基于对抗学习的隐私保护推荐算法

2022 年 7 月 26 日 机器学习与推荐算法
嘿,记得给“机器学习与推荐算法”添加星标

协同过滤算法除了捕捉用户潜在的消费模式外,还会学习用户特定的人口统计学特征或受保护信息等特征,如性别、种族和地理位置位置。这些偏见(Bias)信息会进一步影响推荐系统(RS)的决策,使得推荐算法会提供给不同用户子群的内容进一步分离,这将引起对用户受保护属性泄露的隐私问题。通过观察下图,可以发现基本的推荐算法(MultVAE)存在性别上的偏差,使得攻击者可以很容易的识别这种模式并进行敏感属性的推测。

在这项工作中,本文研究了在保持推荐算法有效性的同时,将用户的特定保护信息从学习的交互表征中移除的可能性和挑战。具体来说,本文将对抗训练纳入到变分自编码器MultVAE架构中,从而形成了一个新的模型——基于对抗训练的多项式自编码器模型(Adv-MultVAE),其目的是去除受保护属性的隐性信息,同时保持推荐性能。通过在两个数据集上进行实验来评估偏见缓解方法的有效性。结果表明,Adv-MultVAE虽然在性能上略有下降(在NDCG和召回率方面),但在很大程度上缓解了模型的内在偏差。

更多关于对抗学习在推荐系统中的应用可以阅读我之前总结的文章:推荐系统中的对抗机器学习技术总结

论文: https://arxiv.org/pdf/2206.04500.pdf

代码:https://github.com/CPJKU/adv-multvae

本文发表在SIGIR2022会议上,其基本算法框架如下图所示,包含一个具体的推荐算法 和一个敏感属性预测器 。其中,推荐算法 在本文中为多项式似然的变分自编码器MultVAE,而敏感属性预测器 则为一个对抗网络,旨在从潜在向量 中预测用户的受保护属性。

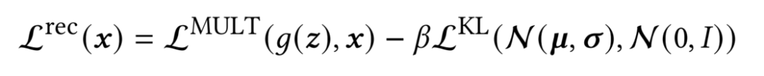
本文的训练过程旨在从中间特征中删除受保护属性的信息,同时并保持推荐性能。为此,模型的损失函数被定义为以下最小-最大博弈问题:

其中,对抗网络的损失函数 被定义为交叉熵损失,因为其本质是一个分类任务,即预测敏感属性的类别;推荐任务的损失函数 则被定义为下式:

其中, 为输入的重构损失,比如平方损失, 为正则项用来保证编码器的分布与先验尽可能的接近。

对于本文的损失函数直观的理解是在保证推荐性能的基础上,尽可能的减少中间变量z中所携带的敏感信息。

考虑到众所周知的优化min-max损失函数的复杂性,受前人工作的启发,本文在对抗网络 和中间变量 之间添加了一个梯度反转层 。在训练过程中, 在前向传播中充当恒等函数,而在反向传播中,它将计算出的梯度缩放为 在推理时对模型没有任何影响。本文把参数𝜆称为梯度反转缩放。通过在模型中采用 ,模型的整体损失就可以被重新表述为标准的风险最小化的基本设置,因此可以达到快速收敛的目的。

该公式就能够通过标准的基于梯度的优化算法来优化模型。关于梯度反转层GRL的Pytorch代码如下,在前向传播过程中保持原值不变,在反向传播的过程中乘上了梯度缩放系数

from torch.autograd import Function

class GRL_(Function):
    """
    Gradient reversal functional
    Unsupervised Domain Adaptation by Backpropagation - Yaroslav Ganin, Victor Lempitsky
    https://arxiv.org/abs/1409.7495
    """


    @staticmethod
    def forward(ctx, input, grad_scaling):
        ctx.grad_scaling = grad_scaling
        return input

    @staticmethod
    def backward(ctx, grad_output):
        # need to return a gradient for each input parameter of the forward() function
        # for parameters that don't require a gradient, we have to return None
        # see https://stackoverflow.com/a/59053469
        return -ctx.grad_scaling * grad_output, None
关于本文的细节和实验结果可阅读原论文。

欢迎干货投稿 \ 论文宣传 \ 合作交流

推荐阅读

KDD2022推荐系统论文集锦(附pdf下载)
最新综述 | 图数据挖掘中的算法公平性
推荐系统相关资源介绍
论文周报 | 推荐系统领域最新研究进展
深度剖析 | 因果强化学习在交互式推荐的前沿探索

由于公众号试行乱序推送,您可能不再准时收到机器学习与推荐算法的推送。为了第一时间收到本号的干货内容, 请将本号设为星标,以及常点文末右下角的“在看”。

喜欢的话点个在看吧👇
登录查看更多
0

相关内容

对抗学习是一种机器学习技术,旨在通过提供欺骗性输入来欺骗模型。最常见的原因是导致机器学习模型出现故障。大多数机器学习技术旨在处理特定的问题集,其中从相同的统计分布(IID)生成训练和测试数据。当这些模型应用于现实世界时,对手可能会提供违反该统计假设的数据。可以安排此数据来利用特定漏洞并破坏结果。
「机器学习中差分隐私」最新2022进展综述
专知会员服务
53+阅读 · 2022年9月9日
【WWW2022】用于分布外推荐的因果表征学习
专知会员服务
20+阅读 · 2022年5月11日
对话推荐算法研究综述
专知会员服务
37+阅读 · 2022年4月4日
「联邦学习隐私保护 」最新2022研究综述
专知会员服务
117+阅读 · 2022年4月1日
WSDM'22「京东」个性化会话推荐:异构全局图神经网络
专知会员服务
23+阅读 · 2022年1月7日
鲁棒和隐私保护的协同学习
专知会员服务
38+阅读 · 2021年12月22日
【博士论文】推荐系统多行为建模与隐私保护研究
专知会员服务
53+阅读 · 2021年11月27日
【WWW2021】场矩阵分解机推荐系统
专知会员服务
33+阅读 · 2021年2月27日
【中国人民大学】机器学习的隐私保护研究综述
专知会员服务
133+阅读 · 2020年3月25日
专知会员服务
88+阅读 · 2020年1月20日
SIGIR2022 | 推荐算法之对比学习篇
机器学习与推荐算法
7+阅读 · 2022年7月21日
SIGIR2022 | 基于行为融合的冷启动推荐算法
机器学习与推荐算法
2+阅读 · 2022年7月19日
SIGIR2022 | 基于森林的深度推荐算法
机器学习与推荐算法
0+阅读 · 2022年7月18日
SIGIR2022 | 基于Prompt的用户自选公平性推荐算法
机器学习与推荐算法
1+阅读 · 2022年5月25日
WWW2022 | 基于交叉成对排序的无偏推荐算法
机器学习与推荐算法
0+阅读 · 2022年4月20日
《鲁棒和隐私保护的协同学习》综述论文
专知
4+阅读 · 2021年12月22日
基于区块链技术的推荐算法综述
机器学习与推荐算法
2+阅读 · 2021年12月1日
MM2020 | 基于对抗学习的个性化标签推荐
机器学习与推荐算法
0+阅读 · 2021年10月18日
基于对比学习的推荐算法总结
机器学习与推荐算法
1+阅读 · 2021年9月16日
国家自然科学基金
2+阅读 · 2017年12月31日
国家自然科学基金
1+阅读 · 2015年12月31日
国家自然科学基金
1+阅读 · 2014年12月31日
国家自然科学基金
3+阅读 · 2014年12月31日
国家自然科学基金
0+阅读 · 2013年12月31日
国家自然科学基金
2+阅读 · 2013年12月31日
国家自然科学基金
4+阅读 · 2013年12月31日
国家自然科学基金
0+阅读 · 2013年12月31日
国家自然科学基金
0+阅读 · 2010年12月31日
国家自然科学基金
5+阅读 · 2008年12月31日
Arxiv
0+阅读 · 2022年9月16日
Arxiv
0+阅读 · 2022年9月15日
Cold-start Sequential Recommendation via Meta Learner
Arxiv
15+阅读 · 2020年12月10日
已删除
Arxiv
32+阅读 · 2020年3月23日
A Modern Introduction to Online Learning
Arxiv
21+阅读 · 2019年12月31日
Arxiv
14+阅读 · 2018年4月18日
VIP会员
相关VIP内容
「机器学习中差分隐私」最新2022进展综述
专知会员服务
53+阅读 · 2022年9月9日
【WWW2022】用于分布外推荐的因果表征学习
专知会员服务
20+阅读 · 2022年5月11日
对话推荐算法研究综述
专知会员服务
37+阅读 · 2022年4月4日
「联邦学习隐私保护 」最新2022研究综述
专知会员服务
117+阅读 · 2022年4月1日
WSDM'22「京东」个性化会话推荐:异构全局图神经网络
专知会员服务
23+阅读 · 2022年1月7日
鲁棒和隐私保护的协同学习
专知会员服务
38+阅读 · 2021年12月22日
【博士论文】推荐系统多行为建模与隐私保护研究
专知会员服务
53+阅读 · 2021年11月27日
【WWW2021】场矩阵分解机推荐系统
专知会员服务
33+阅读 · 2021年2月27日
【中国人民大学】机器学习的隐私保护研究综述
专知会员服务
133+阅读 · 2020年3月25日
专知会员服务
88+阅读 · 2020年1月20日
相关资讯
SIGIR2022 | 推荐算法之对比学习篇
机器学习与推荐算法
7+阅读 · 2022年7月21日
SIGIR2022 | 基于行为融合的冷启动推荐算法
机器学习与推荐算法
2+阅读 · 2022年7月19日
SIGIR2022 | 基于森林的深度推荐算法
机器学习与推荐算法
0+阅读 · 2022年7月18日
SIGIR2022 | 基于Prompt的用户自选公平性推荐算法
机器学习与推荐算法
1+阅读 · 2022年5月25日
WWW2022 | 基于交叉成对排序的无偏推荐算法
机器学习与推荐算法
0+阅读 · 2022年4月20日
《鲁棒和隐私保护的协同学习》综述论文
专知
4+阅读 · 2021年12月22日
基于区块链技术的推荐算法综述
机器学习与推荐算法
2+阅读 · 2021年12月1日
MM2020 | 基于对抗学习的个性化标签推荐
机器学习与推荐算法
0+阅读 · 2021年10月18日
基于对比学习的推荐算法总结
机器学习与推荐算法
1+阅读 · 2021年9月16日
相关基金
国家自然科学基金
2+阅读 · 2017年12月31日
国家自然科学基金
1+阅读 · 2015年12月31日
国家自然科学基金
1+阅读 · 2014年12月31日
国家自然科学基金
3+阅读 · 2014年12月31日
国家自然科学基金
0+阅读 · 2013年12月31日
国家自然科学基金
2+阅读 · 2013年12月31日
国家自然科学基金
4+阅读 · 2013年12月31日
国家自然科学基金
0+阅读 · 2013年12月31日
国家自然科学基金
0+阅读 · 2010年12月31日
国家自然科学基金
5+阅读 · 2008年12月31日
相关论文
Arxiv
0+阅读 · 2022年9月16日
Arxiv
0+阅读 · 2022年9月15日
Cold-start Sequential Recommendation via Meta Learner
Arxiv
15+阅读 · 2020年12月10日
已删除
Arxiv
32+阅读 · 2020年3月23日
A Modern Introduction to Online Learning
Arxiv
21+阅读 · 2019年12月31日
Arxiv
14+阅读 · 2018年4月18日
Top
微信扫码咨询专知VIP会员