【福利】囚犯抓绿豆,谁生谁死?

2018 年 8 月 29 日 算法与数学之美

囚犯抓绿豆,谁生谁死?

五个囚犯先后从 100 颗绿豆中抓绿豆。抓得最多和最少的人将被处死,不能交流,可以摸出剩下绿豆的数量,谁的存活几率最大?


提示:

1.他们都是很聪明的人;

2.他们的原则是先求保命,再去多杀人;

3.100 颗不必都分完,但要保证每人至少抓一颗;

4.若有重复的情况,则也算最大和最小,一并处死。


这道题怎么做,取决于我们如何从数学的角度理解题干中这句话:

「他们的原则是先求保命,再去多杀人」。


 我的理解是: 

1. 每个人采取方案,使得剩下的人在采取最佳方案的时候,自己的存活概率最大;

2. 如果有多种方案使得自己的存活概率最大且相同,则采取杀死人最多的方案。

假设我的理解正确,那么,这道题将会有一个可怕的答案。


定义: 为第 个人取走的绿豆数,而 为前 个人取走的总绿豆数


 引理 1:

个人 () 取过绿豆时,如果被取走的绿豆数满足


则第 个人应该取 颗绿豆;


 证明: 

这个方案,可以确保自己不死,同时剩下未取豆子的人死亡概率最大。


其中:

是确保剩下的人至少有一颗绿豆可选,且自己至少取了 2 颗;


是确保自己取的绿豆数至少比前面取的最多的人少 1 ;


由于 , 有, 这不仅保证了自己取的豆子数不是最多的,并且其他人不可能都取到那么多,所以自己必然存活;


如果 ,他在确保自己存活的情况下,使得剩下的豆子数最少,这样可以杀更多的人;


如果,他在确保自己存活的情况下,剩下的人每个人只能取 1 颗豆子,确保杀死剩下的所有人;


 推论 1:如果第 1 个人想要存活,那么他取的豆子数不能超过 20 颗,否则,后面的人只要采取引理 1 的方案,将保证自己存活,且此时第 1 个人会因为取的绿豆数最多而死亡,而最后 1~3 个人(根据第 1 个人取的绿豆数)会因为自己取的豆子数最少而死亡;


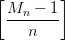
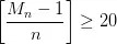
 引理 2:时,若

则第 个人应该取 颗绿豆来确保自己的存活概率最高

(其中, 是均值的四舍五入)


因为当且仅当在这种情况下,只要前面的人取的绿豆数的最大最小值之差不小于 2,自己就确保能存活(否则存活范围会变窄)


对于第 5 个人,这个条件可能不成立,比如见到前面四个人取了 62 颗,可能是 14+16+16+16,也可能是 15+15+15+17,所以他无论取 15 颗还是 16 颗都有机会但不能确保自己存活。


而所有人取绿豆的最大最小值的差不大于 1,所有人都得死;


引理 3:当大家都极度自私的情况下,前 2 个人没有存活的可能


这是因为由引理 2,如果第 3~5 个人都会采取对他们而言存活概率的方案,如果第 2 个人和第 1 个人取的绿豆数差超过 1 个,那前两个人就包揽了最大最小值,必须死,如果差不超过 1,则所有人都得死;


既然第 1 个人没有存活概率,那他的目标就很耐人寻味了:


如果自己没有存活概率——


选择 1:杀死尽可能多的人

选择 2:尽可能拯救更多的人


按照我的假设,应该是前者。


既然第 1 个人没有存活概率,不妨让大家都死得干净些——取走 96 颗绿豆!


但如果,第 1 个人有点恻隐之心,做出了选择 2:

那,他会取走 21~33 的豆子数,根据引理 1,第 2~4 个人会存活;

所以,本题根据对题意的不同理解,有两解:


·所有人都死亡;

·第 2~4 个人存活;


而对于第 1 个囚犯,他将面临一个哲学难题:

如果自己不可能活下去,你会选择让别人陪葬,还是让其他人好好活下去?


如果是你,会怎么选择呢?


数学妙啊!妙!


作者: 曾加 

简介:数据分析师,毕业于清华大学,知乎数学话题优秀回答者

∑编辑 | 裴奕霖

来源 | 知乎

粉丝福利

送书!




本书阐述了求解微积分的技巧,详细讲解了微积分基础、极限、连续、微分、导数的应用、积分、无穷级数、泰勒级数与幂级数等内容,旨在教会读者如何思考问题从而找到解题所需的知识点,着重训练大家自己解答问题的能力。

本书适用于大学低年级学生、高中高年级学生、想学习微积分的数学爱好者以及广大数 学教师。本书既可作为教材、习题集,也可作为学习指南,同时还有利于教师备课。


想获得此书,

文章底部留言,

留言点赞前四名的粉丝(24小时计),

免费获得此书!

算法数学之美微信公众号欢迎赐稿

稿件涉及数学、物理、算法、计算机、编程等相关领域,经采用我们将奉上稿酬。

投稿邮箱:math_alg@163.com

登录查看更多
0

相关内容

本话题关于日常用语「概率」,用于讨论生活中的运气、机会,及赌博、彩票、游戏中的「技巧」。关于抽象数学概念「概率」的讨论,请转 概率(数学)话题。
【硬核书】不完全信息决策理论,467页pdf
专知会员服务
364+阅读 · 2020年6月24日
最新《自动微分手册》77页pdf
专知会员服务
103+阅读 · 2020年6月6日
【清华大学】图随机神经网络,Graph Random Neural Networks
专知会员服务
156+阅读 · 2020年5月26日
专知会员服务
32+阅读 · 2020年5月20日
【强化学习】深度强化学习初学者指南
专知会员服务
184+阅读 · 2019年12月14日
【机器学习课程】Google机器学习速成课程
专知会员服务
170+阅读 · 2019年12月2日
一文读懂机器学习中的贝叶斯统计学
数据分析
26+阅读 · 2019年5月8日
最新版:本科、硕士和博士有何区别?
德先生
6+阅读 · 2018年6月10日
一文读懂贝叶斯分类算法(附学习资源)
大数据文摘
12+阅读 · 2017年12月14日
福利丨晚来天欲雪,一起囤大数据好书吗?
DBAplus社群
4+阅读 · 2017年12月13日
无人驾驶汽车
劲说
6+阅读 · 2016年8月26日
Arxiv
24+阅读 · 2018年10月24日
Arxiv
23+阅读 · 2018年8月3日
Arxiv
19+阅读 · 2018年6月27日
VIP会员
相关VIP内容
【硬核书】不完全信息决策理论,467页pdf
专知会员服务
364+阅读 · 2020年6月24日
最新《自动微分手册》77页pdf
专知会员服务
103+阅读 · 2020年6月6日
【清华大学】图随机神经网络,Graph Random Neural Networks
专知会员服务
156+阅读 · 2020年5月26日
专知会员服务
32+阅读 · 2020年5月20日
【强化学习】深度强化学习初学者指南
专知会员服务
184+阅读 · 2019年12月14日
【机器学习课程】Google机器学习速成课程
专知会员服务
170+阅读 · 2019年12月2日
相关资讯
一文读懂机器学习中的贝叶斯统计学
数据分析
26+阅读 · 2019年5月8日
最新版:本科、硕士和博士有何区别?
德先生
6+阅读 · 2018年6月10日
一文读懂贝叶斯分类算法(附学习资源)
大数据文摘
12+阅读 · 2017年12月14日
福利丨晚来天欲雪,一起囤大数据好书吗?
DBAplus社群
4+阅读 · 2017年12月13日
无人驾驶汽车
劲说
6+阅读 · 2016年8月26日
Top
微信扫码咨询专知VIP会员