微信公众号文章质量评分算法详解

2020 年 8 月 25 日 凡人机器学习

作为一个多年的微信公众号作者,了解微信公众号文章打分的机制是十分有必要的。微信在后台其实有一整套的打分机制,今天基于腾讯的这篇Paper《Cognitive Representation Learning of Self-Media Online Ariticle Quality》为大家介绍下文章质量打分背后的算法理论。


在这篇paper中其实重点分享了两个方面,一方面是文章质量分的深度学习模型设计方法,另一方面是训练数据的构造法。


1
文章质量分模型架构设计方法

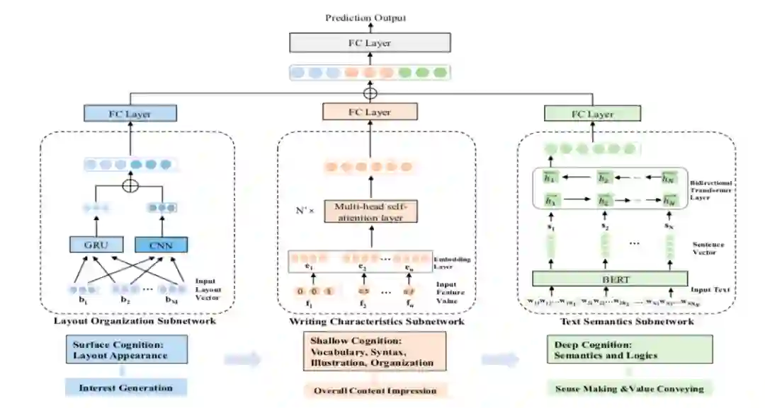
整个模型的设计分为两层,第一层是蓝、粉、绿这三个模块,作为基础的文章质量embedding生成层。第二层是最上方的FC Layer全连接层,这一层主要是做评分。


论文里把上面这个网络架构叫做CoQAN,文章质量分的训练模式被当成了二分类问题。


在模型设计上分为三个独立的模块(Subnetwork),分别是:

  • Layout Organization Subnetwork:布局结构判断网络,用来生成布局相关的评分

  • Writing Characteristics Subnetwork:写作风格判断网络,用来评估文章的写作风格

  • Text Semantics Subnetwork:语意深度判断网络,用来评估文章内容的质量


(1)Layout Organization Subnetwork


在布局评估网络中,主要通过循环网络算法GRU去判断图片、文本、视频的布局结构。 

每段文章或者视频或者图片叫做一个block,GRU算法用来表述上下block结构pattern,用CNN表述block内部的布局。然后GRU和CNN综合起来


(2)Writing Characteristics Subnetwork


这个网络主要解决的是如何评估文章的协作风格,更多的是NLP方面的一些特征的挖掘,比如标题长度、核心词的个数、文章长度、n-gram、图片和文章的比例、图片数量、文章数量等。


然后利用one-hot编码就可以得到原始特征,然后还可以用一些特征交叉去生成一些交叉特征。


(3)Text Semantics Subnetwork


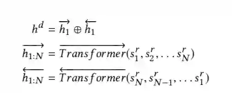
语意理解模型,通过优化bert模型形成hi-bert模型。hi-bert模型可以挖掘句子和词之间语意关系,找到主题和文章的语意深度。



2
文章质量分模型训练数据


上文介绍了文章评分模型的结构,在Paper的结尾片段还介绍了训练数据的构建方式。文章质量分训练可以看作是一个二分类问题,所以需要选择正样本和负样本。


正样本的标准是高等级的账号发表,具备比较高的喜欢、分享次数,不符合标准的被作为负样本。最终Paper中的模型训练使用了22054篇文章作为正样本,16194篇文章作为负样本。


最终在与其它文章质量分模型的比较中,CoQAN取得了比较好的结果:

登录查看更多
2

相关内容

专知会员服务
50+阅读 · 2020年6月14日
深度学习自然语言处理概述,216页ppt,Jindřich Helcl
专知会员服务
216+阅读 · 2020年4月26日
【推荐系统/计算广告/机器学习/CTR预估资料汇总】
专知会员服务
88+阅读 · 2019年10月21日
详解 | 推荐系统的工程实现
AI100
42+阅读 · 2019年3月15日
干货 | 用 Keras 实现图书推荐系统
AI科技评论
11+阅读 · 2018年12月15日
【推荐系统】详解基于内容的推荐算法
产业智能官
23+阅读 · 2018年1月11日
爱奇艺个性化推荐排序实践
机器学习研究会
7+阅读 · 2017年11月12日
Arxiv
12+阅读 · 2020年6月20日
An Analysis of Object Embeddings for Image Retrieval
Arxiv
4+阅读 · 2019年5月28日
VIP会员
相关VIP内容
专知会员服务
50+阅读 · 2020年6月14日
深度学习自然语言处理概述,216页ppt,Jindřich Helcl
专知会员服务
216+阅读 · 2020年4月26日
【推荐系统/计算广告/机器学习/CTR预估资料汇总】
专知会员服务
88+阅读 · 2019年10月21日
相关资讯
详解 | 推荐系统的工程实现
AI100
42+阅读 · 2019年3月15日
干货 | 用 Keras 实现图书推荐系统
AI科技评论
11+阅读 · 2018年12月15日
【推荐系统】详解基于内容的推荐算法
产业智能官
23+阅读 · 2018年1月11日
爱奇艺个性化推荐排序实践
机器学习研究会
7+阅读 · 2017年11月12日
Top
微信扫码咨询专知VIP会员