2019 AAAI GHM(解决one-stage样本不平衡问题)目标检测算法论文阅读笔记

2019 年 6 月 30 日 极市平台

加入极市专业CV交流群,与6000+来自腾讯,华为,百度,北大,清华,中科院等名企名校视觉开发者互动交流!更有机会与李开复老师等大牛群内互动!

同时提供每月大咖直播分享、真实项目需求对接、干货资讯汇总,行业技术交流点击文末“阅读原文”立刻申请入群~


本文转载自知乎专栏:目标检测

来源:https://zhuanlan.zhihu.com/p/54182158

已获作者授权,请勿二次转载


背景


《Gradient Harmonized Single-stage Detector》是2019 AAAI的Oral paper,出自港中文。这篇论文半年前就出来了,原理也比较简单,但当时认为相比于RetinaNet,GHM只有0.8个点的提升,所以感觉没有尝试的价值。但是最近结合Libra RCNN那篇关于balanced loss的讨论,以及目前在工程上的实现结果来看,性能提升还是非常明显的(特别是很多数据集标注存在误标的情况),值得分享下。


论文链接:

https://arxiv.org/pdf/1811.05181.pdf


代码地址:

https://github.com/libuyu/GHM_Detection


另外该代码基于港中文发布的mmdetection开发,目前港中文很多代码都是基于mmdetection实现,资源也较多,感兴趣的可以安装下。


一、研究动机:


该论文主要聚焦于one-stage方法中样本不平衡问题,包括正样本和负样本、难易样本的不平衡问题。对比RetinaNet(focal loss)通过alpha参数控制正负样本比例、gamma参数控制难易样本比例,但是RetinaNet存在两个主要的问题,1)两个超参需要调整,在COCO上虽然影响不大,但是在产品中的训练样本来看,影响很大;2)没有考虑难例中outliers的影响,使得模型较难收敛,或者导致性能下降。



可以看到上图最右边Focal loss代表的蓝色的线在梯度为1的时候(outliers)比重是很大的。


二、具体方法


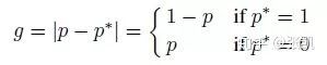
1 问题定义

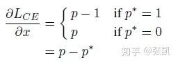
首先是对之前问题的定义,即之前的交叉熵损失函数:


梯度求导非常简单:


进一步简写为:


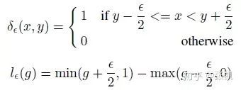
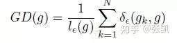
2 梯度密度

引入梯度密度的概念:


并且,


物理意义非常简单,就是在一个区间内梯度的数目。从而引入梯度密度均衡参数:



物理意义就是,密度越大,该部分的权重会被降低。


3 GHM-C函数

主要是对分类一支的改进,将梯度密度均衡参数引入:


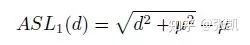
4 GHM-R函数

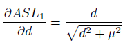
首先是对smooth L1的改进(主要是d可以无限大),所以引入了提出了ASL1:


其梯度为:


然后在此基础上加入梯度密度均衡参数:


三、实验结果



首先是超参的影响,M代表了划分区间,越大的话,越接近密度,但是由于每次迭代样本的随机性,也就越不稳定。在COCO上,M=30最好。



GHMC和FL在COCO上表现差不多。



GHMR比SL提升了0.6个百分点。



最好的结果,在不同的backbone上,均有0.8个点的提升。


四、总结分析


GHM的思想比FL更进一步地解决了样本不平衡的问题,虽然在COCO上提升不大,但是在某些比较脏的数据集上,表现非常好,值得尝试。

(完)




*延伸阅读


点击左下角阅读原文”,即可申请加入极市目标跟踪、目标检测、工业检测、人脸方向、视觉竞赛等技术交流群,更有每月大咖直播分享、真实项目需求对接、干货资讯汇总,行业技术交流,一起来让思想之光照的更远吧~


△长按关注极市平台


觉得有用麻烦给个在看啦~  

登录查看更多
13

相关内容

专知会员服务
112+阅读 · 2020年6月26日
专知会员服务
164+阅读 · 2020年4月21日
CVPR2020 | 商汤-港中文等提出PV-RCNN:3D目标检测新网络
专知会员服务
45+阅读 · 2020年4月17日
专知会员服务
55+阅读 · 2020年3月16日
47.4mAP!最强Anchor-free目标检测网络:SAPD
极市平台
13+阅读 · 2019年12月16日
2019 DR loss(样本不平衡问题)目标检测论文阅读
极市平台
11+阅读 · 2019年10月28日
CVPR 2019:精确目标检测的不确定边界框回归
AI科技评论
13+阅读 · 2019年9月16日
样本贡献不均:Focal Loss和 Gradient Harmonizing Mechanism
FCOS: 最新的one-stage逐像素目标检测算法
极市平台
15+阅读 · 2019年4月14日
目标检测小tricks之样本不均衡处理
PaperWeekly
49+阅读 · 2019年4月5日
目标检测论文阅读:DetNet
极市平台
9+阅读 · 2019年1月28日
CVPR2018 目标检测算法总览(最新的目标检测论文)
极市平台
21+阅读 · 2018年12月21日
Arxiv
13+阅读 · 2019年4月9日
Arxiv
5+阅读 · 2019年4月8日
VIP会员
相关资讯
47.4mAP!最强Anchor-free目标检测网络:SAPD
极市平台
13+阅读 · 2019年12月16日
2019 DR loss(样本不平衡问题)目标检测论文阅读
极市平台
11+阅读 · 2019年10月28日
CVPR 2019:精确目标检测的不确定边界框回归
AI科技评论
13+阅读 · 2019年9月16日
样本贡献不均:Focal Loss和 Gradient Harmonizing Mechanism
FCOS: 最新的one-stage逐像素目标检测算法
极市平台
15+阅读 · 2019年4月14日
目标检测小tricks之样本不均衡处理
PaperWeekly
49+阅读 · 2019年4月5日
目标检测论文阅读:DetNet
极市平台
9+阅读 · 2019年1月28日
CVPR2018 目标检测算法总览(最新的目标检测论文)
极市平台
21+阅读 · 2018年12月21日
Top
微信扫码咨询专知VIP会员