ACL 2022 | 引入角度margin构建对比学习目标,增强文本语义判别能力

2022 年 7 月 29 日 PaperWeekly


©作者 | 牟宇滔

单位 | 北京邮电大学

研究方向 | 自然语言理解




论文标题:
A Contrastive Framework for Learning Sentence Representations from Pairwise and Triple-wise Perspective in Angular Space

文章来源:

ACL 2022

文章链接:

https://aclanthology.org/2022.acl-long.336/




Overview


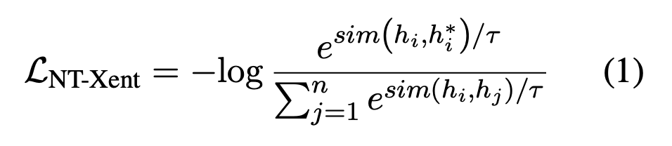
聚焦的问题:近年来基于对比学习的句子表示学习研究取得了较大的进展,但是大多数方法都只关注如何挑选对比学习的正负样本对,而几乎没有人去关注对比学习目标函数本身。实际上,大家普遍使用的 NT-Xent 对比损失存在两个问题:1)判别能力不强,易受到噪声数据干扰;2)无法建模多个句子间的语义顺序。


▲ 这里展示了三个不同句子的表示可视化,不同颜色代表不同句子,每个句子经过BERT模型多次不同的dropout,因此表征具有一定的随机性(dropout可以看成一种噪声)。可以看出SimCSE得到的表征Sb和Sc不能很好地区分开。此外,我们可以看出Sa应该与Sb语义更相近,与Sc语义相对更远,这种关系没能建模。

提出的方法:本文提出一种 ArcSCE 方法,基本思想是将之前在欧氏空间中进行操作的 NT-Xent 目标函数转换到角度空间中,目的是强化成对判别性特征,并建模句子间的语义顺序关系。




Method


ArcCSE 框架分为两个部分,一是成对判别性建模;二是三元语义顺序建模。分别设计了两个对比学习损失函数进行联合优化。


▲  ArcCSE框架。对于左边的成对相似性建模,与SimCSE做法相同,都是将每句话dropout两次过编码器;对于右边的三元语义顺序建模,不做dropout操作,而是将同一句话mask两次,构造三元组。

2.1 Angular Margin based Contrastive Learning


这个模块的目的与 SimCSE 相同,都是为了让正样本拉近,负样本拉远,其中正样本是 dropout 增强的样本,负样本是 batch 内其他样本。如果像 SimCSE 一样使用如下传统的 NT-Xent 目标函数:

▲ 两个表征的相似性用余弦相似度计算


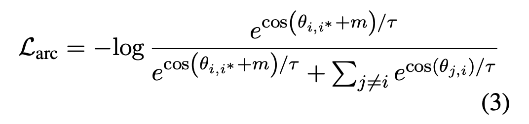
作者认为这样目标函数判别能力不够出色,并且容易受到噪声数据的影响。为了更好地理解这两个问题,我们可以做一个数学变换,将余弦相似度(欧氏空间度量指标)转换为角度(角度空间度量指标)。


▲ 将余弦相似度转换为角度,余弦相似度越大,角度越小


这样一来,我们就可以画出 NT-Xent 函数的判别边界如下:


▲  这个图其实说明的是对于每个anchor,正样本和负样本的相似性度量之间的关系。橙色区域是优化的方向。


对于传统的 NT-Xent 目标函数,由于缺乏一个较大的决策 margin,因此决策边缘微小的扰动都可能错误决策。为了克服这个问题,作者提出了一个新的目标,即通过增加一个角度 margin 来得到更鲁棒的句子表示,新目标函数如下:



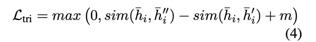
2.2 Modeling Entailment Relation of Triplet Sentences


为了让模型能够学习到多个句子间的语义相似性顺序关系,作者提出了一个新的预训练任务,建模三元句子对的蕴含关系。首先,通过对一句话按不同的 mask 比例做两次 mask,得到三元组句子对。


▲ 通过不同mask比例显示构造这三句话的语义顺序


然后用如下三元损失函数进行训练:





Experiments


3.1 主实验


本文聚焦的是句子表示学习,因此在两种句子相关的任务上进行了评估:一是 STS(文本语义相似性评估),二是 SentEval Transfer Tasks(将本文方法得到的句子表示用于各种下游任务中)。


▲ 在各种STS数据集上进行评估


▲ 将学习到的句子表示用于各种下游任务中


3.2 Alignment and Uniformity Analysis


对比学习有两个重要性质,Alignment 指的是希望相似实例能够产生尽可能相近的表征,Uniformity 指的是希望表征分布尽可能均匀,有利于保留最大的信息量。



作者在训练过程中每 10 个 epoch 计算一次两个指标,结果如下图所示。可以看出相比于 SimCSE,ArcCSE 可以得到更好的 alignment 性质,和相当的 uniformity 性质。



更多阅读



#投 稿 通 道#

 让你的文字被更多人看到 



如何才能让更多的优质内容以更短路径到达读者群体,缩短读者寻找优质内容的成本呢?答案就是:你不认识的人。


总有一些你不认识的人,知道你想知道的东西。PaperWeekly 或许可以成为一座桥梁,促使不同背景、不同方向的学者和学术灵感相互碰撞,迸发出更多的可能性。 


PaperWeekly 鼓励高校实验室或个人,在我们的平台上分享各类优质内容,可以是最新论文解读,也可以是学术热点剖析科研心得竞赛经验讲解等。我们的目的只有一个,让知识真正流动起来。


📝 稿件基本要求:

• 文章确系个人原创作品,未曾在公开渠道发表,如为其他平台已发表或待发表的文章,请明确标注 

• 稿件建议以 markdown 格式撰写,文中配图以附件形式发送,要求图片清晰,无版权问题

• PaperWeekly 尊重原作者署名权,并将为每篇被采纳的原创首发稿件,提供业内具有竞争力稿酬,具体依据文章阅读量和文章质量阶梯制结算


📬 投稿通道:

• 投稿邮箱:hr@paperweekly.site 

• 来稿请备注即时联系方式(微信),以便我们在稿件选用的第一时间联系作者

• 您也可以直接添加小编微信(pwbot02)快速投稿,备注:姓名-投稿


△长按添加PaperWeekly小编




🔍


现在,在「知乎」也能找到我们了

进入知乎首页搜索「PaperWeekly」

点击「关注」订阅我们的专栏吧


·

登录查看更多
0

相关内容

通过潜在空间的对比损失最大限度地提高相同数据样本的不同扩充视图之间的一致性来学习表示。对比式自监督学习技术是一类很有前途的方法,它通过学习编码来构建表征,编码使两个事物相似或不同
KDD 2022 | GraphMAE:自监督掩码图自编码器
专知会员服务
20+阅读 · 2022年7月14日
【ICML2022】MetAug:通过元特征增强的对比学习
专知会员服务
25+阅读 · 2022年5月20日
【AAAI 2022】用于文本摘要任务的序列级对比学习模型
专知会员服务
25+阅读 · 2022年1月11日
【ICCV2021】多层次对比学习的跨模态检索方法
专知会员服务
23+阅读 · 2021年10月24日
专知会员服务
90+阅读 · 2021年6月29日
专知会员服务
42+阅读 · 2021年6月6日
[CVPR 2021] 序列到序列对比学习的文本识别
专知会员服务
29+阅读 · 2021年4月14日
【WWW2021】本体增强零样本学习
专知会员服务
35+阅读 · 2021年2月26日
ACL 2022 | 无监督句表示的去偏对比学习
RUC AI Box
0+阅读 · 2022年6月4日
对比学习在NLP和多模态领域的应用
RUC AI Box
2+阅读 · 2022年2月25日
从三角不等式到Margin Softmax
PaperWeekly
0+阅读 · 2021年10月7日
国家自然科学基金
2+阅读 · 2014年12月31日
国家自然科学基金
0+阅读 · 2014年12月31日
国家自然科学基金
0+阅读 · 2013年12月31日
国家自然科学基金
3+阅读 · 2012年12月31日
国家自然科学基金
4+阅读 · 2012年12月31日
国家自然科学基金
2+阅读 · 2011年12月31日
国家自然科学基金
2+阅读 · 2011年12月31日
国家自然科学基金
0+阅读 · 2008年12月31日
Adversarial Mutual Information for Text Generation
Arxiv
13+阅读 · 2020年6月30日
Arxiv
13+阅读 · 2020年4月12日
How to Fine-Tune BERT for Text Classification?
Arxiv
13+阅读 · 2019年5月14日
Arxiv
11+阅读 · 2018年7月8日
Arxiv
11+阅读 · 2018年1月18日
VIP会员
相关VIP内容
KDD 2022 | GraphMAE:自监督掩码图自编码器
专知会员服务
20+阅读 · 2022年7月14日
【ICML2022】MetAug:通过元特征增强的对比学习
专知会员服务
25+阅读 · 2022年5月20日
【AAAI 2022】用于文本摘要任务的序列级对比学习模型
专知会员服务
25+阅读 · 2022年1月11日
【ICCV2021】多层次对比学习的跨模态检索方法
专知会员服务
23+阅读 · 2021年10月24日
专知会员服务
90+阅读 · 2021年6月29日
专知会员服务
42+阅读 · 2021年6月6日
[CVPR 2021] 序列到序列对比学习的文本识别
专知会员服务
29+阅读 · 2021年4月14日
【WWW2021】本体增强零样本学习
专知会员服务
35+阅读 · 2021年2月26日
相关基金
国家自然科学基金
2+阅读 · 2014年12月31日
国家自然科学基金
0+阅读 · 2014年12月31日
国家自然科学基金
0+阅读 · 2013年12月31日
国家自然科学基金
3+阅读 · 2012年12月31日
国家自然科学基金
4+阅读 · 2012年12月31日
国家自然科学基金
2+阅读 · 2011年12月31日
国家自然科学基金
2+阅读 · 2011年12月31日
国家自然科学基金
0+阅读 · 2008年12月31日
Top
微信扫码咨询专知VIP会员