2017 知乎看山杯从入门到第二

2017 年 9 月 9 日 AI研习社 MagicBubble

本文原作者 MagicBubble,原载于知乎专栏人工智障的深度瞎学之路。AI研习社已获得作者授权。


利用一个暑假的时间,做了研究生生涯中的第一个正式比赛,最终排名第二,有些小遗憾,但收获更多的是成长和经验。我们之前没有参加过机器学习和文本相关的比赛,只是学过一些理论基础知识,没有付诸过实践,看过的几篇论文也多亏前辈的分享(一个是用深度学习(CNN RNN Attention)解决大规模文本分类问题 - 综述和实践 http://t.cn/R6JltDf,另一个是 brightmart 的 text_classification,里面用 Keras 实现了很多文本分类的模型 http://t.cn/R924VDF)。这些为我们的入门打下了良好的基础,在比赛过程中也是反复研读和实践,在此感谢两位前辈的无私分享。

先放一波链接:

  • 比赛网址:https://biendata.com/competition/zhihu/

  • 比赛源码:https://github.com/Magic-Bubble/Zhihu

  • 比赛结果:https://zhuanlan.zhihu.com/p/28912353

下面对在这次比赛中用到的方法和收获的经验,做一个简单的总结和分享。

用单模型探索数据的极限


  1. 任务

  • 典型的文本多标签分类问题,根据用户在知乎上发布的问题标题及描述,判断它属于哪几个话题

  • 训练数据给出了 300 万问题及其话题的绑定关系,话题标签共有 1999 个,有父子关系,构成有向无环图

  • 要求对未标注的数据预测其最有可能绑定的 Top5 话题标签

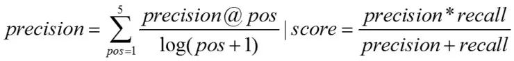
  • 评测采用准确率与召回率的调和平均,准确率的计算按照位置加权,越靠前的分数越高(具体见评测方案)

  2. 数据

比赛提供的数据是 300 万问题和话题的标题(下称 title)及描述(下称 desc),分别有对应的字序列(下称 char)和词序列(下称 word),全部是以 id 的形式给出。这意味着我们是看不到原始文本的,所以对于 badcase 的分析也很困难,但好在其数据量够大(2 亿多词,4 亿多字),还是可以用深度学习来做。知乎官方也提供了训练好的 embedding(维度 256),字级别和词级别的都有,但是是分开训练,不属于同一个语义向量空间。

坊间常说:数据和特征决定了机器学习的上限,而模型和算法知识逼近这个上限而已。对于深度学习,因为不存在特征工程,所以数据处理就至关重要了。而良好且合理的数据处理离不开系统详细的数据分析,要知道数据是什么样,数据怎么分布,才能更好地选择模型和训练方式。

2.1 数据分析

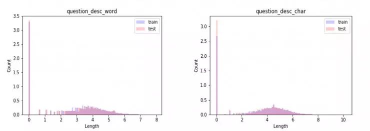
这里主要是对问题的 title 和 desc 做长度分析,更为详细的分析见数据分析

首先是问题 title 的字词长度分布:

其次是问题 desc 的字词长度分布:

2.2 预处理

  • 随机 shuffle 后以 9:1 的比例划分线下验证集和训练集,防止数据周期的影响

  • 对于 embedding 矩阵中未出现的词,添加,并用 - 0.25~0.25 初始化,千万不能扔掉,这样会破坏前后的语义关系

  • 对于 title 和 desc,分别根据其平均长度 * 2,做截断和补齐至长度一致,便于 batch 输入网络训练

  3. 模型

参照 brightmart 的 github 开源,我们尝试了前 5 种模型,分别是 FastText、TextCNN、TextRNN、RCNN、HAN

其中,HAN 的原始论文中用的是词和句子两层 Attention,而数据中是看不出句子的,所以这个方法我只用了一层 word,效果不好。而 RCNN 因为同时用到了 RNN 和 CNN 的思想,所以整个网络的训练时间很长,且其效果与单独的 RNN 和 CNN 差不多,因此后期没有使用此模型。最终用到的模型有:

  • FastText:通过 Average 抽象出概括性语义信息

  • TextCNN:仿照 n-gram 捕捉局部语义信息

  • TextRNN:提取序列语义信息

3.1 单模型 Score

因为没有花很多时间在单模型调参训练上,所以最终单 Model 的分数普遍偏低,约比别的队伍低 0.5~1 个百分点。

3.2 核心思路

这是我们这次参赛的一大亮点和创新点,就是成功地在深度学习上应用了一种类似于 AdaBoost 的做法,通过训练多层来不断修复前面层的偏差。我们在分析数据的时候发现,一个模型的输出是具有类别倾向性的,所以在某些类别上可能全对,而在某些类别上可能全错,所以我们针对这种偏差做了一些改进,通过人为地定义偏差的计算方式,指导下一层模型更多关注那些错的多的类,从而达到整体效果的提升。

通过用这种方法,单模型 Score 有了质的飞跃,平均提升都在 1.5 个百分点(FastText 因模型过于简单,提升空间有限),而 10 层的 RNN 则更是在用全部训练集 finetune 之后,分数直接从 0.413 飙升到 0.42978,可谓真是用单模型探索数据的极限了。

这种方法的优势在于,一般只要不断加深训练层数,效果就会提升,但缺点却在于它抹平了模型的差异性,对于模型融合效果不友好。

3.3 模型融合

模型融合依靠差异性,而我们模型的差异性在前面已经近乎被抹平,所以又另寻他路,用了另外两个方法:

  • 改变输入,从 word 改成 char,虽然 char 的单模型效果不好,但总体融合却能提升很多

  • 人为定义不同的偏差计算方式

最终模型主要是 5 个 10 层模型的概率加权融合,分数在 0.43506。

  4. 结束语

这次比赛收获很大,总结起来就是:

  • 数据预处理很重要

  • 模型不一定是最主要的,要多尝试其他方法,更不能无脑训模型,尤其是对于深度学习这种 “黑盒子”

  • 比赛心态要放平,要抱着学习的心态

最后,还是要感谢知乎等组织举办的这次比赛,也感谢北邮模式识别实验室的大力支持!

 \ 下面是广告时间,不看我也不怪你 / 

 \ 反正发财了也没有我的份 / 



新人福利


关注 AI 研习社(okweiwu),回复  1  领取

【超过 1000G 神经网络 / AI / 大数据,教程,论文】

后台回复 “我要进群” 加入 AI 技术讨论群 


知乎 “看山杯” 夺冠记

▼▼▼

登录查看更多
0

相关内容

知乎是中文互联网最大的知识社交平台,拥有认真、专业和友善的独特氛围,连接各行各业的精英。用户分享着彼此的专业知识、经验和见解,为中文互联网源源不断地提供高质量的信息。

Sklearn 与 TensorFlow 机器学习实用指南,385页pdf
专知会员服务
131+阅读 · 2020年3月15日
【经典书】Python数据数据分析第二版,541页pdf
专知会员服务
197+阅读 · 2020年3月12日
【干货】大数据入门指南:Hadoop、Hive、Spark、 Storm等
专知会员服务
98+阅读 · 2019年12月4日
【书籍】深度学习框架:PyTorch入门与实践(附代码)
专知会员服务
167+阅读 · 2019年10月28日
机器学习入门的经验与建议
专知会员服务
94+阅读 · 2019年10月10日
深度学习入门笔记
论智
7+阅读 · 2018年3月31日
基础 | 一文轻松搞懂-条件随机场CRF
黑龙江大学自然语言处理实验室
16+阅读 · 2018年3月24日
为什么“高大上”的算法工程师变成了数据民工?
数据挖掘入门与实战
5+阅读 · 2018年2月25日
TensorFlow实现神经网络入门篇
AI研习社
11+阅读 · 2017年12月11日
300万知乎多标签文本分类任务经验分享(附源码)
数据派THU
28+阅读 · 2017年11月30日
【原理】学懂GAN的数学原理,让它不再神秘
GAN生成式对抗网络
3+阅读 · 2017年11月26日
NLP大赛冠军总结:300万知乎多标签文本分类任务(附深度学习源码)
数据挖掘入门与实战
5+阅读 · 2017年11月24日
如何用 3 个月零基础入门机器学习?
AI研习社
6+阅读 · 2017年9月27日
Single-frame Regularization for Temporally Stable CNNs
Polarity Loss for Zero-shot Object Detection
Arxiv
3+阅读 · 2018年11月22日
Arxiv
19+阅读 · 2018年5月17日
Arxiv
7+阅读 · 2018年3月22日
Arxiv
5+阅读 · 2016年12月29日
VIP会员
相关VIP内容
相关资讯
深度学习入门笔记
论智
7+阅读 · 2018年3月31日
基础 | 一文轻松搞懂-条件随机场CRF
黑龙江大学自然语言处理实验室
16+阅读 · 2018年3月24日
为什么“高大上”的算法工程师变成了数据民工?
数据挖掘入门与实战
5+阅读 · 2018年2月25日
TensorFlow实现神经网络入门篇
AI研习社
11+阅读 · 2017年12月11日
300万知乎多标签文本分类任务经验分享(附源码)
数据派THU
28+阅读 · 2017年11月30日
【原理】学懂GAN的数学原理,让它不再神秘
GAN生成式对抗网络
3+阅读 · 2017年11月26日
NLP大赛冠军总结:300万知乎多标签文本分类任务(附深度学习源码)
数据挖掘入门与实战
5+阅读 · 2017年11月24日
如何用 3 个月零基础入门机器学习?
AI研习社
6+阅读 · 2017年9月27日
相关论文
Single-frame Regularization for Temporally Stable CNNs
Polarity Loss for Zero-shot Object Detection
Arxiv
3+阅读 · 2018年11月22日
Arxiv
19+阅读 · 2018年5月17日
Arxiv
7+阅读 · 2018年3月22日
Arxiv
5+阅读 · 2016年12月29日
Top
微信扫码咨询专知VIP会员