小白都能看懂的神经网络入门,快收下吧~

2018 年 1 月 4 日 码农翻身 优达学城

导语: 干货来了,Udacity Machine Learning 课程导师 Walker 亲自出马,教你简单形象有趣地掌握神经网络!


神经网络是什么?神经网络就是一系列简单的节点,在简单的组合下,表达一个复杂的函数。下面我们来一个个解释。




线性节点 



节点是一个简单的函数模型,有输入,有输出。

1、最简单的线性节点x+y


我能想到的最简单的线性节点当然就是 。 



2、参数化线形节点ax+by


是一个特殊的线形组合,我们可以一般化所有xy的线性组合即 ax by。这  a就是这个节点的参数。不同的参数可以让节点表示不同的函数,但节点的结构是一样的。



3、多输入线性节点a1xa2xa3x3+...+anxn

我们进一步把 个输入一般化成任意多个输入。这里 a1,a2,a3,...a是这个节点的参数。同样,不同的参数可以让节点表示不同的函数,但节点的结构是一样的。注意 并非是这个节点的参数,输入个数不同的节点结构是不一样的。 


4、 线性节点的向量表达aTx


上面的式子太过冗长,我们用向量 表示输入向量 (x1x2, . . . , xn), 用向量 表示参数向量  (a1,a2,...,an)不难证明aTx=a1x+a2x+a3x3+...+anxn这里向量 就是这个节点的参数,这个参数的维度与输入向量的维度相同。 




5、带常量的线性节点aTx+b


有时我们希望即使输入全部为 的时候,线形节点依然可以有输出,因此引入一个新的参数 作为偏差项,以此来增加模型的表达性。有时,为了简化,我们会把表达式写作 ax此时,= (x1,x2,...,xn,1),= (a1,a2,...,an,b


6、带激活函数的线性节点1(a> 0)


对于二项分类问题,函数的输出只是真或假,即 或 1。函数 1→ {1, 0} 将真命题映射到 1, 将假命题映射到 0。 




线性节点实例



1、线性节点表达 ∨ (或函数) ,或函数的真值表如下

定义节点 1(− 0.5 > 0), 不难验证,它与 ∨ 是等价的。 



2、线性节点表达 x ∧ y (与函数) ,与函数的真值表如下: 


定义节点 1(− 1.5 > 0), 不难验证,它与 ∧ 是等价的。 




线性节点的表达力



单个线性节点可以表达所有线性函数(函数值域为实数集)、以及所有线性可分的分类 (函数值域为{0, 1})。概念定义和命题的证明我们这里不再阐述。虽然单个线性节点已经很强 ,但依然有图的局限性。对于线性不可分的函数,它无能为力, 例如异或函数 ⊕ 




线性节点的组合




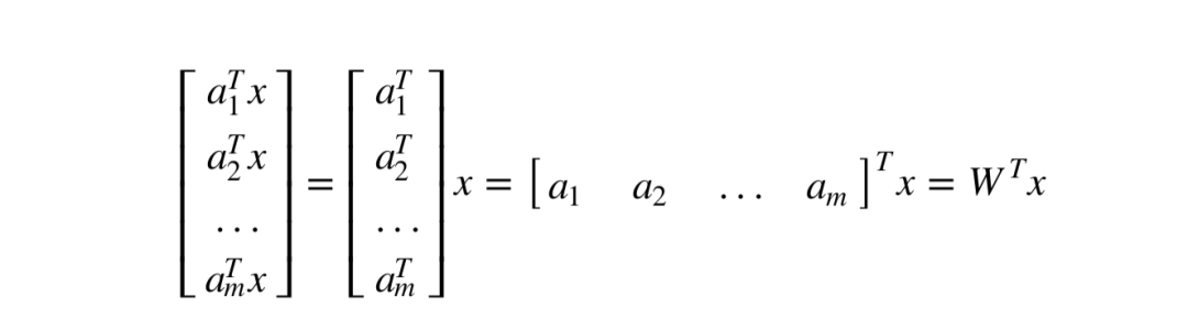
1、多个线性节点同层组合WTx


上述的线性节点输入是多维的,但输出只是一维,即一个实数。如果我们想要多维的输出,那么就可以并列放置多个节点。设 a1 ,a2 ,...,am 分别是 个节点的参数,那么输出则分别为 a1Tx,a2Tx,...,amx最终的输出结果为  




其中 = [a1,a2,...,am是一个 n 行m 列的参数矩阵。 



2、多层线性节点:


多层线性节点中,某一层带激活函数的线性节点,输出作为下一层的输入 。通常中间层(或者隐藏层,图中的蓝色节点)会带有一个激活函数,来增加模型的表达力 。(思考如果隐藏层没有激活函数,为什么两层线性节点和一层等价?) 

多层线性节点实例


1. 多层表达异或函数 ⊕ y,异或函数的真值表为: 


这是一个不可线性分隔的函数,不可以一个线性节点表达。但我们可以使用多层的线性节点来完成这个任务。





多层线性节点的表达力



可以证明,多层神经元可以表达所有连续函数。证明比较复杂,有兴趣的粉丝可以去看下A visual proof that neural nets can compute any function




总结


其实在本篇文章中,我们还有很多常见的节点没有讲到, 如 ReLu, sigmoid, dropout 等。神经网络不仅有正向计算,还有反向传导,这些节点的出现和反向传导息息相关……


如果你也想加入人工智能浪潮,在职场中挖掘新的机会、成为顶尖技术人才,让来自硅谷的 Udacity 帮助你零基础成为机器学习高手!


硅谷前沿科技教育平台 Udacity 联合 Google、Kaggle、滴滴出行等行业顶尖企业,打造了“机器学习工程师纳米学位项目,带你从零开始,全面掌握机器学习领域的核心知识,你会在入门课程中学习到数学基础和编程基础,在进阶课程中全面掌握机器学习领域核心知识,最终将预测模型实际应用于金融、医疗、大数据等领域,成为抢手机器学习工程师!



毕业时,你将做好准备,在人工智能、无人驾驶等应用方向上大展拳脚。你还将获得 Udacity 的就业推荐服务获得更多加入IBM、腾讯、滴滴出行等领先科技企业的机会!


Udacity 顶尖合作名企


在学习过程中,你不仅可以获得硅谷顶级讲师的指导,还将挑战超酷实战项目,并享受 Udacity 导师指导、逐行代码审核、同步学习小组等学习服务。每周投入10个小时,你就可以 零基础 成为 硅谷认证 的机器学习高手!



机器学习(入门)课程


一站式搞定入门机器学习所需要的编程和数学基础


Get 知识点:

掌握 Python、微积分、线性代数和统计基础知识,为成为机器学习工程师打好基础。




挑战硅谷实战项目:

你将挑战一系列有趣的实战项目,通过 learning by doing 的方式,快速成长为最前沿领域的优秀人才。





 如何加入这么酷的课程? 



扫描下方二维码,了解 机器学习基石纳米学位 详情:



课程将于 1月24日 正式开放报名!本期限定 20长按扫描上方二维码,加入开课通知群。


* 免费获得独家《机器学习终极职业指南》

* 体验硅谷式仿真课堂;

* 同行交流和课程答疑。


点击 [阅读原文] ,给自己一个成为硅谷认证机器学习工程师的机会!



登录查看更多
3

相关内容

人工神经网络(Artificial Neural Network,即ANN ),是20世纪80 年代以来人工智能领域兴起的研究热点。它从信息处理角度对人脑神经元网络进行抽象, 建立某种简单模型,按不同的连接方式组成不同的网络。在工程与学术界也常直接简称为神经网络或类神经网络。神经网络是一种运算模型,由大量的节点(或称神经元)之间相互联接构成。每个节点代表一种特定的输出函数,称为激励函数(activation function)。每两个节点间的连接都代表一个对于通过该连接信号的加权值,称之为权重,这相当于人工神经网络的记忆。网络的输出则依网络的连接方式,权重值和激励函数的不同而不同。而网络自身通常都是对自然界某种算法或者函数的逼近,也可能是对一种逻辑策略的表达。 最近十多年来,人工神经网络的研究工作不断深入,已经取得了很大的进展,其在模式识别、智能机器人、自动控制、预测估计、生物、医学、经济等领域已成功地解决了许多现代计算机难以解决的实际问题,表现出了良好的智能特性。
【ICML2020】持续图神经网络,Continuous Graph Neural Networks
专知会员服务
151+阅读 · 2020年6月28日
神经网络的拓扑结构,TOPOLOGY OF DEEP NEURAL NETWORKS
专知会员服务
35+阅读 · 2020年4月15日
麻省理工学院MIT-ICLR2020《神经网络能推断出什么?》
专知会员服务
51+阅读 · 2020年2月19日
【模型泛化教程】标签平滑与Keras, TensorFlow,和深度学习
专知会员服务
21+阅读 · 2019年12月31日
【新书】傻瓜式入门深度学习,371页pdf
专知会员服务
194+阅读 · 2019年12月28日
卷积神经网络简明教程
论智
8+阅读 · 2018年8月24日
入门 | 这是一份文科生都能看懂的线性代数简介
机器之心
14+阅读 · 2018年3月31日
入门 | 一文看懂卷积神经网络
机器之心
5+阅读 · 2018年2月20日
通俗理解卷积神经网络(小学生都能看懂)
七月在线实验室
9+阅读 · 2018年1月25日
独家 | 一文为你解析神经网络(附实例、公式)
数据派THU
5+阅读 · 2018年1月11日
理解神经网络的激活函数
论智
7+阅读 · 2018年1月8日
如何简单形象又有趣地讲解神经网络是什么?
算法与数据结构
5+阅读 · 2018年1月5日
Position-aware Graph Neural Networks
Arxiv
15+阅读 · 2019年6月11日
Arxiv
23+阅读 · 2018年10月1日
Few Shot Learning with Simplex
Arxiv
5+阅读 · 2018年7月27日
Arxiv
8+阅读 · 2018年1月25日
Arxiv
10+阅读 · 2017年12月29日
VIP会员
相关资讯
卷积神经网络简明教程
论智
8+阅读 · 2018年8月24日
入门 | 这是一份文科生都能看懂的线性代数简介
机器之心
14+阅读 · 2018年3月31日
入门 | 一文看懂卷积神经网络
机器之心
5+阅读 · 2018年2月20日
通俗理解卷积神经网络(小学生都能看懂)
七月在线实验室
9+阅读 · 2018年1月25日
独家 | 一文为你解析神经网络(附实例、公式)
数据派THU
5+阅读 · 2018年1月11日
理解神经网络的激活函数
论智
7+阅读 · 2018年1月8日
如何简单形象又有趣地讲解神经网络是什么?
算法与数据结构
5+阅读 · 2018年1月5日
相关论文
Position-aware Graph Neural Networks
Arxiv
15+阅读 · 2019年6月11日
Arxiv
23+阅读 · 2018年10月1日
Few Shot Learning with Simplex
Arxiv
5+阅读 · 2018年7月27日
Arxiv
8+阅读 · 2018年1月25日
Arxiv
10+阅读 · 2017年12月29日
Top
微信扫码咨询专知VIP会员