【材料课堂】EBSD晶体学织构基础及数据处理

2018 年 7 月 14 日 材料科学与工程
点击上方「材料科学与工程」快速关注
材料类综合、全面、专业的微信平台

......................................................

1. 晶体学及织构基础

1.1 取向(差)的定义及表征

晶体的[100]-[010]-[001]坐标系CCS相对于样品坐标系SCS:RD(rolling direction, 轧向)-TD(transverse direction, 横向)-ND (normaldirection,法向)(或X-Y-Z)的位置关系。

取向差的定义

·两个晶体坐标系之间的关系

–   crystal coordinate system for crystal 1(CCS1)

–   crystal coordinate system for crystal 2(CCS2)

取向(差)的表征

(1) Rotation matrix G旋转矩阵

(2) Miller indices

(3) Euler angles欧拉角

(4) Angle/axis of rotation旋转轴角

(5) Quaternion四元

(1) Rotation matrix G

(2) Miller Indices

·(hkl)[uvw] , (hkl)||轧面,[uvw]||轧向

·{hkl}<uvw> Miller指数族

·For a cubic crystal structure, (hkl)[uvw] 等效于 [hkl]||Z and [uvw]||X

Examples – Miller Indices

(3) Euler angle

Euler角(φ1, Φ, φ2)的物理意义:

第一次:绕Z轴(ND)转φ1 角

第二次:绕新的X轴(RD)转Φ角

第三次:绕新的Z轴(ND) 转φ2角

这时样品坐标轴和晶体坐标轴重合。

(4) Angle/Axis of Rotation

·w°<uvw>

·常用于表示取向差

·可由旋转矩阵G得到

86° <1-210> Mg合金中常见孪晶

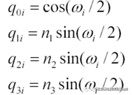
(5) Querternion

四元素法:(Q0,Q1,Q2,Q3),在计算晶粒的平均取向有用。

S取向的5种表示

取向表达的数学互换

取向的等价形式

对于立方晶体,每个取向有24种等价形式: (301, 36.7,26.7)=(123)[63-4]

1.2 织构的定义及表征

织构的定义:多晶体中晶粒取向的择优分布。

织构与取向的区别:多与单的关系。

织构决定材料性能的典型例子:取向硅钢的Goss织构控制,汽车深冲IF钢{111}织构控制,饮料罐用AA3104板材的制耳控制、高压阳极电容铝箔的Cube织构控制,超导带材的镍基带的Cube织构控制等等。

极图

极图:某一特定{hkl}晶面在样品坐标系下的极射赤面投影。主要用来描述板织构{hkl}<uvw>。

晶面法线投影到球上,在投影到赤道面上

两种投影方法:上半球投影法和等面积投影法。

反极图

反极图:样品坐标系在晶体坐标系中的投影。 一般描述丝织构。

先将样品坐标轴投影到球上,再投影到赤道面上

常用:上半球投影法和立体投影法。


取向分布函数图

(3)取向分布函数图ODF。用于精确表示织构。

织构的表示方法-例子

例如:铜型织构{111}<11-2>反极图

织构的等价形式

{hkl}<uvw>

晶体对称性:24种形式

样品对称性:4种 {hkl}<uvw>

{hk-l}<-u-vw>

{hlk}<uwv>

{hl-k}<-u-wv>

但对于特殊的织构:

Cube:1 重样品对称性,24种形式

Goss :1 重样品对称性,24种形式

Brass:2 重样品对称性,48种形式

S:4 重样品对称性,96种形式

Copper: 2 重样品对称性,48种形式

常见理想织构

再结晶织构:Cube

冷轧织构:Brass,S和Copper织构

拉伸织构:<111>和<100>//拉拔方向

冷墩织构:高层错能(Cu):<110>,低层错能(Cu-30%Zn)同时出现<111>

1.3 织构的检测方法

(1)X射线法、中子衍射法

(2)TEM及菊池花样分析技术(TEM/SAD/MBED/CBED)

(3)三维X射线显微分析技术

测量块状样品内部的晶体结构及取向

–用晶体衍射的方法

需要一个高能量的同步辐射X射线设备

–ESRF, Hamburg (德国汉堡)

对块状材料三维微观结构的完整表征

–10mm厚 铝样品

–2mm厚 样品

织构分析测试技术的比较

·X射线衍射、中子衍射:定量测定材料宏观织构

·SEM及电子背散射衍射(EBSD) :微观组织表征及微区晶体取向测定(空间分辨率可达到0.1μm)

·TEM及菊池衍射花样分析技术:微观组织表征及微区晶体取向测定(空间分辨率可达到30nm)

·三维同步辐射X射线显微分析:块状样品的晶体结构及取向的无损测定(3维空间分辨率2 x 2 x 2mm3 )

2. 工程材料的织构控制

2.1  第二代高温超导材料

要求:

高纯镍冷轧95%的织构

高纯镍退火后的再结晶织构

2.2 汽车覆盖件用IF钢

汽车用IF钢具有超深冲变形性,不但要求板材含碳量低,冶金质量好,而且要求板材的力学性能各向异性,即板材轧向和横向的变形抗力明显低于板法向的变形抗力。在工程中r值来表示,其值越大,深冲性越好。

从图上可以看出,板材的织构是影响r值的主要因素。板材的γ-纤维织构(<111>||ND,ND为轧面法线方向)越强,其深冲性能越好。

板材中的织构与r值有密切关系。大量研究表明,当板材多数晶粒{111}//轧面时可使板材的r值提高,而当板材多数晶粒的{100}//轧面时可使板材的r值降低。

IF钢生产工艺流程及组织示意图

生产的三个关键因素

IF钢的冷轧过程中织构的控制

相邻取向差分布基本接近完全再结晶的理想随机取向差分布曲线,表明试样完全再结晶。

冷轧30%时已形成一定量的γ纤维,而α纤维尚未完全形成。

冷变形50%时部分α纤维已形成,γ纤维继续增加。

冷变形70~80%时γ纤维显着增加,α纤维增加缓慢

冷变形90%时γ纤维中{111}<112>最强,α纤维中{001}<110>最强。

2.3 电工钢中的织构控制

低的铁损及强磁场下高的磁感应强度是硅钢十分重要的技术指标。由于硅铁单晶体的磁性是各向异性的,其中<100>方向是最易磁化方向。因此,工业上往往追求电工钢板内各晶粒的<100>方向尽可能平行于板面。

对于取向电工钢人们希望获得强的Goss{110} <001>织构,而对于无取向电工钢则希望得强的{100}<0vw>织构。

为了获得极强的{110}<001>织构,在加工过程中每一道工序中均应注意控制晶粒的组织结构和取向分布的状态。尤其是连铸和热轧工序对于最终{110}<001>织构的生成具有重要的影响。

{110}<001>织构初步形成于热轧之后,并在最终冷轧退火后的板材产品中占据了统治的地位。

冷轧取向电工钢的典型生产工艺

2.4 饮料罐用AA3104铝合金织构控制

AA3104铝合金特点

·Al-Mn-Mg系,具有强度高、耐蚀性好、良好的深冲和变薄拉深性能。

目前是世界上广泛使用的罐料用铝合金。

·要求:除满足一定的强度和塑性外,制耳率是一个主要技术指标。

生产的关键:

热轧产生的立方织构与随后冷轧织构(Brass,S和Copper)达到最优化,从而使制耳最小。

3. EBSD的原理及应用

材料微观分析的三要素:形貌、成分、晶体结构

成分:

化学分析、

扫描电镜中的能谱或电子探针、

透射电镜中的能谱、能量损失谱

晶体结构:

X-光衍射或中子衍射

扫描电镜中的EBSD

透射电镜中的电子衍射

什么是EBSD技术?

·Electron Back-ScatteredPattern

Electron Back-ScatteredDiffraction

电子背反射衍射技术简称EBSP或EBSD

·装配在SEM上使用,一种显微表征技术

·通过自动标定背散射衍射花样,测定大块样品表面(通常矩形区域内)的晶体微区取向

EBSD set up

EBSPs的产生条件

固体材料,且具有一定的微观结构特征——晶体

–电子束下无损坏变质

–金属、矿物、陶瓷

–导体、半导体、绝缘体

试样表面平整,无制样引入的应变层——10’s nm

足够强度的束流——0.5-10nA

高灵敏度CCD相机

样品倾斜至一定角度(~70度)

EBSPs 的产生原理

电子束轰击至样品表面

电子撞击晶体中原子产生散射,这些散射电子由于撞击的晶面类型(指数、原子密度)不同在某些特定角度产生衍射效应,在空间产生衍射圆锥。几乎所有晶面都会形成各自的衍射圆锥,并向空间无限发散

用荧光屏平面去截取这样一个个无限发散的衍射圆锥,就得到了一系列的菊池带。而截取菊池带的数量和宽度,与荧光屏大小和荧光屏距样品(衍射源)的远近有关

荧光屏获取的电子信号被后面的高灵敏度CCD相机采集转换并显示出来

典型的EBSP花样

不同晶体取向对应不同的菊池花样

通过分析EBSP花样我们可以反过来推出电子束照射点的晶体学取向

EBSD如何工作?

一个完整的标定过程

两种扫描方式

电子束扫描

·电子束移动,样品台不动

·操作简单,速度快。

·容易聚焦不准

样品台扫描

·电子束移动,样品台不动

·可以大面积扫描

·速度慢,步长1微米以上

扫描类型

·点扫描

单个点的取向信息。

·线扫描

得到一条线上的取向信息

·面扫描

可以得到取向成像图。

面扫描模式

EBSD数据信息

快速获得高质量的EBSD数据

·样品制备

金属材料:电解抛光后立即观察。

·电镜及软件设置

工作距离:越小越好。

探测距离:越近越好。

放大倍数:尽量大一些。

步长:所测试的特征(如晶粒直径)的1/10~1/5

·数据处理

EBSD有哪些具体分析功能:

微观组织结构(取向成像)

晶粒尺寸分析

织构分析

晶界特性分析

取向差分析

相鉴定及相分布

晶粒尺寸、形状分析

晶界特性分析

双相钢中相的分布

配合能谱数据进行未知相的鉴定

小   结

EBSD技术特点:

空间分辨率: approx. 10 nm

角度分辨率: 0.25 - 1°

标定速率: 0.01 - 1s / point

样品制备: 电解抛光,离子减薄,腐蚀等

EBSD技术优势:

一种物相鉴定的新方法

标准的微区织构分析方法

具有大样品区域统计的特点

与能谱结合,可集成分析显微形貌、成分和取向

4. EBSD数据处理演示

CHANNEL 5 软件介绍

CHANNEL 5

Flamenco – 数据采集与标定

Twist – 生成标定所需的晶体结构文件

Project Manager– 数据处理管理器

Tango – 取向成像图

Mambo – 极图

Salsa – 取向分布函数图(ODF)

常用取向成像图方法

All Euler – 全欧拉角

Band contrast– 花样质量图

Grain boudary – 晶界图

Inverse Pole figure-反极图成像图

全欧拉角取向图-All Euler

缺点:

(1)常常会遇到颜色不同但取向相同的场合,甚至会出现取 向突变的假象;

(2)不能够精细显示出晶粒内部的取向变化。

相邻取向差重构的取向图

方法:

(1) 选定取向差的基准值θcrit

(2) 判断每点与周围各点取向差,若> θcrit则画出晶界

(3) 将所有大于设定值的界线连接起来形成晶界。

直接反映了微观组织结构晶体取向差的变化情况

花样质量重构的取向图

反映了晶体的完整程度,衬度高表明晶体完整性好,反之,组织结构扭曲严重,其局部发生了塑性变形,以此间接反映微观组织结构。

数据演示 –FCC、BCC

取向成像图分析-Tango

极图及反极图

取向分布函数

— 相关书籍推荐

合金钢显微组织辨识

作者:刘宗昌 等

当当 广告
购买

航空材料EBSD技术

作者:陈忠伟、杨延清

当当 广告
购买

相关阅读:

【材料课堂】详解EBSD知识,收藏!

...............................................
来源:华人电子显微镜学会 北京赛亿科技有限公司来稿邮箱 mse_material@163.com

...............................................

点击阅读原文,加入讨论交流合作

登录查看更多
35

相关内容

CCS:ACM Conference on Computer and Communications Security。 Explanation:计算机和通信安全会议。 Publisher:ACM。 SIT:http://dblp.uni-trier.de/db/conf/ccs/
【硬核书】不完全信息决策理论,467页pdf
专知会员服务
365+阅读 · 2020年6月24日
Python地理数据处理,362页pdf,Geoprocessing with Python
专知会员服务
116+阅读 · 2020年5月24日
Python导论,476页pdf,现代Python计算
专知会员服务
264+阅读 · 2020年5月17日
【经典书】统计学习导论,434页pdf,斯坦福大学
专知会员服务
239+阅读 · 2020年4月29日
【干货书】数值计算C编程,319页pdf,Numerical C
专知会员服务
72+阅读 · 2020年4月7日
机器学习速查手册,135页pdf
专知会员服务
345+阅读 · 2020年3月15日
机器学习在材料科学中的应用综述,21页pdf
专知会员服务
50+阅读 · 2019年9月24日
【材料课堂】TEM复杂电子衍射花样的标定原理
材料科学与工程
39+阅读 · 2019年4月12日
深度学习线性代数简明教程
论智
11+阅读 · 2018年5月30日
入门 | 这是一份文科生都能看懂的线性代数简介
机器之心
14+阅读 · 2018年3月31日
干货 | 受限玻尔兹曼机基础教程
机器学习算法与Python学习
7+阅读 · 2018年3月27日
一文让你入门CNN,附3份深度学习视频资源
机器学习算法与Python学习
12+阅读 · 2018年3月10日
【机器视觉】整合:机器视觉基础知识汇总
产业智能官
8+阅读 · 2018年1月22日
【基础数学】- 01
遇见数学
20+阅读 · 2017年7月25日
Arxiv
35+阅读 · 2020年1月2日
Arxiv
26+阅读 · 2019年11月24日
Deep Learning for Energy Markets
Arxiv
10+阅读 · 2019年4月10日
Few-shot Learning: A Survey
Arxiv
363+阅读 · 2019年4月10日
VIP会员
相关VIP内容
【硬核书】不完全信息决策理论,467页pdf
专知会员服务
365+阅读 · 2020年6月24日
Python地理数据处理,362页pdf,Geoprocessing with Python
专知会员服务
116+阅读 · 2020年5月24日
Python导论,476页pdf,现代Python计算
专知会员服务
264+阅读 · 2020年5月17日
【经典书】统计学习导论,434页pdf,斯坦福大学
专知会员服务
239+阅读 · 2020年4月29日
【干货书】数值计算C编程,319页pdf,Numerical C
专知会员服务
72+阅读 · 2020年4月7日
机器学习速查手册,135页pdf
专知会员服务
345+阅读 · 2020年3月15日
机器学习在材料科学中的应用综述,21页pdf
专知会员服务
50+阅读 · 2019年9月24日
相关资讯
【材料课堂】TEM复杂电子衍射花样的标定原理
材料科学与工程
39+阅读 · 2019年4月12日
深度学习线性代数简明教程
论智
11+阅读 · 2018年5月30日
入门 | 这是一份文科生都能看懂的线性代数简介
机器之心
14+阅读 · 2018年3月31日
干货 | 受限玻尔兹曼机基础教程
机器学习算法与Python学习
7+阅读 · 2018年3月27日
一文让你入门CNN,附3份深度学习视频资源
机器学习算法与Python学习
12+阅读 · 2018年3月10日
【机器视觉】整合:机器视觉基础知识汇总
产业智能官
8+阅读 · 2018年1月22日
【基础数学】- 01
遇见数学
20+阅读 · 2017年7月25日
Top
微信扫码咨询专知VIP会员