Attention模型方法综述 | 多篇经典论文解读

2018 年 6 月 11 日 PaperWeekly


本文基于几篇经典的论文,对 Attention 模型的不同结构进行分析、拆解。


先简单谈一谈 attention 模型的引入。以基于 seq2seq 模型的机器翻译为例,如果 decoder 只用 encoder 最后一个时刻输出的 hidden state,可能会有两个问题(我个人的理解)。


1. encoder 最后一个 hidden state,与句子末端词汇的关联较大,难以保留句子起始部分的信息;


2. encoder 按顺序依次接受输入,可以认为 encoder 产出的 hidden state 包含有词序信息。所以一定程度上 decoder 的翻译也基本上沿着原始句子的顺序依次进行,但实际中翻译却未必如此,以下是一个翻译的例子:


英文原句:space and oceans are the new world which scientists are trying to explore.


翻译结果:空间和海洋是科学家试图探索的新世界。 


词汇对照如下:



可以看到,翻译的过程并不总是沿着原句从左至右依次进行翻译,例如上面例子的定语从句。 


为了一定程度上解决以上的问题,14 年的一篇文章 Sequence to Sequence Learning with Neural Networks 提出了一个有意思的 trick,即在模型训练的过程中将原始句子进行反转,取得了一定的效果。 


为了更好地解决问题,attention 模型开始得到广泛重视和应用。 


下面进入正题,进行对 attention 的介绍。


Show, Attend and Tell



■ 论文 | Show, Attend and Tell: Neural Image Caption Generation with Visual Attention

■ 链接 | https://www.paperweekly.site/papers/812

■ 源码 | https://github.com/kelvinxu/arctic-captions


文章讨论的场景是图像描述生成(Image Caption Generation),对于这种场景,先放一张图,感受一下 attention 的框架。



文章提出了两种 attention 模式,即 hard attention 和 soft attention,来感受一下这两种 attention。



可以看到,hard attention 会专注于很小的区域,而 soft attention 的注意力相对发散。模型的 encoder 利用 CNN (VGG net),提取出图像的 L 个 D 维的向量,每个向量表示图像的一部分信息。


decoder 是一个 LSTM,每个 timestep t 的输入包含三个部分,即 context vector Zt 、前一个 timestep 的 hidden state、前一个 timestep 的 output。 Zt 由 {ai} 和权重 {αti} 通过加权得到。这里的权重 αti 通过attention模型 fatt 来计算得到,而本文中的 fatt 是一个多层感知机(multilayer perceptron)。



从而可以计算。接下来文章重点讨论 hard(也叫 stochastic attention)和 soft(也叫 deterministic)两种 attention 模式。


1. Stochastic “Hard” Attention 


记 St 为 decoder 第 t 个时刻的 attention 所关注的位置编号, Sti 表示第 t 时刻 attention 是否关注位置 i , Sti 服从多元伯努利分布(multinoulli distribution), 对于任意的 t ,Sti,i=1,2,...,L 中有且只有取 1,其余全部为 0,所以 [St1,St2,...,stL] 是 one-hot 形式。这种 attention 每次只 focus 一个位置的做法,就是“hard”称谓的来源。 Zt 也就被视为一个变量,计算如下:



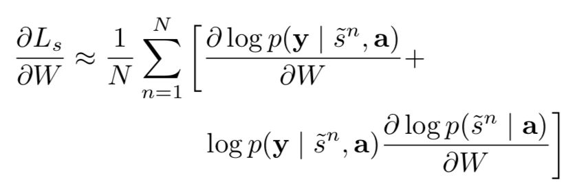
问题是 αti 怎么算呢?把 αti 视为隐变量,研究模型的目标函数,进而研究目标函数对参数的梯度。直观理解,模型要根据 a=(a1,...,aL) 来生成序列 y=(y1,...,yC) ,所以目标可以是最大化 log p(y|a) ,但这里没有显式的包含 s ,所以作者利用著名的 Jensen 不等式(Jensen's inequality)对目标函数做了转化,得到了目标函数的一个 lower bound,如下:



这里的 s ={ s1,...,sC },是时间轴上的重点 focus 的序列,理论上这种序列共有个。 然后就用 log p(y|a) 代替原始的目标函数,对模型的参数 W 算 gradient。



然后利用蒙特卡洛方法对 s 进行抽样,我们做 N 次这样的抽样实验,记每次取到的序列是,易知的概率为所以上面的求 gradient 的结果即为:



接下来的一些细节涉及reinforcement learning,感兴趣的同学可以去看这篇 paper。


2. Deterministic “Soft” Attention 


说完“硬”的 attention,再来说说“软”的 attention。 相对来说 soft attention 很好理解,在 hard attention 里面,每个时刻 t 模型的序列 [ St1,...,StL ] 只有一个取 1,其余全部为 0,也就是说每次只 focus 一个位置,而 soft attention 每次会照顾到全部的位置,只是不同位置的权重不同罢了。这时 Zt 即为 ai 的加权求和:



这样 soft attention 是光滑的且可微的(即目标函数,也就是 LSTM 的目标函数对权重 αti 是可微的,原因很简单,因为目标函数对 Zt 可微,而 Zt 对 αti 可微,根据 chain rule 可得目标函数对 αti 可微)。


文章还对这种 soft attention 做了微调:



其中,用来调节 context vector 在 LSTM 中的比重(相对于的比重)。


btw,模型的 loss function 加入了 αti 的正则项。



Attention-based NMT



■ 论文 | Effective Approaches to Attention-based Neural Machine Translation

■ 链接 | https://www.paperweekly.site/papers/806

■ 源码 | https://github.com/lmthang/nmt.matlab


文章提出了两种 attention 的改进版本,即 global attention 和 local attention。先感受一下 global attention 和 local attention 长什么样子。


 Global Attention

 Local Attention


文章指出,local attention 可以视为 hard attention 和 soft attention 的混合体(优势上的混合),因为它的计算复杂度要低于 global attention、soft attention,而且与 hard attention 不同的是,local attention 几乎处处可微,易与训练。 文章以机器翻译为场景, x1,...,xn 为 source sentence, y1,...,ym 为 target sentence, c1,...,cm 为 encoder 产生的 context vector,objective function 为:



Ct 来源于 encoder 中多个 source position 所产生的 hidden states,global attention 和 local attention 的主要区别在于 attention 所 forcus 的 source positions 数目的不同:如果 attention forcus 全部的 position,则是 global attention,反之,若只 focus 一部分 position,则为 local attention。 


由此可见,这里的 global attention、local attention 和 soft attention 并无本质上的区别,两篇 paper 模型的差别只是在 LSTM 结构上有微小的差别。 


在 decoder 的时刻 t ,在利用 global attention 或 local attention 得到 context vector Ct 之后,结合 ht ,对二者做 concatenate 操作,得到 attention hidden state。



最后利用 softmax 产出该时刻的输出:



下面重点介绍 global attention、local attention。


1. global attention 


global attention 在计算 context vector ct 的时候会考虑 encoder 所产生的全部hidden state。记 decoder 时刻 t 的 target hidden为 ht,encoder 的全部 hidden state 为,对于其中任意,其权重 αts 为:



而其中的,文章给出了四种种计算方法(文章称为 alignment function):



四种方法都比较直观、简单。在得到这些权重后, ct 的计算是很自然的,即为的 weighted summation。


2. local attention 


global attention 可能的缺点在于每次都要扫描全部的 source hidden state,计算开销较大,对于长句翻译不利,为了提升效率,提出 local attention,每次只 focus 一小部分的 source position。 


这里,context vector ct 的计算只 focus 窗口 [pt-D,pt+D] 内的 2D+1 个source hidden states(若发生越界,则忽略界外的 source hidden states)。


其中 pt 是一个 source position index,可以理解为 attention 的“焦点”,作为模型的参数, D 根据经验来选择(文章选用 10)。 关于 pt 的计算,文章给出了两种计算方案:


  • Monotonic alignment (local-m)



  • Predictive alignment (local-p)



其中 Wp 和 vp 是模型的参数, S 是 source sentence 的长度,易知 pt∈[0,S] 。 权重 αt(s) 的计算如下:



可以看出,距离中心 pt 越远的位置,其位置上的 source hidden state 对应的权重就会被压缩地越厉害。


Jointly Learning



■ 论文 | Neural Machine Translation by Jointly Learning to Align and Translate

■ 链接 | https://www.paperweekly.site/papers/434

■ 源码 | https://github.com/spro/torch-seq2seq-attention


这篇文章没有使用新的 attention 结构,其 attention 就是 soft attention 的形式。文章给出了一些 attention 的可视化效果图。



上面 4 幅图中,x 轴代表原始英文句子,y 轴代表翻译为法文的结果。每个像素代表的是纵轴的相应位置的 target hidden state 与横轴相应位置的 source hidden state 计算得到的权重 αij,权重越大,对应的像素点越亮。可以看到,亮斑基本处在对角线上,符合预期,毕竟翻译的过程基本是沿着原始句子从左至右依次进行翻译。


Attention Is All You Need



■ 论文 | Attention Is All You Need

■ 链接 | https://www.paperweekly.site/papers/224

■ 源码 | https://github.com/Kyubyong/transformer



■ 论文 | Weighted Transformer Network for Machine Translation

■ 链接 | https://www.paperweekly.site/papers/2013

■ 源码 | https://github.com/JayParks/transformer


作者首先指出,结合了 RNN(及其变体)和注意力机制的模型在序列建模领域取得了不错的成绩,但由于 RNN 的循环特性导致其不利于并行计算,所以模型的训练时间往往较长,在 GPU 上一个大一点的 seq2seq 模型通常要跑上几天,所以作者对 RNN 深恶痛绝,遂决定舍弃 RNN,只用注意力模型来进行序列的建模。 


作者提出一种新型的网络结构,并起了个名字 Transformer,里面所包含的注意力机制称之为 self-attention。作者骄傲地宣称他这套 Transformer 是能够计算 input 和 output 的 representation 而不借助 RNN 的唯一的 model,所以作者说有 attention 就够了。


模型同样包含 encoder 和 decoder 两个 stage,encoder 和 decoder 都是抛弃 RNN,而是用堆叠起来的 self-attention,和 fully-connected layer 来完成,模型的架构如下:



从图中可以看出,模型共包含三个 attention 成分,分别是 encoder 的 self-attention,decoder 的 self-attention,以及连接 encoder 和 decoder 的 attention。  


这三个 attention block 都是 multi-head attention 的形式,输入都是 query Q 、key K 、value V 三个元素,只是 Q 、 K 、 V 的取值不同罢了。接下来重点讨论最核心的模块 multi-head attention(多头注意力)。 


multi-head attention 由多个 scaled dot-product attention 这样的基础单元经过 stack 而成。



那重点就变成 scaled dot-product attention 是什么鬼了。按字面意思理解,scaled dot-product attention 即缩放了的点乘注意力,我们来对它进行研究。 


在这之前,我们先回顾一下上文提到的传统的 attention 方法(例如 global attention,score 采用 dot 形式)。


记 decoder 时刻 t 的 target hidden state 为 ht,encoder 得到的全部 source hidden state为,则 decoder 的 context vector ct 的计算过程如下:



作者先抛出三个名词 query Q、key K、value V,然后计算这三个元素的 attention。



我的写法与论文有细微差别,但为了接下来说明的简便,我姑且简化成这样。这个 Attention 的计算跟上面的 (*) 式有几分相似。


那么 Q、K、V 到底是什么?论文里讲的比较晦涩,说说我的理解。encoder 里的 attention 叫 self-attention,顾名思义,就是自己和自己做 attention。


抛开这篇论文的做法,让我们激活自己的创造力,在传统的 seq2seq 中的 encoder 阶段,我们得到 n 个时刻的 hidden states 之后,可以用每一时刻的 hidden state hi,去分别和任意的 hidden state hj,j=1,2,...,n 计算 attention,这就有点 self-attention 的意思。


回到当前的模型,由于抛弃了 RNN,encoder 过程就没了 hidden states,那拿什么做 self-attention 来自嗨呢?


可以想到,假如作为 input 的 sequence 共有 n 个 word,那么我可以先对每一个 word 做 embedding 吧?就得到 n 个 embedding,然后我就可以用 embedding 代替 hidden state 来做 self-attention 了。所以 Q 这个矩阵里面装的就是全部的 word embedding,K、V 也是一样。


所以为什么管 Q 叫query?就是你每次拿一个 word embedding,去“查询”其和任意的 word embedding 的 match 程度(也就是 attention 的大小),你一共要做 n 轮这样的操作。 


我们记 word embedding 的 dimension 为 dmodel ,所以 Q 的 shape 就是 n*dmodel, K、V 也是一样,第 i 个 word 的 embedding 为 vi,所以该 word 的 attention 应为:



那同时做全部 word 的 attention,则是:



scaled dot-product attention 基本就是这样了。基于 RNN 的传统 encoder 在每个时刻会有输入和输出,而现在 encoder 由于抛弃了 RNN 序列模型,所以可以一下子把序列的全部内容输进去,来一次 self-attention 的自嗨。


理解了 scaled dot-product attention 之后,multi-head attention 就好理解了,因为就是 scaled dot-product attention 的 stacking。


先把 Q、K、V 做 linear transformation,然后对新生成的 Q'、K'、V' 算 attention,重复这样的操作 h 次,然后把 h 次的结果做 concat,最后再做一次 linear transformation,就是 multi-head attention 这个小 block 的输出了。 



以上介绍了 encoder 的 self-attention。decoder 中的 encoder-decoder attention 道理类似,可以理解为用 decoder 中的每个 vi 对 encoder 中的 vj 做一种交叉 attention。


decoder 中的 self-attention 也一样的道理,只是要注意一点,decoder 中你在用 vi 对 vj 做 attention 时,有一些 pair 是不合法的。原因在于,虽然 encoder 阶段你可以把序列的全部 word 一次全输入进去,但是 decoder 阶段却并不总是可以,想象一下你在做 inference,decoder 的产出还是按从左至右的顺序,所以你的 vi 是没机会和 vj ( j>i ) 做 attention 的。


那怎么将这一点体现在 attention 的计算中呢?文中说只需要令 score(vi,vj)=-∞ 即可。为何?因为这样的话:



所以在计算 vi 的 self-attention 的时候,就能够把 vj 屏蔽掉。所以这个问题也就解决了。


模型的其他模块,诸如 position-wise feed-forward networks、position encoding、layer normalization、residual connection 等,相对容易理解,感兴趣的同学可以去看 paper,此处不再赘述。


总结


本文对 attention 的五种结构,即 hard attention、soft attention、global attention、local attention、self-attention 进行了具体分析。五种 attention 在计算复杂度、部署难度、模型效果上会有一定差异,实际中还需根据业务实际合理选择模型。



点击标题查看更多相关文章: 



 戳我查看招募详情


#作 者 招 募#


让你的文字被很多很多人看到,喜欢我们不如加入我们

           


关于PaperWeekly


PaperWeekly 是一个推荐、解读、讨论、报道人工智能前沿论文成果的学术平台。如果你研究或从事 AI 领域,欢迎在公众号后台点击「交流群」,小助手将把你带入 PaperWeekly 的交流群里。


▽ 点击 | 阅读原文 | 加入社区刷论文

登录查看更多
107

相关内容

Attention机制最早是在视觉图像领域提出来的,但是真正火起来应该算是google mind团队的这篇论文《Recurrent Models of Visual Attention》[14],他们在RNN模型上使用了attention机制来进行图像分类。随后,Bahdanau等人在论文《Neural Machine Translation by Jointly Learning to Align and Translate》 [1]中,使用类似attention的机制在机器翻译任务上将翻译和对齐同时进行,他们的工作算是是第一个提出attention机制应用到NLP领域中。接着类似的基于attention机制的RNN模型扩展开始应用到各种NLP任务中。最近,如何在CNN中使用attention机制也成为了大家的研究热点。下图表示了attention研究进展的大概趋势。
卷积神经网络的概述论文:分析、应用和展望,21页pdf
专知会员服务
91+阅读 · 2020年4月7日
机器翻译深度学习最新综述
专知会员服务
99+阅读 · 2020年2月20日
【综述】关键词生成,附10页pdf论文下载
专知会员服务
54+阅读 · 2019年11月20日
六篇 EMNLP 2019【图神经网络(GNN)+NLP】相关论文
专知会员服务
72+阅读 · 2019年11月3日
注意力机制模型最新综述
专知会员服务
271+阅读 · 2019年10月20日
深度学习自然语言处理综述,266篇参考文献
专知会员服务
231+阅读 · 2019年10月12日
最新BERT相关论文清单,BERT-related Papers
专知会员服务
53+阅读 · 2019年9月29日
一文综述经典的深度文本分类方法
AI100
12+阅读 · 2019年6月8日
深度学习中Attention Mechanism详细介绍:原理、分类及应用
深度学习与NLP
10+阅读 · 2019年2月18日
注意力机制(Attention)最新综述论文及相关源码
人工智能学家
30+阅读 · 2018年11月17日
从Seq2seq到Attention模型到Self Attention(二)
量化投资与机器学习
23+阅读 · 2018年10月9日
论文荐读 | NLP之Attention从入门到精通
人工智能前沿讲习班
5+阅读 · 2018年5月14日
从 Encoder 到 Decoder 实现 Seq2Seq 模型
AI研习社
10+阅读 · 2018年2月10日
从2017年顶会论文看Attention Model
哈工大SCIR
9+阅读 · 2017年10月12日
Talking-Heads Attention
Arxiv
15+阅读 · 2020年3月5日
Arxiv
19+阅读 · 2019年4月5日
Area Attention
Arxiv
5+阅读 · 2019年2月5日
VIP会员
相关VIP内容
卷积神经网络的概述论文:分析、应用和展望,21页pdf
专知会员服务
91+阅读 · 2020年4月7日
机器翻译深度学习最新综述
专知会员服务
99+阅读 · 2020年2月20日
【综述】关键词生成,附10页pdf论文下载
专知会员服务
54+阅读 · 2019年11月20日
六篇 EMNLP 2019【图神经网络(GNN)+NLP】相关论文
专知会员服务
72+阅读 · 2019年11月3日
注意力机制模型最新综述
专知会员服务
271+阅读 · 2019年10月20日
深度学习自然语言处理综述,266篇参考文献
专知会员服务
231+阅读 · 2019年10月12日
最新BERT相关论文清单,BERT-related Papers
专知会员服务
53+阅读 · 2019年9月29日
相关资讯
一文综述经典的深度文本分类方法
AI100
12+阅读 · 2019年6月8日
深度学习中Attention Mechanism详细介绍:原理、分类及应用
深度学习与NLP
10+阅读 · 2019年2月18日
注意力机制(Attention)最新综述论文及相关源码
人工智能学家
30+阅读 · 2018年11月17日
从Seq2seq到Attention模型到Self Attention(二)
量化投资与机器学习
23+阅读 · 2018年10月9日
论文荐读 | NLP之Attention从入门到精通
人工智能前沿讲习班
5+阅读 · 2018年5月14日
从 Encoder 到 Decoder 实现 Seq2Seq 模型
AI研习社
10+阅读 · 2018年2月10日
从2017年顶会论文看Attention Model
哈工大SCIR
9+阅读 · 2017年10月12日
Top
微信扫码咨询专知VIP会员