【学界】要让GAN生成想要的样本,可控生成对抗网络可能会成为你的好帮手

2017 年 10 月 27 日 GAN生成式对抗网络

 可控生成对抗网络 

选自:AI科技评论 

作者:雪莉·休斯顿


:如何让GAN生成带有指定特征的图像?这是一个极有潜力、极有应用前景的问题,然而目前都没有理想的方法。韩国大学电子工程学院Minhyeok Lee和Junhee Seok近期发表论文,就生成对抗网络的控制问题给出了自己的办法。

简介

生成对抗网络(GANs)是最近几年提出的新方法,在其问世之后的短短时间内,生成对抗网络已经在生成真实的样本上表现出很多有前途的结果了。然而, 在生成对抗网络的使用上,目前还有未能解决的问题:由于发生器(Generator)的输入变量是随机的,控制GANs产生的样本非常困难。业界了已经有了一些解决方案,但是这些方案普遍没有办法很好地应用在复杂问题上。除此之外,难以将发生器集中在产生真实的图像和产生有差异的图像的任务上,也一直亟待解决。比如,沿用已知的模型,用于脸部图像生成的发生器就无法专注于两个目标中的某一个,即根据标签产生人脸的真实图像,或是产生有差异的人脸图像。这篇文章则介绍了一种新的方法,即可控生成对抗网络(Controllable GAN, CGAN)。CGAN在控制生成样本上有很强的表现,同时,它还能控制发生器专注于单个目标(生成真实的图像或产生不同的图像)。文章最后使用CelebA的数据库对CGAN进行评估。CGAN实现了对GAN的控制,相信可以加速和助益GAN的研究。

背景

生成对抗网络(GAN)是一种神经网络架构,被引用来生成真实的样本。尽管这个架构是近几年才提出的,GAN的大量成果不仅表现于生成真实样本上,还体现于机器翻译和图像超分别率的应用中。

但是,由于样本发生器的输入是随机分布的,在生成真实样本的时候,很难控制GAN。比如,生产的vanilla GAN样本是现实的,也具备多样性,但是随机输入和生成样本的特征之间的关系却不明显。

在过去的几年中,尝试控制由GAN产生的样本的研究从未停止。其中,最为著名的控制方法就是有条件的GAN(Conditional GAN)。有条件的GAN将标签分别输入发生器(Generator)和鉴别器(Discriminator),由此他们可在训练时有条件的工作。但是,这种有条件的GAN不能解决控制发生器专注于一个任务的问题,如生成真实样本和根据输入标签在样本之间产生差异的任务。例如:CelebA数据库包含202559张名人的脸部图片,有40中不同的特征标记,如戴帽子或者年轻人等。当有条件的GAN生成真实样本时,预训练的只有一些简单的标签,比如笑、帽子之类的。为了让发生器具备处理复杂标签的能力,如尖尖的鼻子或者拱形的眉毛,需要控制发生器更注重根据标签生成不同的样本。

可控生成对抗网络 CGAN

在这篇论文中,作者介绍了一种新颖的生成对抗网络架构来控制生成的样本,称为可控生成对抗网络(CGAN)。CGAN由三个部分构成,发生器/解码器,鉴别器和分类器/编码器。在CGAN中,发生器和鉴别器、分类器同时工作;发生器旨在欺骗鉴别器并同时需要被分类器正确的进行分类。

与现有的模型相比,CGAN具有两个主要的优势。首先,CGAN可以通过参数化损失函数专注于条件GAN的两个主要目标中的一个目标,即真实样本或者表现差异。因此,如果要牺牲真实实现差异性,CGAN可以根据复杂标签生成面部图像。其次,当鉴别器使用条件GAN时,CGAN使用一个独立的网络进行相应输入标签的特征映射。因此,鉴别器可以更多的专注进行假样本和原始样本之间的甄别,从而提高生成样本的真实性。 在这篇论文中,使用CelebA进行CGAN的实验。通过实验,证实了CGAN可以有效地根据输入标签生成人脸图像样本。

材料和方法

CGAN由三种神经网络结构组成,发生器/解码器,鉴别器和分类器/编码器。图1中描述了这种CGAN的架构。这三种结构相互协作,发生器尝试欺骗鉴别器,这与vanilla GAN相同,并且旨在正确的被分类器进行分类。发生器和分类器也可以理解为解码器-编译器的结构,原因是标签是发生器的输入同时是分类器的输出。

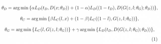
CGAN对如下的方程进行最小化:

l 是样本x的二进制表示,并且是发生器的输入数据,同时还作为鉴别器和分类器的参数。

CGAN强制将特征映射到相应输入发生器的l。这个参数决定了发生器专注于样本真实性的程度。这篇论文中应用了Boundary Equilbrium GAN(BEGAN)架构,即目前最新的生成图像样本的GAN架构。发生器由四个反卷积层组成。每层使用5*5的过滤器。鉴别器由四个卷积层和4个反卷积层构成。分类器由4个卷积层和一个全连接层构成。为了验证方法的效率,并没有使用dropout和max-pooling。我们将α设置为0.5,β设置为1并将γ设置为5。

结果和讨论

使用CelebA数据库生成多标签的名人人脸图片样本

通过想发生器输入多个标签,CGAN可以生成多标签样本。CelebA数据库由多个标签的图片构成。例如,一个样本图片可以有“Attractive”,“Blond Hair”,“Mouth Slightly Open”和“Smiling”的标签。

首先,使用一个标签生成图片。生成的样本见图2。

像之前讨论的,CGAN可以通过向发生器输入多个标签生成多标签的样本。图3是通过CelebA生成的多标签图片。其中“No Label”的图片只通过随机分布z~N(0,1)生成,并且输入标签设置成一个0矩阵,长度为40,l=【0,0,...,0】。“+ Attractive”的图片由同样的z和“Attractive”标签的二进制生成。类似的,最后一组图片是由z和多个标签生成的。

CGAN还具有另一优势:相较于条件GAN,CGAN可以生成label-focused样本。通过选择γ的低值,可以讲发生器更多的专注于输入标签。图4是CGAN,γ=5和条件GAN的对比。从图中可以看出CGAN生成的人脸图片比条件GAN更契合输入标签。例如,使用“Arched Eyebrow”标签时,CGAN生成的图片全部符合这个标签的特征,而条件GAN则有偏差。

 

结论

这篇论文提出了一种新的生成网络模型,即CGAN,这种模型可以控制生成的图片样本。CGAN包含三个模块,发生器/解码器,鉴别器和分类器/编码器。通过将相应的特征映射到输入标签上,生成的样本可以被有效地控制。

其实CGAN是一个简单的架构,即为vanilla GAN和解码-编码结构的组合。通过实验,作者证实了CGAN可以生成具有多个标签的人脸图片。同时,这种控制有效性也可以对生成对抗网络的研究带来一些重要的提升。

论文地址:https://arxiv.org/abs/1708.00598 


高质量延伸阅读

☞  【最详尽的GAN介绍】王飞跃等:生成式对抗网络 GAN 的研究进展与展望

☞  【智能自动化学科前沿讲习班第1期】王飞跃教授:生成式对抗网络GAN的研究进展与展望

☞  【智能自动化学科前沿讲习班第1期】王坤峰副研究员:GAN与平行视觉

☞  【重磅】平行将成为一种常态:从SimGAN获得CVPR 2017最佳论文奖说起

☞  【平行讲坛】平行图像:图像生成的一个新型理论框架

☞  【深度】可解释性与deep learning的发展

☞  【虚构的对抗】GAN with the wind

☞  【算法】Autodesk提出机器学习新算法:使用「自动编码器网络」探索生成3D形状

☞  【解析】任何机器学习分类器都可以被欺骗!一文解析对抗性攻击是如何工作的

☞  【深度】ResNet成为AlphaGo Zero核心技术,孙剑详解Zero的伟大与局限

登录查看更多
4

相关内容

专知会员服务
109+阅读 · 2020年5月21日
【CVPR2020】MSG-GAN:用于稳定图像合成的多尺度梯度GAN
专知会员服务
29+阅读 · 2020年4月6日
零样本图像分类综述 : 十年进展
专知会员服务
128+阅读 · 2019年11月16日
GANs最新综述论文: 生成式对抗网络及其变种如何有用
专知会员服务
72+阅读 · 2019年10月19日
生成式对抗网络GAN异常检测
专知会员服务
118+阅读 · 2019年10月13日
万字综述之生成对抗网络(GAN)
PaperWeekly
43+阅读 · 2019年3月19日
生成对抗网络的研究进展与趋势
中国计算机学会
35+阅读 · 2018年11月14日
【学界】自动化所在高清真实图像生成领域获得新突破
GAN生成式对抗网络
3+阅读 · 2018年9月27日
【学界】协作式生成对抗网络
GAN生成式对抗网络
8+阅读 · 2018年6月29日
【学界】生成式对抗网络:从生成数据到创造智能
GAN生成式对抗网络
6+阅读 · 2018年6月14日
GAN猫的脸
机械鸡
11+阅读 · 2017年7月8日
Arxiv
4+阅读 · 2019年4月3日
A Probe into Understanding GAN and VAE models
Arxiv
9+阅读 · 2018年12月13日
Video-to-Video Synthesis
Arxiv
9+阅读 · 2018年8月20日
Arxiv
4+阅读 · 2018年3月23日
VIP会员
相关资讯
万字综述之生成对抗网络(GAN)
PaperWeekly
43+阅读 · 2019年3月19日
生成对抗网络的研究进展与趋势
中国计算机学会
35+阅读 · 2018年11月14日
【学界】自动化所在高清真实图像生成领域获得新突破
GAN生成式对抗网络
3+阅读 · 2018年9月27日
【学界】协作式生成对抗网络
GAN生成式对抗网络
8+阅读 · 2018年6月29日
【学界】生成式对抗网络:从生成数据到创造智能
GAN生成式对抗网络
6+阅读 · 2018年6月14日
GAN猫的脸
机械鸡
11+阅读 · 2017年7月8日
Top
微信扫码咨询专知VIP会员