DCN-M:Google提出改进版DCN,用于大规模排序系统的特征交叉学习(附代码)

2020 年 10 月 26 日 AINLP

 本文结合DeepCTR-Torch中的代码实现,介绍了DCN的改进版——DCN-M。该模型能更有效地学习特征交叉,并通过低秩矩阵分解对参数矩阵进行降维,降低计算成本。受MOE结构启发,作者还在多个子空间中建模特征交叉。实验表明,传统的基于ReLU的神经网络在学习高阶特征交叉时效率较低;DCN-M能够在保证效率较高的同时,取得优于SOTA方法的效果。

本文介绍的论文是《DCN-M: Improved Deep & Cross Network for Feature Cross Learning in Web-scale Learning to Rank Systems》 论文地址:https://arxiv.org/abs/2008.13535

代码实现:DeepCTR-Torch(https://github.com/shenweichen/DeepCTR-Torch)中DCN-MDCN-Mix(点击文末阅读原文可访问)

摘要

在大规模(几十亿样本)场景下,DCN[1]中cross网络的表达能力有限,无法学到更加有用的特征交叉。尽管学术界做出了大量进展,但工业界很多深度模型还是依赖于传统的DNN来低效地学习特征交叉。

基于DCN的优缺点以及现有的特征交叉方法,作者提出了改进版的DCN-M[2]来使模型更容易在大规模工业场景下落地。大量实验结果表明,DCN-M在学习特征交叉时的表达能力更强且效率较高,在主流数据集上能够超过SOTA方法。在引入混合低秩矩阵后效果更好。DCN-M结构简单,容易作为building blocks,且在许多大规模L2R系统中取得了显著的线下和线上指标提升。

贡献

  • 提出了一种新的DCN-M模型来有效地学习显式和隐式特征交叉,模型高效、简单的同时,表达能力更强。
  • 基于DCN-M中学习出的低秩矩阵,利用低秩方法来在子空间中进行近似特征交叉,在模型效果和时延上达到了更好的权衡。受MOE结构启发,将矩阵分解至多个子空间,随后通过门控机制来对这些子空间进行融合。
  • 使用人造数据集进行了研究,结果表明传统的基于ReLU的神经网络在学习高阶特征交叉时效率较低。
  • 在Criteo和ml-1m数据上的大量实验表明,DCN-M模型能够显著胜过SOTA方法。

模型

DCN回顾

首先回顾一下DCN的模型结构:

特征经过embedding、stack后,分别输入cross network和DNN,两路的输出stack后经过单层nn映射为一维的预测分数。

embedding/stack/DNN不必赘述,主要看cross network。cross network的核心思想是更高效地实现显式特征交叉,每一层的计算如下:

其中

图示:

, , , 都是d维的列向量,形状是(d,1)。 的形状是(d,1) * (1,d) * (d,1)=(d,1),与 , 一致。cross网络每一层仅增加2d个参数( ),整体参数量为 为网络层数),参数量相比DNN是少得多的。

cross网络的改进

DCN中cross网络的参数是向量,DCN-M中换成了矩阵来提高表达能力、方便落地。DCN-M是指“DCN-matrix” ,原来的DCN在这里称为DCN-V(“DCN-vector”)。

其中

图示:

目前最新版的DeepCTR-Torch[3]中已实现了DCN和DCN-M,只需调整parameterization参数即可切换模型。其中CrossNet的核心代码如下:

if self.parameterization == 'vector':
    xl_w = torch.tensordot(x_l, self.kernels[i], dims=([1], [0]))
    dot_ = torch.matmul(x_0, xl_w)
    x_l = dot_ + self.bias[i]
elif self.parameterization == 'matrix':
    dot_ = torch.matmul(self.kernels[i], x_l)  # W * xi  (bs, in_features, 1)
    dot_ = dot_ + self.bias[i]  # W * xi + b
    dot_ = x_0 * dot_  # x0 · (W * xi + b)  Hadamard-product
x_l = dot_ + x_l

完整代码地址:https://github.com/shenweichen/DeepCTR-Torch/blob/bc881dcd417fec64f840b0cacce124bc86b3687c/deepctr_torch/layers/interaction.py#L406-L461

Deep和cross的结合方式

结合方式分为堆叠(串行)和并行两种:

这两种结合方式下的DCN-M效果都优于基准算法。但这两种结构之间的优劣不能一概而论,与数据集有关。串行结构在criteo数据集上更好,而并行结构在Movielen-1M上效果更好。

损失函数

损失函数为带L2正则化的log loss:

混合低秩矩阵

工业界模型往往受计算资源和响应时间限制,需要在保证效果的同时降低计算成本。低秩方法被广泛用于降低计算成本——将一个稠密矩阵近似分解为两个”高瘦“的低秩矩阵。而且,当原矩阵的奇异值差异较大或快速衰减时,低秩分解的方法会更加有效。作者发现,DCN-M中学到的参数矩阵是低秩的(所以比较适合做矩阵分解)。下图展示了DCN-M中学到的参数矩阵的奇异值衰减趋势,比初始化的矩阵衰减更快:

因此,作者将参数矩阵 分解为了两个低秩矩阵

这个公式有两种解释:

(1)在子空间中学习特征交叉

(2)将输入特征x映射到低维空间 中,然后再映射回到

这两种解释分别激发了作者随后的两处改进:

(1)激发了作者使用Mixture-of-Experts (MoE)的思想,在多个子空间中学习,然后再进行融合。MOE方法包含两部分:专家网络 (即上个公式中使用低秩矩阵分解的cross网络)和门控单元 (一个关于输入 的函数),通过门控单元来聚合 个专家网络的输出结果:


图示:

(2)激发了作者利用映射空间的低秩性。在映射回原有空间之前,施加了非线性变换来提炼特征:

此公式的代码实现:(低秩空间中的非线性函数目前采用tanh)

  # E(x_l)
  # project the input x_l to $\mathbb{R}^{r}$
  v_x = torch.matmul(self.V_list[i][expert_id].T, x_l)  # (bs, low_rank, 1)

  # nonlinear activation in low rank space
  v_x = torch.tanh(v_x)
  v_x = torch.matmul(self.C_list[i][expert_id], v_x)
  v_x = torch.tanh(v_x)

  # project back to $\mathbb{R}^{d}$
  uv_x = torch.matmul(self.U_list[i][expert_id], v_x)  # (bs, in_features, 1)

  dot_ = uv_x + self.bias[i]
  dot_ = x_0 * dot_  # Hadamard-product

完整代码:https://github.com/shenweichen/DeepCTR-Torch/blob/bc881dcd417fec64f840b0cacce124bc86b3687c/deepctr_torch/layers/interaction.py#L464-L537

复杂度

DCN-M中的cross网络的时空复杂度是 ,采用混合低秩矩阵后(称作DCN-Mix)的时空复杂度是 ,当rK<<d时会更加高效。

实验

「RQ1:在什么情况下,显式学习特征交叉的模型能比基于ReLU的DNN更有效?」

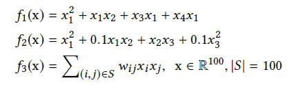
很多CTR的工作都在针对显式特征交叉进行建模(传统神经网络无法高效地学习到),但很多工作都只在公开数据集上进行研究,这些公开数据集上特征交叉的模式是未知的,且包含许多噪声数据。因此,作者通过特定的特征交叉模式来生成数据集,验证各模型的效果。

首先考虑「2阶特征交叉」。按照难度由易到难的顺序指定特征交叉的模式:

中的集合 和权重 是随机指定的。下面我们看看各模型能否有效的学习到这些特征交叉(CN是指单独的Cross Network):

从RMSE上来看模型拟合的效果:CN-V和CN-M效果较好。当交叉的模式变得复杂时( ),所有方法的效果都有所下降,但CN-M仍然是很准确的。DNN的效果较差,即使是使用更宽、更深的DNN(DNN-large),效果仍然较差。

「1-4阶特征交叉」(与实际情况较为接近):

CN-M和DNN的效果如下表所示:

当增大层数时,CN-M能够捕捉数据中更高阶的特征交叉、达到更好的效果。由于CN-M中的残差项和偏置项,即使模型超过3层(引入了多余的特征交叉),效果也没有变差。

「RQ2:去掉DNN后,baselines中的特征交叉部分表现如何?」

数据集:Criteo

  1. 更高阶的模型会比2阶的模型效果更好,说明在Criteo数据集上更高阶的交叉也是有意义的。
  2. 在高阶模型中,Cross Network取得了最好的效果

「RQ3 DCN-M的效果与baselines相比如何?能否在准确性和计算成本上取得更好的权衡?」

数据集:Criteo、ml-1m

FLOPS是模型运行时间的近似估计。大部分模型的运行时间大约是参数量#Params的2倍,但xDeepFM却高出了一个数量级,难以落地。DCN-M效果最好,而且相对来说效率比较高;DCN-Mix进一步降低了计算成本,在准确性和计算成本上实现了更好的权衡。

「RQ4 cross网络能否替代ReLU层?」

作者进一步对比了DNN和CrossNet的效果。由于实际生产环境中资源有效,往往需要限制模型大小。因此作者限制了模型的内存占用(即参数量)。结果显示,在相同的参数量限制下,CrossNet的效果更好。那是不是说CrossNet就能替代ReLU层?作者表示:还需要更多实验和分析...

「RQ5 DCN-M中的各项参数是如何影响模型效果的?」

1.网络层数:

当cross网络层数增加时,效果会稳定提升,说明能够捕捉更有用的交叉。但提升的速度越来越慢,说明高阶特征交叉的作用是低于低阶交叉的。作者也对比了一个相同规模的DNN,层数<=2时DNN效果比cross网络更好,但层数更多时,差距会减小甚至出现反超。

2.矩阵的秩:

当秩小于64时,logloss几乎是呈线性下降;大于64时下降速度放缓。这说明最重要的特征能够被最大的64个奇异值所捕捉。

3.专家网络的数量:

当其他参数设置为最优时,使用更多的专家网络并没有明显的提升,这可能是由于门控机制和优化方法比较朴素。作者认为,如果采用更精细化的门控机制和优化方法,会从MOE结构中取得更大收益。

「RQ6 DCN-M能否捕捉重要的特征交叉?」

DCN-M中的权重矩阵 能够反映不同交叉特征的重要程度:

根据 绘制出不同交叉特征的权重图谱:

可以看到,模型能够学到一些强特征,例如gender × userid,movieId × userid。

总结

DCN-M模型能够简单且有效地建模显式特征交叉,并通过混合低秩矩阵在模型效果和时延上实现了更好的权衡。DCN-M已成功应用于多个大型L2R系统,取得了显著的线下及线上收益。实验结果表明DCN-M的效果超过了现有SOTA方法。

参考资料

[1] Wang R, Fu B, Fu G, et al. Deep & cross network for ad click predictions[M]//Proceedings of the ADKDD'17. 2017: 1-7.

[2] Wang R, Shivanna R, Cheng D Z, et al. DCN-M: Improved Deep & Cross Network for Feature Cross Learning in Web-scale Learning to Rank Systems[J]. arXiv preprint arXiv:2008.13535, 2020.

[3] DeepCTR-Torch: https://github.com/shenweichen/DeepCTR-Torch

由于微信平台算法改版,公号内容将不再以时间排序展示,如果大家想第一时间看到我们的推送,强烈建议星标我们和给我们多点点【在看】。星标具体步骤为:

(1)点击页面最上方"AINLP",进入公众号主页。

(2)点击右上角的小点点,在弹出页面点击“设为星标”,就可以啦。

感谢支持,比心

欢迎加入推荐系统技术交流群
进群请添加AINLP小助手微信 AINLPer(id: ainlper),备注推荐系统

推荐阅读

这个NLP工具,玩得根本停不下来

征稿启示| 200元稿费+5000DBC(价值20个小时GPU算力)

完结撒花!李宏毅老师深度学习与人类语言处理课程视频及课件(附下载)

从数据到模型,你可能需要1篇详实的pytorch踩坑指南

如何让Bert在finetune小数据集时更“稳”一点

模型压缩实践系列之——bert-of-theseus,一个非常亲民的bert压缩方法

文本自动摘要任务的“不完全”心得总结番外篇——submodular函数优化

Node2Vec 论文+代码笔记

模型压缩实践收尾篇——模型蒸馏以及其他一些技巧实践小结

中文命名实体识别工具(NER)哪家强?

学自然语言处理,其实更应该学好英语

斯坦福大学NLP组Python深度学习自然语言处理工具Stanza试用

关于AINLP

AINLP 是一个有趣有AI的自然语言处理社区,专注于 AI、NLP、机器学习、深度学习、推荐算法等相关技术的分享,主题包括文本摘要、智能问答、聊天机器人、机器翻译、自动生成、知识图谱、预训练模型、推荐系统、计算广告、招聘信息、求职经验分享等,欢迎关注!加技术交流群请添加AINLPer(id:ainlper),备注工作/研究方向+加群目的。


阅读至此了,分享、点赞、在看三选一吧🙏

登录查看更多
0

相关内容

AAAI2021 | 学习预训练图神经网络
专知会员服务
116+阅读 · 2021年1月28日
专知会员服务
89+阅读 · 2020年12月11日
专知会员服务
20+阅读 · 2020年12月9日
KDD20 | AM-GCN:自适应多通道图卷积网络
专知会员服务
40+阅读 · 2020年8月26日
基于改进卷积神经网络的短文本分类模型
专知会员服务
26+阅读 · 2020年7月22日
【KDD2020】自适应多通道图卷积神经网络
专知会员服务
121+阅读 · 2020年7月9日
【SIGIR2020】LightGCN: 简化和增强图卷积网络推荐
专知会员服务
73+阅读 · 2020年6月1日
【CVPR2020】L2 ^GCN:图卷积网络的分层学习高效训练
专知会员服务
40+阅读 · 2020年3月31日
论文浅尝 | ICLR2020 - 基于组合的多关系图卷积网络
开放知识图谱
21+阅读 · 2020年4月24日
判别特征的学习方法用于人脸识别(文末源码)
计算机视觉战队
7+阅读 · 2019年3月28日
基于深度交叉特征的推荐系统
微信AI
9+阅读 · 2019年2月1日
Fast AutoAugment
Arxiv
5+阅读 · 2019年5月1日
Arxiv
8+阅读 · 2018年5月15日
Arxiv
3+阅读 · 2018年4月18日
Arxiv
7+阅读 · 2018年2月26日
VIP会员
相关VIP内容
AAAI2021 | 学习预训练图神经网络
专知会员服务
116+阅读 · 2021年1月28日
专知会员服务
89+阅读 · 2020年12月11日
专知会员服务
20+阅读 · 2020年12月9日
KDD20 | AM-GCN:自适应多通道图卷积网络
专知会员服务
40+阅读 · 2020年8月26日
基于改进卷积神经网络的短文本分类模型
专知会员服务
26+阅读 · 2020年7月22日
【KDD2020】自适应多通道图卷积神经网络
专知会员服务
121+阅读 · 2020年7月9日
【SIGIR2020】LightGCN: 简化和增强图卷积网络推荐
专知会员服务
73+阅读 · 2020年6月1日
【CVPR2020】L2 ^GCN:图卷积网络的分层学习高效训练
专知会员服务
40+阅读 · 2020年3月31日
Top
微信扫码咨询专知VIP会员