ELECTRA:超越BERT,19年最佳NLP预训练模型

2019 年 11 月 6 日 新智元



  新智元推荐  

来源:NLPCAB

文章作者:李如

【新智元导读】本文介绍的ELECTRA是斯坦福SAIL实验室Manning组的工作,是作者在ICLR盲审中淘到的宝贝,也是BERT推出以来最赞的改进。ELECTRA不仅吊打BERT,而且仅用1/4的算力就达到了当时SOTA模型RoBERTa的效果。你怎么看,新智元 AI 朋友圈与AI大咖一起讨论吧~

BERT推出这一年来,除了XLNet,其他的改进都没带来太多惊喜,无非是越堆越大的模型和数据,以及动辄1024块TPU,让工程师们不知道如何落地。

今天要介绍的ELECTRA是我在ICLR盲审中淘到的宝贝(9月25日已截稿),也是BERT推出以来我见过最赞的改进,通过类似GAN的结构和新的预训练任务,在更少的参数量和数据下,不仅吊打BERT,而且仅用1/4的算力就达到了当时SOTA模型RoBERTa的效果。

论文地址:

https://openreview.net/forum?id=r1xMH1BtvB


感谢徐啸以及SmileTM同学的补充,这是斯坦福SAIL实验室Manning组的工作,10.31的智源大会上有简单介绍。


1. 简介


ELECTRA的全称是Efficiently Learning an Encoder that Classifies Token Replacements Accurately,先来直观感受一下ELECTRA的效果:

右边的图是左边的放大版,纵轴是GLUE分数,横轴是FLOPs (floating point operations),Tensorflow中提供的浮点数计算量统计。从上图可以看到,同等量级的ELECTRA是一直碾压BERT的,而且在训练更长的步数之后,达到了当时的SOTA模型——RoBERTa的效果。从左图曲线上也可以看到,ELECTRA效果还有继续上升的空间。

2. 模型结构


NLP式的Generat or-Disc riminator
ELECTRA最主要的贡献是提出了新的预训练任务和框架,把生成式的Masked language model(MLM)预训练任务改成了判别式的Replaced token detection(RTD)任务,判断当前token是否被语言模型替换过。那么问题来了,我随机替换一些输入中的字词,再让BERT去预测是否替换过可以吗?可以的,因为我就这么做过,但效果并不好,因为随机替换太简单了

那怎样使任务复杂化呢?。。。咦,咱们不是有预训练一个MLM模型吗?

于是作者就干脆使用一个MLM的G-BERT来对输入句子进行更改,然后丢给D-BERT去判断哪个字被改过,如下:

于是,我们NLPer终于成功地把CV的GAN拿过来了!

Replaced Token Detection

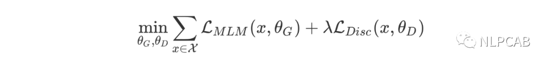
但上述结构有个问题,输入句子经过生成器,输出改写过的句子,因为句子的字词是离散的,所以梯度在这里就断了,判别器的梯度无法传给生成器,于是生成器的训练目标还是MLM(作者在后文也验证了这种方法更好),判别器的目标是序列标注(判断每个token是真是假),两者同时训练,但判别器的梯度不会传给生成器,目标函数如下:

因为判别器的任务相对来说容易些,RTD loss相对MLM loss会很小,因此加上一个系数,作者训练时使用了50。

另外要注意的一点是,在优化判别器时计算了所有token上的loss,而以往计算BERT的MLM loss时会忽略没被mask的token。作者在后来的实验中也验证了在所有token上进行loss计算会提升效率和效果。

事实上,ELECTRA使用的Generator-Discriminator架构与GAN还是有不少差别,作者列出了如下几点:


3. 实验及结论 3. 实验及结论3. 实验及结论

创新总是不易的,有了上述思想之后,可以看到作者进行了大量的实验,来验证模型结构、参数、训练方式的效果。

Weight Sharing

生成器和判别器的权重共享是否可以提升效果呢?作者设置了相同大小的生成器和判别器,在不共享权重下的效果是83.6,只共享token embedding层的效果是84.3,共享所有权重的效果是84.4。作者认为生成器对embedding有更好的学习能力,因为在计算MLM时,softmax是建立在所有vocab上的,之后反向传播时会更新所有embedding,而判别器只会更新输入的token embedding。最后作者只使用了embedding sharing。

Smaller Generators

从权重共享的实验中看到,生成器和判别器只需要共享embedding的权重就足矣了,那这样的话是否可以缩小生成器的尺寸进行训练效率提升呢?作者在保持原有hidden size的设置下减少了层数,得到了下图所示的关系图:

可以看到,生成器的大小在判别器的1/4到1/2之间效果是最好的。作者认为原因是过强的生成器会增大判别器的难度(判别器:小一点吧,我太难了)。

Training Algorithms

实际上除了MLM loss,作者也尝试了另外两种训练策略:

  1. Adversarial Contrastive Estimation:ELECTRA因为上述一些问题无法使用GAN,但也可以以一种对抗学习的思想来训练。作者将生成器的目标函数由最小化MLM loss换成了最大化判别器在被替换token上的RTD loss。但还有一个问题,就是新的生成器loss无法用梯度下降更新生成器,于是作者用强化学习Policy Gradient的思想,将被替换token的交叉熵作为生成器的reward,然后进行梯度下降。强化方法优化下来生成器在MLM任务上可以达到54%的准确率,而之前MLE优化下可以达到65%。

  2. Two-stage training:即先训练生成器,然后freeze掉,用生成器的权重初始化判别器,再接着训练相同步数的判别器。

对比三种训练策略,得到下图:

可见“隔离式”的训练策略效果还是最好的,而两段式的训练虽然弱一些,作者猜测是生成器太强了导致判别任务难度增大,但最终效果也比BERT本身要强,进一步证明了判别式预训练的效果。

Small model? Big model?

这两节真是吊打之前的模型,作者重申了他的主要目的是提升预训练效率,于是做了GPU单卡就可以愉快训练的ELECTRA-Small和BERT-Small,接着和尺寸不变的ELMo、GPT等进行对比,结果如下:

数据简直优秀,仅用14M参数量,以前13%的体积,在提升了训练速度的同时还提升了效果,这里我疯狂点赞。

小ELECTRA的本事我们见过了,那大ELECTRA行吗?直接上图:

上面是各个模型在GLUE dev/text上的表现,可以看到ELECTRA仅用了1/4的计算量就达到了RoBERTa的效果。而且作者使用的是XLNet的语料,大约是126G,但RoBERTa用了160G。由于时间和精力问题,作者们没有把ELECTRA训练更久(应该会有提升),也没有使用各种榜单Trick,所以真正的GLUE test上表现一般(现在的T5是89.7,RoBERTa是88.5,没看到ELECTRA)。

Efficiency Analysis

前文中提到了,BERT的loss只计算被替换的15%个token,而ELECTRA是全部都计算的,所以作者又做了几个实验,探究哪种方式更好一些:

  1. ELECTRA 15%:让判别器只计算15% token上的损失

  2. Replace MLM:训练BERT MLM,输入不用[MASK]进行替换,而是其他生成器。这样可以消除这种pretrain-finetune直接的diff。

  3. All-Tokens MLM:接着用Replace MLM,只不过BERT的目标函数变为预测所有的token,比较接近ELECTRA。

三种实验结果如下:

可以看到:

  1. 对比ELECTRA和ELECTRA 15%:在所有token上计算loss确实能提升效果

  2. 对比Replace MLM和BERT:[MASK]标志确实会对BERT产生影响,而且BERT目前还有一个trick,就是被替换的10%情况下使用原token或其他token,如果没有这个trick估计效果会差一些。

  3. 对比All-Tokens MLM和BERT:如果BERT预测所有token 的话,效果会接近ELECTRA

另外,作者还发现,ELECTRA体积越小,相比于BERT就提升的越明显,说明fully trained的ELECTRA效果会更好。另外作者推断,由于ELECTRA是判别式任务,不用对整个数据分布建模,所以更parameter-efficient

4. 总结

无意中发现了这篇还在ICLR盲审的ELECTRA,读完摘要就觉得发现了新大陆,主要是自己也试过Replaced Token Detection这个任务,因为平时任务效果的分析和不久前看的一篇文章,让我深刻感受到了BERT虽然对上下文有很强的编码能力,却缺乏细粒度语义的表示,我用一张图表示大家就明白了:

这是把token编码降维后的效果,可以看到sky和sea明明是天与海的区别,却因为上下文一样而得到了极为相似的编码。细粒度表示能力的缺失会对真实任务造成很大影响,如果被针对性攻击的话更是无力,所以当时就想办法加上更细粒度的任务让BERT去区分每个token,不过同句内随机替换的效果并不好,弱鸡的我也没有再往前想一步,不然就也ICLR了。相信这个任务很多人都想到过,不过都没有探索这么深入,这也告诫我们,idea遍地都是,往下挖才能有SOTA。

ELECTRA是BERT推出这一年来我见过最赞的idea,它不仅提出了能打败MLM的预训练任务,更推出了一种十分适用于NLP的类GAN框架。毕竟GAN太牛逼了,看到deepfake的时候我就想,什么时候我们也能deepcheat,但听说GAN在NLP上的效果一直不太好(只懂皮毛,要学起来了,轻拍),这次ELECTRA虽然只用了判别器,但个人认为也在一定程度上打开了潘多拉魔盒。

另外,整篇文章都干货满满,不再像之前的BERT+模型一样可以用“more data+params+steps+GPU+MONEY”简单概括。推荐大家去通读正文+附录,里面还有一些失败尝试我没有讲。

如果ELECTRA去直播,我一定给它刷一辆游艇。

参考资料

ELECTRA: PRE-TRAINING TEXT ENCODERS AS DISCRIMINATORS RATHER THAN GENERATORS

登录查看更多
6

相关内容

BERT全称Bidirectional Encoder Representations from Transformers,是预训练语言表示的方法,可以在大型文本语料库(如维基百科)上训练通用的“语言理解”模型,然后将该模型用于下游NLP任务,比如机器翻译、问答。
BERT进展2019四篇必读论文
专知会员服务
69+阅读 · 2020年1月2日
【机器学习课程】Google机器学习速成课程
专知会员服务
170+阅读 · 2019年12月2日
【文章|BERT三步使用NLP迁移学习】NLP Transfer Learning In 3 Steps
绝对干货!NLP预训练模型:从transformer到albert
新智元
13+阅读 · 2019年11月10日
一大批中文(BERT等)预训练模型等你认领!
PaperWeekly
14+阅读 · 2019年6月25日
超越BERT、GPT,微软提出通用预训练模型MASS
机器之心
4+阅读 · 2019年5月10日
3分钟看懂史上最强NLP模型BERT
机器学习算法与Python学习
8+阅读 · 2019年2月27日
Arxiv
29+阅读 · 2020年3月16日
Arxiv
5+阅读 · 2019年10月31日
Arxiv
15+阅读 · 2019年9月11日
Arxiv
4+阅读 · 2019年9月5日
Arxiv
5+阅读 · 2019年8月22日
Arxiv
11+阅读 · 2019年6月19日
Arxiv
21+阅读 · 2019年3月25日
Conditional BERT Contextual Augmentation
Arxiv
8+阅读 · 2018年12月17日
VIP会员
相关资讯
绝对干货!NLP预训练模型:从transformer到albert
新智元
13+阅读 · 2019年11月10日
一大批中文(BERT等)预训练模型等你认领!
PaperWeekly
14+阅读 · 2019年6月25日
超越BERT、GPT,微软提出通用预训练模型MASS
机器之心
4+阅读 · 2019年5月10日
3分钟看懂史上最强NLP模型BERT
机器学习算法与Python学习
8+阅读 · 2019年2月27日
相关论文
Arxiv
29+阅读 · 2020年3月16日
Arxiv
5+阅读 · 2019年10月31日
Arxiv
15+阅读 · 2019年9月11日
Arxiv
4+阅读 · 2019年9月5日
Arxiv
5+阅读 · 2019年8月22日
Arxiv
11+阅读 · 2019年6月19日
Arxiv
21+阅读 · 2019年3月25日
Conditional BERT Contextual Augmentation
Arxiv
8+阅读 · 2018年12月17日
Top
微信扫码咨询专知VIP会员