢的,为hinge loss,叫做ranking loss weight,后面会提到,为安全边界值。

下图表示了在梯度训练时的过程:

可以看到在loss的控制下,正相关的item与user的距离沿着梯度缩小,而不相关的则相反。其中impostor表示在安全边界内出现的负样本(与user不相关的item)

Approximated Ranking Loss

距离损失函数中的采取一种叫做WARP(Weighted Approximate-Rank Pairwise)的loss来建立:

目的是来惩罚排名靠后的正相关item项其中。

其中为在user的推荐列表中item的排名,通过下面的策略来近似:

1、对于每个user-item对,采样个负样本item,并计算距离损失函数。

2、让代表中impostor的个数,则其中可近似为:

其中,为所有的item数。

特征损失函数:

本文中借助的隐式反馈则为用户喜欢的item的feature,为将特征映射到user-item空间的函数(即为本文学习的结果),为相应item的向量,特征损失函数目的是把item的特征向量作为item本身的一种先验,来调整的位置,即相同feature的item理应离得更近,并且能改善那些很少评分的item的位置。由MLP+dropout实现。

正则项损失函数:

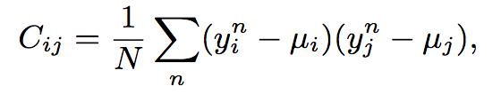
其中为协方差矩阵:

其中为user或者item的向量,为batch中的索引,为向量的维度。,N为batch大小。协方差正则项的引入,主要是接触各维度间的相关性,因为协方差可以看作向量间的冗余。这样能使得整个空间能进行更多信息的表达。

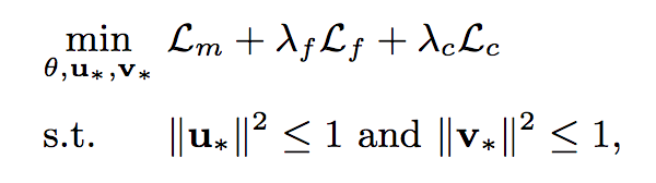
训练过程:

这是总的损失函数,下方的限制条件为保证空间可计算性。整个过程为Mini-Batch SGD训练,学习率采用AdaGrad控制。训练步骤如下:

1、从中抽样个正相关user-item对。

2、对于每一对,抽样个负样本item,并计算近似的

3、对于每一对,保留使得距离损失函数最大的那个负样本item(k),并组成一个batchN。

4、计算梯度并更新参数。

5、重复此过程直到收敛。

实验结果

本文将CML与CF中的许多方法在各领域都进行了对比实验。

实验数据集包括:

其中Concentration表示了评分集中在Top 5%物品的比例,可以反映该数据集对于热门物品的偏爱程度,与用户个性化物品偏爱程度。

实验结果:

实验结果中可以看到,CML超过了几乎所有的方法,并且是在各领域都达到了state-of-the-art。

并且CML方法在对于注重用户兴趣的数据集上比较好,说明CML能很好的发现用户的preference。

选取了图像集来说明CML在只关注与user-item关系的情况下对item-item的similarity也产生了很好的效果。

总结

本文将metric learning与cf结合起来,通过充分利用metric learning学习距离的优势来挖掘user-item间的潜在关系,并且在各领域都能取得好成绩,文中也提到学习用户与物品距离成为了推荐在CF后的新方向。

推荐阅读
CTR点击率预估论文集锦(持续更新)
知识蒸馏与推荐系统概述

GBDT与XGBOOST串讲

🧐分享、点赞、在看,给个三连击呗!👇

登录查看更多
6

相关内容

度量学习的目的为了衡量样本之间的相近程度,而这也正是模式识别的核心问题之一。大量的机器学习方法,比如K近邻、支持向量机、径向基函数网络等分类方法以及K-means聚类方法,还有一些基于图的方法,其性能好坏都主要有样本之间的相似度量方法的选择决定。 度量学习通常的目标是使同类样本之间的距离尽可能缩小,不同类样本之间的距离尽可能放大。
专知会员服务
30+阅读 · 2020年11月4日
【SIGIR 2020】 基于协同注意力机制的知识增强推荐模型
专知会员服务
91+阅读 · 2020年7月23日
【WWW2020-华为诺亚方舟论文】元学习推荐系统MetaSelector
专知会员服务
56+阅读 · 2020年2月10日
读论文Discriminative Deep Metric Learning for Face and KV
统计学习与视觉计算组
12+阅读 · 2018年4月6日
LibRec 每周算法:Collaborative Metric Learning (WWW'17)
LibRec智能推荐
6+阅读 · 2017年7月4日
Arxiv
8+阅读 · 2018年5月15日
Arxiv
9+阅读 · 2018年3月28日
VIP会员
相关资讯
读论文Discriminative Deep Metric Learning for Face and KV
统计学习与视觉计算组
12+阅读 · 2018年4月6日
LibRec 每周算法:Collaborative Metric Learning (WWW'17)
LibRec智能推荐
6+阅读 · 2017年7月4日
Top
微信扫码咨询专知VIP会员