钙钛矿太阳能电池:从分子工程和固态核磁到高效、稳定的器件性能 | Nature Communications

2019 年 1 月 30 日 科研圈

稳定性、可放大性以及分子界面工程是目前钙钛矿太阳能电池(PSC)面临的几个重要挑战。近期,中山大学的毕冬勤教授等人与瑞士洛桑联邦理工大学的Michael Graetzel教授在Nature Communications上合作发表题为“Multifunctional molecular modulators for perovskite solar cells with over 20% efficiency and high operational stability”的文章中,阐述了多功能分子调节剂的分子工程,并且利用固态核磁(NMR)研究了其在稳定、高效、FAxCs1-xPbI3 钙钛矿太阳能电池器件中的作用机理。

太阳能作为清洁可再生能源,并且资源丰富,如何高效利用成了科学家的重要研究方向。III-V族元素构成的多结太阳能电池因其能提供极高的效率,已用于聚光光伏领域,但由于成本高昂无法与硅技术竞争。杂化有机-无机钙钛矿材料因其对可见光的强吸收,能带可控,电荷空穴的长分离路径等出色的光伏特性而受到广泛的关注。钙钛矿太阳能电池(PSC)因为具有低成本加工,原料丰富以及空前的高光电转换效率(PCE)被认为是下一代最具有竞争力的光伏技术。尽管FAxMA(1-x))PbI3 材料体系的PSC已经获得了>23%的光电转换效率,但是它的稳定性、可放大性和分子界面工程仍然是亟待解决的问题。科学家们正在努力采用分子添加剂来解决这些问题,然而这些添加剂在分子层面上的作用机理多属推测,原因是由于材料结构-器件性能之间的构效关系尚不清晰。作者的这篇文章将通过理性的分子设计并结合固态核磁技术从原子层面上来阐述这一构效关系。


在材料选择上,针对有机MA/FA阳离子的存在制约了器件的稳定性,作者采用了具有相对光热稳定性和单一卤素成分的FAxCs1-xPbI3作为光敏材料;在制备方法上,针对反溶剂方法难以实现大面积器件的制备的问题,作者使用了真空闪蒸法来制备钙钛矿薄膜;在研究策略上,由于溶液法低温制备得到的多晶钙钛矿薄膜晶界和界面处存在大量缺陷,钙钛矿表面的每个晶面的缺陷密度均不同。多晶薄膜表面存在很多取向:(110)、(202)、(310)和(314)。研究表明,仅(100)不带电,其它均为带电晶面,故会存在其它离子来平衡表面电荷。


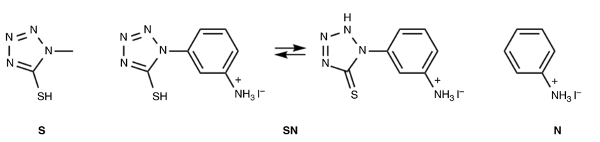
另外,不同晶面的有机成分的结合能不同,使得表面缺陷密度表现为晶面依赖性。这些缺陷态既诱导载流子非辐射复合,又易于产生离子迁移及水/氧渗透等,影响器件整体的稳定性,为此,作者尝试了一系列具有不同官能团的有机分子并将其作为分子调节剂,5-Phenyl-1H-1,2,4-triazole-3-thiol (1), 5-Phenyl-1H-tetrazole, Thiophenol (2), 1-(4-Hydroxyphenyl)-1H-tetrazole-5-thiol (3), 1-(3-Aminophenyl)-5-Mercapto-Tetrazole (4), 1-Methyl-5-tetrazolethione(5)。作者发现这些含有-SH的分子能显著增加晶粒尺寸并与未饱和金属离子的键合作用可以减少了缺陷态,减少非辐射载流子复合的中心,其中,以分子(5),简称S,的作用最为明显。


作者还研究发现,钙钛矿薄膜具有较粗糙的表面,并存在一些微米级的褶皱。其形成原因有可能是在钙钛矿中间相变为钙钛矿相的过程中,由于晶格常数变化过大所产生的较大的应力。然而,加入MACl(6), FACl(7), Anilinium iodide (8)以后,褶皱会消失,钙钛矿薄膜表面会变得更加平整,晶粒也变得更大,其中,以分子(8),简称N,的作用最为明显。研究发现,这些分子可以减缓钙钛矿的结晶过程,促进晶粒的择优取向生长从而降低晶粒生长过程中产生的应力以减少褶皱的形成。而表面平整的钙钛矿薄膜有利于形成更加均匀连续的电子传输层,从而有利于器件性能提升。因此,作者就设计了兼具这两个功能基团的双功能分子SN。它具有同时与钙钛矿表面作用并钝化缺陷态的作用。进一步地,通过两种作用的关联,分子调节剂采用了一种独特的互变异构形式,产生了额外的氢键作用点,同时保持了足够的憎水性能来提高材料的抗湿性。最后,固态NMR结果显示这些分子调节剂还可以作为分子导向剂,改善结晶性能,增大晶粒尺寸提高材料性能。结果,作者制作的1cm2的PSC获得了>20%的光电转换效率。最重要的是,采用此方法的PSC具有很高的工作状态下的稳定性。

S,SN,N分子结构示意图。

.

因此,作者将采用这种方法应用到更先进的分子调节剂上去追求更加高效、稳定的PSC。作者希望该工作将激发原子层面的表征如固态NMR在更多钙钛矿材料表征上的广泛应用,进一步揭示光伏器件内部的作用机理。

ncomms|doi:10.1038/s41467-018-06709-w

点击“阅读原文”阅读论文

Multifunctional molecular modulators for perovskite solar cells with over 20% efficiency and high operational stability

登录查看更多
0

相关内容

洛桑联邦理工学院(法文:École Polytechnique Fédérale de Lausanne, 简称:EPFL),又称瑞士联邦理工(洛桑),位于瑞士联邦洛桑,最初可以追溯到1853年建立的私立学校,后正式成立于1969年,与姊妹校苏黎世联邦理工学院一起组成瑞士联邦理工学院,是瑞士联邦经济事务、教育与研究部的一部分。 EPFL是欧洲卓越理工大学联盟成员,专注于工程技术、自然科学与建筑学的教育与研究,其在欧洲及世界上都是一所顶尖的研究型大学,位居2022QS世界大学排名第14位。官网:https://www.epfl.ch/fr/
【KDD2020】自适应多通道图卷积神经网络
专知会员服务
121+阅读 · 2020年7月9日
FPGA加速系统开发工具设计:综述与实践
专知会员服务
69+阅读 · 2020年6月24日
安全和健壮的医疗机器学习综述,附22页pdf
专知会员服务
47+阅读 · 2020年1月25日
【斯坦福大学】Gradient Surgery for Multi-Task Learning
专知会员服务
47+阅读 · 2020年1月23日
Nature 一周论文导读 | 2019 年 4 月 4 日
科研圈
7+阅读 · 2019年4月14日
【材料课堂】TEM复杂电子衍射花样的标定原理
材料科学与工程
39+阅读 · 2019年4月12日
Nature 一周论文导读 | 2019 年 2 月 28 日
科研圈
13+阅读 · 2019年3月10日
Science:脂肪细胞外泌体对巨噬细胞发挥调节功能
外泌体之家
19+阅读 · 2019年3月7日
【工业智能】风机齿轮箱故障诊断 — 基于振动信号
曹雪涛院士团队:刚发完Nature,又发一篇Cell
Arxiv
8+阅读 · 2019年2月15日
Efficient and Effective $L_0$ Feature Selection
Arxiv
5+阅读 · 2018年8月7日
Arxiv
4+阅读 · 2018年1月29日
Arxiv
8+阅读 · 2018年1月25日
Arxiv
3+阅读 · 2017年10月1日
VIP会员
相关资讯
Nature 一周论文导读 | 2019 年 4 月 4 日
科研圈
7+阅读 · 2019年4月14日
【材料课堂】TEM复杂电子衍射花样的标定原理
材料科学与工程
39+阅读 · 2019年4月12日
Nature 一周论文导读 | 2019 年 2 月 28 日
科研圈
13+阅读 · 2019年3月10日
Science:脂肪细胞外泌体对巨噬细胞发挥调节功能
外泌体之家
19+阅读 · 2019年3月7日
【工业智能】风机齿轮箱故障诊断 — 基于振动信号
曹雪涛院士团队:刚发完Nature,又发一篇Cell
相关论文
Arxiv
8+阅读 · 2019年2月15日
Efficient and Effective $L_0$ Feature Selection
Arxiv
5+阅读 · 2018年8月7日
Arxiv
4+阅读 · 2018年1月29日
Arxiv
8+阅读 · 2018年1月25日
Arxiv
3+阅读 · 2017年10月1日
Top
微信扫码咨询专知VIP会员