让人惊叹的Johnson-Lindenstrauss引理:理论篇

2021 年 10 月 2 日 PaperWeekly


©PaperWeekly 原创 · 作者 |  苏剑林
单位 |  追一科技
研究方向 |  NLP、神经网络

今天我们来学习 Johnson-Lindenstrauss 引理,由于名字比较长,下面都简称“JL 引理”。

个人认为,JL 引理是每一个计算机科学的同学都必须了解的神奇结论之一,它是一个关于降维的著名的结果,它也是高维空间中众多反直觉的“维度灾难”现象的经典例子之一。可以说,JL 引理是机器学习中各种降维、Hash 等技术的理论基础,此外,在现代机器学习中,JL 引理也为我们理解、调试模型维度等相关参数提供了重要的理论支撑。




对数的维度

JL 引理,可以非常通俗地表达为:

通俗版 JL 引理: 塞下 个向量,只需要 维空间。
具体来说,JL 引理说的是,不管这 个向量原来是多少维的,我们都可以将它们降到 ,并将相对距离的误差控制在一定范围内。可以想象,这是一个非常强、非常反直觉、非常实用的结论,比如我们要做向量检索,原本的向量维度可能非常大,这样全量检索一次的成本也非常大,而 JL 引理告诉我们,可以将它们变换到 维,并且检索效果近似不变,这简直就是“天上掉馅饼”的好事!

可能读者会有疑问:这么强的结论,那么对应的降维方法会不会特别复杂?答案是刚刚相反,降维过程仅仅用到随机线性投影!甚至有评价说,JL 引理是一个“证明比理解更容易的结论”,也就是说,从数学上证明它还真不算特别困难,但如何直观地理解这个反直觉的结论,反而是不那么容易的。

无独有偶,我们之前其实就介绍过两个反直觉的结果:在文章《n 维空间下两个随机向量的夹角分布》 [1] 中,我们就介绍过“高维空间中任意两个向量几乎都是垂直的”,这显然与二维、三维空间的结果差距甚远;在文章《从几何视角来理解模型参数的初始化策略》 [2] 中,这个结果进一步升级为“从 采样出来的 矩阵几乎是一个正交矩阵”,这更与我们一直理解的“正交性是非常苛刻的(要求转置等于逆)”有严重出入。
但事实上,这两个结论不仅对,而且还跟 JL 引理直接相关。可以说,JL 引理可以看成是它们的细化和应用。所以,我们需要先用更定量的语言来刻画这两个结论,比如“几乎垂直”,那垂直的概率究竟有多少,比如“近似正交”,那误差究竟有多大。


概率不等式

为此,我们需要一些概率知识,其中最主要是“马尔可夫不等式”:

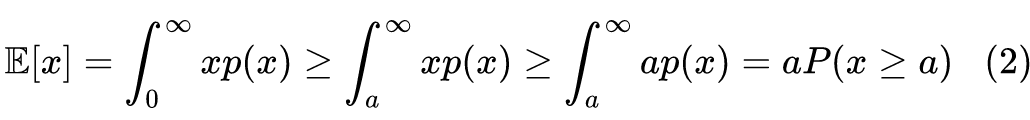
马尔可夫不等式: 如果 是非负随机变量, ,那么
注意该不等式并没有对 所服从的分布有其他特别的限制,只要求随机变量的取值空间是非负的(或者等价地,负的 的概率恒为 0),证明其实非常简单:

马尔可夫不等式要求随机变量是非负的,但我们平时要处理的随机变量不一定是非负的,所以通常需要变换一下才能用。比如 不是非负的,但 是非负的,于是利用马尔可夫不等式有:

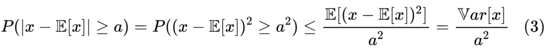
这就是“切比雪夫不等式”。

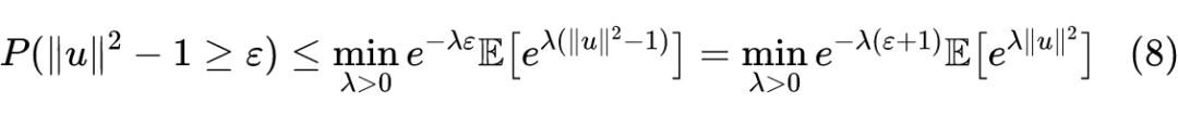
另外一个经典技巧称为“Cramér-Chernoff方法”,也是我们后面主要利用到的方法,它通过指数函数将随机变量变成非负的:对于任意 ,我们有

所以利用马尔可夫不等式有

最左端是跟 无关的,但是最右端有一个 ,而这不等式是对于任意 都成立的。所以理论上,我们可以找到使得最右端最小的 ,以获得最高的估计精度:




引理的引理

现在,我们可以引入如下结果,它是 JL 引理的引理,甚至可以说,它是本文一切结论的理论基础:

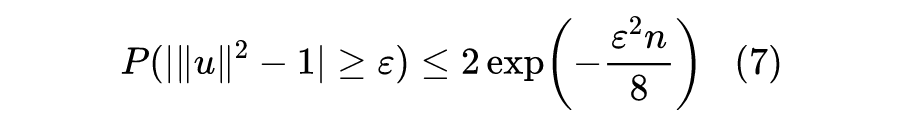
单位模引理: 是独立重复采样自 的向量, 是给定常数,那么我们有:

该引理告诉我们,当 足够大的时候, 的模长明显偏离 1 的概率是非常小的(给定 后,将以 的指数形式递减至 0),所以从 采样出来的 维向量将会非常接近单位向量。
它的证明正是用到“Cramér-Chernoff方法”:首先 意味着 ,我们需要分别进行推导,不失一般性,先推导 的概率,根据 Cramér-Chernoff 方法,有:
将 u 写成分量形式 ,其中每个分量都是独立的,分布均为  ,那么我们有:

,所以:

右端的极小值在 取到,推导过程就留给读者了,然后代入得到:

其中 的证明也留给读者了。类似地,我们可以对 的概率进行推导,结果为:

其中可证 ,所以上式沿用了 的不等关系。现在两式相加,我们得到 。证毕。

从“单位模引理”出发,我们可以证明“正交性引理”:

正交性引理: 是独立重复采样自 的两个向量, 是给定常数,那么我们有:

该引理告诉我们,当 足够大的时候, 的内积明显偏离 0 的概率是非常小的(给定 后,将以 的指数形式递减至 0),所以从 采样出来的两个 维向量将会非常接近正交。而结合“单位模引理”,我们就得到“从 采样出来的 矩阵几乎是一个正交矩阵”的结论了。
有了“单位模引理”铺垫,它的证明不算难。我们知道如果 ,那么 ,所以根据“单位模引理”的证明,我们有:

注意 两式相加后可以得出 ,所以:

同理可证 ,两者结合就得到“正交性引理”。


证明的过程

现在我们就可以着手证明 JL 引理了,下面是它的数学表述:

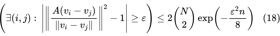
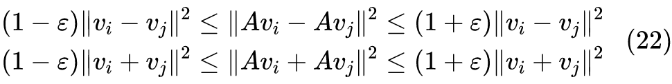
数学版 JL 引理: 给定 个向量 ,而随机矩阵 独立重复采样自 是给定常数,那么至少有 的概率,使得对于所有的 ,都成立:

引理告诉我们,不管原来的向量维数 是多少,只需要 的维度,我们就可以容纳下 个向量,使得它们相对距离的偏离都不超过 。而且 JL 引理还告诉我们降维方法:只需要从 随机采样一个 的矩阵 ,然后变换 就有 的可能性达到目的。真可谓是简单实用了。
证明过程也是“单位模引理”的直接应用。首先,如果 是给定的单位向量,而 独立重复采样自 ,那么 的每个分量都独立地服从 。证明也并不难,根据定义每个分量 ,由于 相互独立,所以 显然相互独立,并且由于 ,正态随机变量和的分布依然是正态分布,所以 服从正态分布,其均值为 ,其方差则为
所以,说白了, 相当于从 独立重复采样出来的 维向量。现在代入 ,利用“单位模引理”,得到:
此结果对于任意 都成立,那么遍历所有的 的组合,我们得到至少有一项 的概率不超过:

或者反过来说,对于任意 ,都成立 (等价于(16))的概率不小于:

代入 ,可以得到:

至此,证明已经完成。

上面的 JL 引理中保持的是欧氏距离近似不变,很多时候我们检索用的是内积(比如余弦相似度)而不是欧氏距离。对此,我们有:

内积版 JL 引理: 给定 个单位向量 ,而随机矩阵 独立重复采样自 是给定常数,那么至少有 的概率,使得对于所有的 ,都成立:

证明很简单,模仿“正交性引理”的证明即可。根据 JL 引理的证明,我们可以得到在相同的条件下,至少有 的概率同时满足对于任意 有:


将第一乘上 -1 得到:
然后加到第二式得到:

注意到 是单位向量,所以上式等价于


极度的充分
动手去推过一次 JL 引理证明的同学应该能感觉到,JL 引理的结论中之所以能够出现 ,本质上是因为“单位模引理”中的概率项 指数衰减的,而我们可以放宽这个衰减速度,让其变成多项式衰减,从而出现了
总的来说,JL 引理告诉我们,以误差 塞下 个向量,只需要 维的空间,至于 前面的常数是多少,其实不大重要。因为事实上 JL 引理是一个非常充分的条件,实际情况中条件往往更加宽松。比如,在 JL 引理的证明中如果我们将条件改为 ,那么式(16)成立的概率就不小于:

注意 虽然小,但终究是大于 0 的,所以此时依然是存在 使得(16)成立,只不过寻找 的成本更大罢了(每次命中的概率只有 ),而如果我们只关心存在性,那么这也够了。
而且,JL 引理只考虑了在随机线性投影下的降维,就已经得到 了,如果是其他更精细的降维,比如基于 SVD 的降维,是有可能得到更好的结果的(前面的系数更小);如果非线性的降维方法也考虑进去,那么结果又能变得更优了。所以说,不需要太关心 前面的常数是多少,我们只需要知道 的量级,如果真要用到它,通常还需要根据实际情况确定前面的常数,而不是调用理论结果。


且待下回续
在这篇文章中,我们介绍了 Johnson–Lindenstrauss 引理(JL 引理),它是关于降维的一个重要而奇妙的结论,是高维空间的不同寻常之处的重要体现之一。它告诉我们“只需要 维空间就可以塞下 个向量”,使得原本高维空间中的检索问题可以降低到 维空间中。
本文主要讨论了 JL 引理的相关理论证明细节,下一篇文章我们则尝试应用它来理解一些机器学习问题,敬请期待。


参考文献

[1] https://kexue.fm/archives/7076
[2] https://kexue.fm/archives/7180


特别鸣谢

感谢 TCCI 天桥脑科学研究院对于 PaperWeekly 的支持。TCCI 关注大脑探知、大脑功能和大脑健康。



更多阅读




#投 稿 通 道#

 让你的文字被更多人看到 



如何才能让更多的优质内容以更短路径到达读者群体,缩短读者寻找优质内容的成本呢?答案就是:你不认识的人。


总有一些你不认识的人,知道你想知道的东西。PaperWeekly 或许可以成为一座桥梁,促使不同背景、不同方向的学者和学术灵感相互碰撞,迸发出更多的可能性。 


PaperWeekly 鼓励高校实验室或个人,在我们的平台上分享各类优质内容,可以是最新论文解读,也可以是学术热点剖析科研心得竞赛经验讲解等。我们的目的只有一个,让知识真正流动起来。


📝 稿件基本要求:

• 文章确系个人原创作品,未曾在公开渠道发表,如为其他平台已发表或待发表的文章,请明确标注 

• 稿件建议以 markdown 格式撰写,文中配图以附件形式发送,要求图片清晰,无版权问题

• PaperWeekly 尊重原作者署名权,并将为每篇被采纳的原创首发稿件,提供业内具有竞争力稿酬,具体依据文章阅读量和文章质量阶梯制结算


📬 投稿通道:

• 投稿邮箱:hr@paperweekly.site 

• 来稿请备注即时联系方式(微信),以便我们在稿件选用的第一时间联系作者

• 您也可以直接添加小编微信(pwbot02)快速投稿,备注:姓名-投稿


△长按添加PaperWeekly小编




🔍


现在,在「知乎」也能找到我们了

进入知乎首页搜索「PaperWeekly」

点击「关注」订阅我们的专栏吧



·

登录查看更多
0

相关内容

降维是将数据从高维空间转换为低维空间,以便低维表示保留原始数据的某些有意义的属性,理想情况下接近其固有维。降维在处理大量观察和/或大量变量的领域很常见,例如信号处理,语音识别,神经信息学和生物信息学。
【新书稿】数据科学的谱方法:统计的视角,168页pdf
专知会员服务
58+阅读 · 2021年10月28日
《过参数化机器学习理论》综述论文
专知会员服务
46+阅读 · 2021年9月19日
专知会员服务
23+阅读 · 2021年4月10日
最新《非凸优化理论》进展书册,79页pdf
专知会员服务
112+阅读 · 2020年12月18日
专知会员服务
29+阅读 · 2020年10月24日
少标签数据学习,61页ppt,宾夕法尼亚大学
专知会员服务
37+阅读 · 2020年8月27日
少标签数据学习,54页ppt
专知会员服务
205+阅读 · 2020年5月22日
为什么深度学习是非参数的?
THU数据派
1+阅读 · 2022年3月29日
输入梯度惩罚与参数梯度惩罚的一个不等式
PaperWeekly
0+阅读 · 2021年12月27日
再谈变分自编码器(VAE):估计样本概率密度
PaperWeekly
3+阅读 · 2021年12月23日
ChildTuning:试试把Dropout加到梯度上去?
PaperWeekly
0+阅读 · 2021年11月30日
从三角不等式到Margin Softmax
PaperWeekly
0+阅读 · 2021年10月7日
GAN的原理和数学推导
专知
0+阅读 · 2021年5月5日
训练数据多少才够用
专知
16+阅读 · 2019年5月4日
再谈变分自编码器VAE:从贝叶斯观点出发
PaperWeekly
13+阅读 · 2018年4月2日
一文让你入门CNN,附3份深度学习视频资源
机器学习算法与Python学习
12+阅读 · 2018年3月10日
零基础概率论入门:最大似然估计
论智
12+阅读 · 2018年1月18日
国家自然科学基金
0+阅读 · 2014年12月31日
国家自然科学基金
0+阅读 · 2012年12月31日
国家自然科学基金
3+阅读 · 2011年12月31日
国家自然科学基金
0+阅读 · 2011年12月31日
国家自然科学基金
0+阅读 · 2011年12月31日
国家自然科学基金
0+阅读 · 2011年12月31日
国家自然科学基金
0+阅读 · 2009年12月31日
国家自然科学基金
0+阅读 · 2009年12月31日
国家自然科学基金
0+阅读 · 2009年12月31日
国家自然科学基金
0+阅读 · 2009年12月31日
Arxiv
0+阅读 · 2022年4月18日
Arxiv
19+阅读 · 2021年1月14日
VIP会员
相关VIP内容
【新书稿】数据科学的谱方法:统计的视角,168页pdf
专知会员服务
58+阅读 · 2021年10月28日
《过参数化机器学习理论》综述论文
专知会员服务
46+阅读 · 2021年9月19日
专知会员服务
23+阅读 · 2021年4月10日
最新《非凸优化理论》进展书册,79页pdf
专知会员服务
112+阅读 · 2020年12月18日
专知会员服务
29+阅读 · 2020年10月24日
少标签数据学习,61页ppt,宾夕法尼亚大学
专知会员服务
37+阅读 · 2020年8月27日
少标签数据学习,54页ppt
专知会员服务
205+阅读 · 2020年5月22日
相关资讯
为什么深度学习是非参数的?
THU数据派
1+阅读 · 2022年3月29日
输入梯度惩罚与参数梯度惩罚的一个不等式
PaperWeekly
0+阅读 · 2021年12月27日
再谈变分自编码器(VAE):估计样本概率密度
PaperWeekly
3+阅读 · 2021年12月23日
ChildTuning:试试把Dropout加到梯度上去?
PaperWeekly
0+阅读 · 2021年11月30日
从三角不等式到Margin Softmax
PaperWeekly
0+阅读 · 2021年10月7日
GAN的原理和数学推导
专知
0+阅读 · 2021年5月5日
训练数据多少才够用
专知
16+阅读 · 2019年5月4日
再谈变分自编码器VAE:从贝叶斯观点出发
PaperWeekly
13+阅读 · 2018年4月2日
一文让你入门CNN,附3份深度学习视频资源
机器学习算法与Python学习
12+阅读 · 2018年3月10日
零基础概率论入门:最大似然估计
论智
12+阅读 · 2018年1月18日
相关基金
国家自然科学基金
0+阅读 · 2014年12月31日
国家自然科学基金
0+阅读 · 2012年12月31日
国家自然科学基金
3+阅读 · 2011年12月31日
国家自然科学基金
0+阅读 · 2011年12月31日
国家自然科学基金
0+阅读 · 2011年12月31日
国家自然科学基金
0+阅读 · 2011年12月31日
国家自然科学基金
0+阅读 · 2009年12月31日
国家自然科学基金
0+阅读 · 2009年12月31日
国家自然科学基金
0+阅读 · 2009年12月31日
国家自然科学基金
0+阅读 · 2009年12月31日
Top
微信扫码咨询专知VIP会员