ROC曲线和AUC面积理解

2020 年 4 月 13 日 AINLP

目录:

(1)ROC曲线的由来

(2)什么是ROC曲线

(3)ROC曲线的意义

(4)AUC面积的由来

(5)什么是AUC面积

(6)AUC面积的意义

(7)讨论:在多分类问题下能不能使用ROC曲线

 

一、ROC曲线的由来


很多学习器是为测试样本产生一个实值或概率预测,然后将这个预测值与一个分类阈值进行比较,若大于阈值则分为正类,否则为反类。例如,神经网络在一般情形下是对每个测试样本预测出一个[0.0,1.0]之间的实值,然后将这个值与阈值0.5进行比较,大于0.5则判为正例,否则为反例。这个阈值设置的好坏,直接决定了学习器的泛化能力。


在不同的应用任务中,我们可根据任务需求来采用不同的阈值。例如,若我们更重视“查准率”,则可以把阈值设置的大一些,让分类器的预测结果更有把握;若我们更重视“查全率”,则可以把阈值设置的小一些,让分类器预测出更多的正例。因此,阈值设置的好坏,体现了综合考虑学习器在不同任务下的泛化性能的好坏。为了形象的描述这一变化,在此引入ROC曲线,ROC曲线则是从阈值选取角度出发来研究学习器泛化性能的有力工具。


如果你还对“查准率”和“查全率”不了解,看我之前的文章【错误率、精度、查准率、查全率和F1度量】详细介绍


二、什么是ROC曲线


ROC全称是“受试者工作特征”(Receiver OperatingCharacteristic)曲线。我们根据学习器的预测结果,把阈值从0变到最大,即刚开始是把每个样本作为正例进行预测,随着阈值的增大,学习器预测正样例数越来越少,直到最后没有一个样本是正样例。在这一过程中,每次计算出两个重要量的值,分别以它们为横、纵坐标作图,就得到了“ROC曲线”。


ROC曲线的纵轴是“真正例率”(True Positive Rate, 简称TPR),横轴是“假正例率”(False Positive Rate,简称FPR),基于上篇文章《错误率、精度、查准率、查全率和F1度量》的表1中符号,两者分别定义为:


 


显示ROC曲线的图称为“ROC图”。图1给出了一个示意图,显然,对角线对应于“随机猜测”模型,而点(0,1)则对应于将所有正例预测为真正例、所有反例预测为真反例的“理想模型”。

 

图1:ROC曲线与AUC面积   

 

现实任务中通常是利用有限个测试样例来绘制ROC图,此时仅能获得有限个(真正例率,假正例率)坐标对,无法产生图1中的光滑ROC曲线,只能绘制出图2所示的近似ROC曲线。绘制过程很简单:给定个正例和个反例,根据学习器预测结果对样例进行排序,然后把分类阈值设置为最大,即把所有样例均预测为反例,此时真正例率和假正例率均为0,在坐标(0,0)处标记一个点。然后,将分类阈值依次设为每个样例的预测值,即依次将每个样例划分为正例。设前一个标记点坐标为,当前若为真正例,则对应标记点的坐标为;当前若为假正例,则对应标记点的坐标为,然后用线段连接相邻点即得。


图2:基于有限样例绘制的ROC曲线与AUC面积


三、ROC曲线的意义


(1)主要作用


1. ROC曲线能很容易的查出任意阈值对学习器的泛化性能影响。


2.有助于选择最佳的阈值。ROC曲线越靠近左上角,模型的准确性就越高。最靠近左上角的ROC曲线上的点是分类错误最少的最好阈值,其假正例和假反例总数最少。


3.可以对不同的学习器比较性能。将各个学习器的ROC曲线绘制到同一坐标中,直观地鉴别优劣,靠近左上角的ROC曲所代表的学习器准确性最高。


(2)优点


  1. 该方法简单、直观、通过图示可观察分析学习器的准确性,并可用肉眼作出判断。ROC曲线将真正例率和假正例率以图示方法结合在一起,可准确反映某种学习器真正例率和假正例率的关系,是检测准确性的综合代表。


  2. ROC曲线不固定阈值,允许中间状态的存在,利于使用者结合专业知识,权衡漏诊与误诊的影响,选择一个更加的阈值作为诊断参考值。


四、AUC面积的由来


如果两条ROC曲线没有相交,我们可以根据哪条曲线最靠近左上角哪条曲线代表的学习器性能就最好。但是,实际任务中,情况很复杂,如果两条ROC曲线发生了交叉,则很难一般性地断言谁优谁劣。在很多实际应用中,我们往往希望把学习器性能分出个高低来。在此引入AUC面积。


在进行学习器的比较时,若一个学习器的ROC曲线被另一个学习器的曲线完全“包住”,则可断言后者的性能优于前者;若两个学习器的ROC曲线发生交叉,则难以一般性的断言两者孰优孰劣。此时如果一定要进行比较,则比较合理的判断依据是比较ROC曲线下的面积,即AUC(Area Under ROC Curve),如图1、图2所示。


五、什么是AUC面积


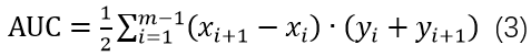
AUC就是ROC曲线下的面积,衡量学习器优劣的一种性能指标。从定义可知,AUC可通过对ROC曲线下各部分的面积求和而得。假定ROC曲线是由坐标为的点按序连接而形成,参见图2,则AUC可估算为公式3。

 


六、AUC面积的意义


AUC是衡量二分类模型优劣的一种评价指标,表示预测的正例排在负例前面的概率。


看到这里,是不是很疑惑,根据AUC定义和计算方法,怎么和预测的正例排在负例前面的概率扯上联系呢?如果从定义和计算方法来理解AUC的含义,比较困难,实际上AUC和Mann-WhitneyU test(曼-慧特尼U检验)有密切的联系。从Mann-Whitney U statistic的角度来解释,AUC就是从所有正样本中随机选择一个样本,从所有负样本中随机选择一个样本,然后根据你的学习器对两个随机样本进行预测,把正样本预测为正例的概率,把负样本预测为正例的概率>的概率就等于AUC。所以AUC反映的是分类器对样本的排序能力。根据这个解释,如果我们完全随机的对样本分类,那么AUC应该接近0.5。


另外值得注意的是,AUC的计算方法同时考虑了学习器对于正例和负例的分类能力,在样本不平衡的情况下,依然能够对分类器做出合理的评价。AUC对样本类别是否均衡并不敏感,这也是不均衡样本通常用AUC评价学习器性能的一个原因。例如在癌症预测的场景中,假设没有患癌症的样本为正例,患癌症样本为负例,负例占比很少(大概0.1%),如果使用准确率评估,把所有的样本预测为正例便可以获得99.9%的准确率。但是如果使用AUC,把所有样本预测为正例,TPR为1,FPR为1。这种情况下学习器的AUC值将等于0.5,成功规避了样本不均衡带来的问题。

 

最后,我们在讨论一下:在多分类问题下能不能使用ROC曲线来衡量模型性能?

我的理解:ROC曲线用在多分类中是没有意义的。只有在二分类中Positive和Negative同等重要时候,适合用ROC曲线评价。如果确实需要在多分类问题中用ROC曲线的话,可以转化为多个“一对多”的问题。即把其中一个当作正例,其余当作负例来看待,画出多个ROC曲线。

 

Reference:

(1)《机器学习》周志华著。

(2)机器学习和统计里面的auc怎么理解?- 小小丘的回答 - 知乎

          https://www.zhihu.com/question/39840928/answer/84906286

(3)机器学习和统计里面的auc怎么理解?- 李大猫的回答 - 知乎

   https://www.zhihu.com/question/39840928/answer/83576302

(4)机器学习和统计里面的auc怎么理解?- 知乎

  https://www.zhihu.com/question/39840928


推荐阅读

AINLP年度阅读收藏清单

数学之美中盛赞的 Michael Collins 教授,他的NLP课程要不要收藏?

自动作诗机&藏头诗生成器:五言、七言、绝句、律诗全了

From Word Embeddings To Document Distances 阅读笔记

模型压缩实践系列之——bert-of-theseus,一个非常亲民的bert压缩方法

这门斯坦福大学自然语言处理经典入门课,我放到B站了

可解释性论文阅读笔记1-Tree Regularization

征稿启示 | 稿费+GPU算力+星球嘉宾一个都不少

关于AINLP

AINLP 是一个有趣有AI的自然语言处理社区,专注于 AI、NLP、机器学习、深度学习、推荐算法等相关技术的分享,主题包括文本摘要、智能问答、聊天机器人、机器翻译、自动生成、知识图谱、预训练模型、推荐系统、计算广告、招聘信息、求职经验分享等,欢迎关注!加技术交流群请添加AINLPer(id:ainlper),备注工作/研究方向+加群目的。


登录查看更多
3

相关内容

【经典书】概率统计导论第五版,730页pdf
专知会员服务
249+阅读 · 2020年7月28日
【干货书】R语言书: 编程和统计的第一课程,
专知会员服务
118+阅读 · 2020年5月9日
零样本图像分类综述 : 十年进展
专知会员服务
128+阅读 · 2019年11月16日
R语言时间序列分析
R语言中文社区
12+阅读 · 2018年11月19日
【干货】机器学习中的五种回归模型及其优缺点
机器学习算法与Python学习
7+阅读 · 2018年8月10日
已删除
将门创投
4+阅读 · 2018年6月12日
已删除
将门创投
10+阅读 · 2018年5月2日
【机器学习】Google发布机器学习术语表 (中英对照)
教你简单解决过拟合问题(附公式)
数据派THU
5+阅读 · 2018年2月13日
CNN 反向传播算法推导
统计学习与视觉计算组
30+阅读 · 2017年12月29日
从点到线:逻辑回归到条件随机场
夕小瑶的卖萌屋
15+阅读 · 2017年7月22日
机器学习算法比较
我爱机器学习
4+阅读 · 2016年12月11日
Arxiv
3+阅读 · 2017年10月1日
VIP会员
相关资讯
R语言时间序列分析
R语言中文社区
12+阅读 · 2018年11月19日
【干货】机器学习中的五种回归模型及其优缺点
机器学习算法与Python学习
7+阅读 · 2018年8月10日
已删除
将门创投
4+阅读 · 2018年6月12日
已删除
将门创投
10+阅读 · 2018年5月2日
【机器学习】Google发布机器学习术语表 (中英对照)
教你简单解决过拟合问题(附公式)
数据派THU
5+阅读 · 2018年2月13日
CNN 反向传播算法推导
统计学习与视觉计算组
30+阅读 · 2017年12月29日
从点到线:逻辑回归到条件随机场
夕小瑶的卖萌屋
15+阅读 · 2017年7月22日
机器学习算法比较
我爱机器学习
4+阅读 · 2016年12月11日
Top
微信扫码咨询专知VIP会员