论文浅尝 | SPARQL 语言的 ASK 查询表达性研究进展

2019 年 11 月 20 日 开放知识图谱

论文作者之一:杨炫兴,天津大学博士生


链接:http://cic.tju.edu.cn/faculty/zhangxiaowang/publication/ASK.pdf


动机

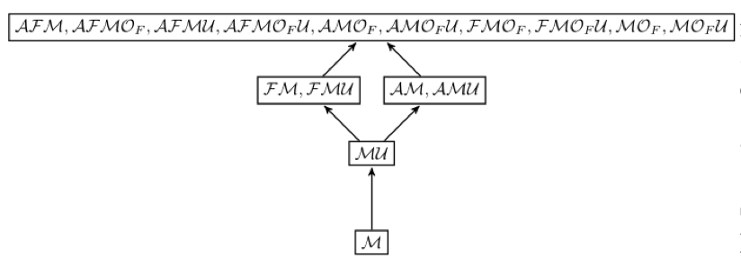
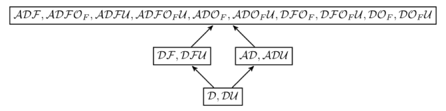
SPARQL是万维网联盟(World Wide Web Consortium简记W3C)推荐的知识图谱标准查询语言,其包含四类查询:SELECTCONSTRUCTASKDESCRIBE。与一般SELECT查询返回解不同,ASK查询返回布尔值(真或假)。自从2008115日,万维网联盟W3C 首次发布SPARQL1.02013年进一步发布SPARQL1.1,以SELECT为代表的SPARQL基础理论取得较大进展。近年来,牛津大学开始研究CONSTRUCT并取得一些进展。然而,归咎于ASK基础理论刻画SPARQL的复杂问题,目前鲜有ASK基础理论研究工作。这项工作开始尝试研究ASK查询的表达能力(即,布尔表达性),并对SPARQL1.0标准的核心语言(由四个构子ANDOPT_FUNIONFILTER构成的语言)以及这些子语言与SPARQL1.1标准中三类否定构子(Negation):DIFF_FDIFFMINUS结合的子语言,共计64个子语言,给出了其完整的表达关系哈斯图(Hasse Diagram)。相比SELECT查询表达性,ASK查询刻画的是子语言之间更细微的表达差异性。这项工作研究结果将有助于为SELECT查询提供优化理论基础,进一步完善SPARQL理论体系是官方提出的为RDF数据定制的查询语言。


亮点

本文的主要贡献可以概括为以下四点:

(1)分析并刻画了所有涉及SPARQL1.0算(ANDUNIONOPT_FFILTER)的共16个子语言之间的表达关系哈斯图。

(2)分析并刻画了(1)中的16个子语言在引入MINUS算子后的表达关系哈斯图。

(3)   分析并刻画了(1)中的16个子语言在引入DIFF算子后的表达关系哈斯图。


背景知识

  • SPARQL 算子语义简介

SPARQL查询的语义通过映射集合(Mapping Set)来体现:一条三元组模式(triple pattern)在一个给定的RDF图上的语义为,一个包含所有能够“将该三元组模式匹配到该RDF图上(某条三元组)”的映射(mapping)的集合。

不同算子的语义代表了映射集合之间不同的二元操作,我们这里仅做直观的介绍,具体的形式化定义请参考论文。

(1)AND 算子代表“连接”的语义:(P1 AND P2)返回的是一个包含所有“同时将 P1 P2 匹配到图上(某个子图)”的映射的集合。

(2)UNION 算子代表“联合”的语义,(P1 UNION P2)返回一个包含所有“将 P1 P2 匹配到图上(某个子图)”的映射的集合。

(3)DIFF算子代表“减法”的语义,(P1 DIFF P2)返回一个包含所有“将P1匹配到图上(某个子图),且不能扩展为将 P2 匹配到图上(某个子图)”的映射的集合。

(4)MINUS算子的语义与DIFF相似。区别在于当 P1 P2 之间没有共享变量时,P1 DIFF P2 返回的是空集(此时 P2 非空,而因为没有共享变量不会产生冲突,任意P1中的映射都可扩展为 P2 中的映射)或 P1(此时 P2 为空集);而(P1 MINUS P2)返回的永远是 P1

(5)OPT 算子则是 AND 算子和DIFF的复合算子,(P1 OPT P2)= ((P1 AND P2) UNION (P1 DIFF P2))

注:SPARQL标准支持OPT_FDIFF_F,即允许FILTER内嵌到OPTDIFF_F中。为了简洁阐述它们语义,我们还是以OPTDIFF为例来介绍。

 

下面我们通过简单例子来展示不同算子的语义:

  • ASK查询与SELECT查询的区别

对于一个给定的查询(即图模式,graph pattern),SELECT查询返回的是一个包含所有将该图模式匹配到图上的映射的集合,ASK则返回的该映射集合是否为空的真值(True/False)。

两个查询PQSELECT查询中等价当且仅当:对于任何查询图,PQ在该图上的SELECT查询返回相同的映射集合。而两个查询PQASK查询中等价当且仅当:对于任何查询图,PQ在该图上的ASK查询返回相同的真值。因此两个查询PQSELECT查询中等价可以推导出其在ASK查询中也等价,反之则不一定成立。

  • ASK查询的表达性问题的定义

对于任意两个子语言W1W2,我们称W1可被W2表达当且仅当:给定W1中任意的查询PW2中都可找到一个查询Q,使得PQASK查询中等价。


理论分析

我们通过分析不同算子能够识别的图模式的特征,并以此为依据来判断64个子语言之间的可表达关系是否成立。

 

1.     AND只能被含有OPTASK查询表达

ASK查询中,AND仅能被包含OPT构子的查询表达,这一点与SELECT查询一样。证明利用AND能表达圈性质,即一个图是否含有圈。换言之,非ANDOPTASK查询无法表达圈性质。

 

2.     含有OPTASK查询与含有ANDASK查询之间可表达关系复杂

如果允许FILTER,那么含有OPTASK查询能够表达含有ANDASK查询;反之,如果不允许,那么含有ANDASK查询能够表达含有OPTASK查询。意外的是,含有OPTASK查询与含有ANDASK查询不总是相互可表达。


3.     FILTER不可被非DIFF_F或非OPT_FASK查询

FILTER包含对约束条件进行查询限制性,是不含有DIFF_FOPT_FASK查询所表达。证明利用了非DIFF_F或非OPT_FASK查询无法识别完整的RDF图,然而FILTER可以利用不等词约束条件可以识别。

 

4.     UNION在非MINUSASK查询中是冗余的

UNION刻画ASK查询的非确定性。在ASK查询下,UNION不确定性能被OPTFILTER中的弱不确定性表达。证明分别利用了逻辑德·摩根定律思想与DIFF吸收定律和FILTER的析取逻辑关系来表达UNION。然而,MINUS相比DIFF太弱不足以表达UNION


5.     DIFF_F只能被含有DIFFFILTERASK查询表达

DIFF_F的语义构造来看,DIFF_F同时含有DIFFFILTER的语义特征。在ASK查询,DIFF_F的语义仍然具有重要特性。而且DIFF_FAND结合能够表达整个本文研究SPARQL 1.1的核心子语言。从这个意义看,DIFF_F具有非常强大的表达性。除了AND,其它构子都能表示。DIFF相比DIFF_F来说,不能表达FILTER语义,因此ASK查询表达能力也降低很多。幸运地是,DIFF具有DIFF_F除了FILTER之外所有的表达能力,因此比MINUS具有较强的ASK查询表达能力。

 

6.     MINUS可以被任何否定ASK查询表达

ASK查询中,MINUS描述的最弱的否定ASK查询。W3C仍然作为SPARQL1.1标准推荐,笔者觉得考虑工程实际需要。因为MINUS的语义逻辑性有所欠缺。在本项工作中,准确地给出了MINUSDIFF差异之处(UNION查询)。两者之间差异的发现有助于工程师在实际应用中,能够准确使用。


总结

本文通过分析6SPARQL算子在ASK查询中的表达性,刻画出了所有包含这六个算子的子语言之间的表达关系哈斯图。在ASK查询中,DIFFANDFILTER算子分别代表了分隔图(isolated graph),整体连通和查询图(同构层面上的)形状这三个彼此不相交的性质。这些新发现的性质对于SPARQL的查询的发现新优化方法提供了思路。



 

OpenKG


开放知识图谱(简称 OpenKG)旨在促进中文知识图谱数据的开放与互联,促进知识图谱和语义技术的普及和广泛应用。

点击阅读原文,进入 OpenKG 博客。

登录查看更多
1

相关内容

SPARQL(读作“sparkle”,SPARQL协议和RDF查询语言的首字母缩写)是一种RDF查询语言,也就是说,它是一种语义查询语言,用于数据库检索和操作以资源描述框架(RDF)格式存储的数据。
【人大】大规模知识图谱补全技术的研究进展
专知会员服务
87+阅读 · 2020年5月2日
【AAAI2020知识图谱论文概述】Knowledge Graphs @ AAAI 2020
专知会员服务
134+阅读 · 2020年2月13日
17篇知识图谱Knowledge Graphs论文 @AAAI2020
专知会员服务
172+阅读 · 2020年2月13日
论文浅尝 | 基于复杂查询图编码的知识库问答
开放知识图谱
17+阅读 · 2019年7月22日
论文浅尝 | 一种用于多关系问答的可解释推理网络
开放知识图谱
18+阅读 · 2019年5月21日
论文浅尝 | 基于知识库的自然语言理解 04#
开放知识图谱
14+阅读 · 2019年3月14日
论文浅尝 | 基于知识库的自然语言理解 02#
开放知识图谱
8+阅读 · 2019年2月24日
论文浅尝 | 知识图谱相关实体搜索
开放知识图谱
14+阅读 · 2018年12月18日
论文浅尝 | 基于知识图谱子图匹配以回答自然语言问题
开放知识图谱
26+阅读 · 2018年6月26日
论文浅尝 | 基于知识图谱的子图匹配回答自然语言问题
开放知识图谱
27+阅读 · 2018年5月17日
论文浅尝 | 基于Freebase的问答研究
开放知识图谱
5+阅读 · 2018年3月26日
论文浅尝 | 基于神经网络的知识推理
开放知识图谱
14+阅读 · 2018年3月12日
论文浅尝 | Question Answering over Freebase
开放知识图谱
19+阅读 · 2018年1月9日
Arxiv
12+阅读 · 2019年2月26日
Arxiv
15+阅读 · 2018年4月5日
VIP会员
相关资讯
论文浅尝 | 基于复杂查询图编码的知识库问答
开放知识图谱
17+阅读 · 2019年7月22日
论文浅尝 | 一种用于多关系问答的可解释推理网络
开放知识图谱
18+阅读 · 2019年5月21日
论文浅尝 | 基于知识库的自然语言理解 04#
开放知识图谱
14+阅读 · 2019年3月14日
论文浅尝 | 基于知识库的自然语言理解 02#
开放知识图谱
8+阅读 · 2019年2月24日
论文浅尝 | 知识图谱相关实体搜索
开放知识图谱
14+阅读 · 2018年12月18日
论文浅尝 | 基于知识图谱子图匹配以回答自然语言问题
开放知识图谱
26+阅读 · 2018年6月26日
论文浅尝 | 基于知识图谱的子图匹配回答自然语言问题
开放知识图谱
27+阅读 · 2018年5月17日
论文浅尝 | 基于Freebase的问答研究
开放知识图谱
5+阅读 · 2018年3月26日
论文浅尝 | 基于神经网络的知识推理
开放知识图谱
14+阅读 · 2018年3月12日
论文浅尝 | Question Answering over Freebase
开放知识图谱
19+阅读 · 2018年1月9日
Top
微信扫码咨询专知VIP会员