4.6692……:一个比圆周率更神秘的常数

2019 年 6 月 12 日 中科院物理所

本文由微信公众号“环球科学”(ID:huanqiukexue)授权转载

转载请先联系newmedia@huanqiukexue.com


米切尔·费根鲍姆(图片来源:Flickr)


40多年前的洛斯阿拉莫斯国家实验室,一位助手对一类数列的研究引起了轰动,因为它涉及了大自然的核心的秘密:从这个数列中,可以发现大自然中一个基本的无量纲常数——4.6692……。这个常数像圆周率一样,充满了神秘的未知,也引领着科学的发展。


撰文 | 张华



国家实验室的“小助手”


米切尔·费根鲍姆(Mitchell J. Feigenbaum)1944年出生在美国费城。第二次世界大战结束后,费根鲍姆一家迁回纽约布鲁克林居住。他的父亲在纽约港务局工作,母亲在公立学校教书。


在少年时代,费根鲍姆对电气工程师产生了朦胧的兴趣,因为他了解到电气工程师可以研究收音机,而且收入很高。因此,高中时的他选择了纽约市立大学的电气工程专业。不过,他上了大学才明白,自己渴望了解的收音机知识“只不过是物理学的一小部分”。


所以,1964年从纽约市立大学毕业后,费根鲍姆进入麻省理工学院攻读粒子物理学的博士学位。1970年,费根鲍姆获得物理学的博士学位,但这时,费根鲍姆对物理学的兴趣也有所转移,他开始喜欢上了数学——严格来说,他希望用当时还比较罕见的计算机来算一些数字。在他之前,已经有一位叫洛伦兹的物理学家利用计算机做天气预报,计算机编程也开始成为科学研究的手段。洛伦兹首次在微分方程组中发现了“混沌现象”的代表——蝴蝶效应。


博士毕业后,费根鲍姆进入了康奈尔大学,但因为他很少发表论文,看起来物理研究做得很一般。1972年,费根鲍姆来到弗吉尼亚理工学院,一边教书一边思考自己感兴趣的数学问题。这时的他有点“非主流”——当时粒子物理学家的“主流”工作是,面对加速器对撞机不断生成的粒子数据,研究标准模型、解释强相互作用与弱相互作用的本质。1974年,他跳槽到洛斯阿拉莫斯国家实验室理论部给一个教授做助手。


费根鲍姆只在洛斯阿拉莫斯实验室谋到一个助手的职位。虽然地位不高、工资也不高,但费根鲍姆可以用那里的计算机做科学计算。对他来说,这已经足够了。


利用计算机,他发现了数学物理中的一个很深邃的常数,相当于“发现了一个新的圆周率”,这一举奠定了自己在数学物理界的宗师地位。有人甚至预测,他可能因为这一贡献而获得诺贝尔奖。



抛物线映射


为了理解费根鲍姆的发现,我们需要从数列的周期说起。


最简单的周期性数列可以很任意,比如以下数列:

1,2,1,2,1,2 ……


当然,还有一些数列的周期性则要复杂的多,也要有趣得多。


比如费根鲍姆研究的数列


也可以表现出周期性,而且随着参数b的不断增加,它表现出来的周期性会不断增加,会从二周期变成四周期,然后变成八周期……


这个数列在数学或者物理学上被叫做“逻辑斯蒂映射”或者“抛物线映射”。


为了方便理解,我们假设这个数列的第一项是一个比1小的正数。前面已经说到,这个映射其实可以看成是一个抛物线映射,因为后一项与前一项的关系满足抛物线的方程。


所以,这里的关键问题是,常数b等于多少——b的数值是任意的,但做数值计算时,必须首先设定这个参数。


费根鲍姆固定了不同的参数b,利用计算机算这个数列的后续项。很容易看出,当常数b选择到一些特定的数字时,经过多次迭代,整个数列最后会收敛到一个“不动点”。即当n较大时,数列中的后续项变成了:


这相当于,这个不动点是抛物线方程的一个根。不动点其实就是“周期1”(周期为1)。


随后,费根鲍姆继续调整参数b。


他发现,当b增大到3的时候,系统的不动点就消失了,而是出现了周期2分叉,最后稳定下来的情况是xn在两个值之间跳来跳去。


随后,费根鲍姆继续调整参数b,让b继续增大。当b增加到了一定程度,周期会从2变成4。继续增加b,周期又会相继变为8与16……这个现象叫做倍周期分叉




费根鲍姆常数


如果只发现了这些现象,是无法构成一篇完美、具有历史价值的论文的。但是,费根鲍姆的伟大之处在于,他开始考虑当参数b满足什么条件时,会出现倍周期的分叉、这些分叉点的参数b又有什么特点。


终于,在1978年的《统计物理学》期刊上,费根鲍姆发表了他的重要发现。


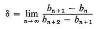
在费根鲍姆的文章中,他用希腊字母δ来标记这个常数


在费根鲍姆的发现中,出现倍周期分叉的相邻参数b之间可以定义出一个差值(相当于距离)。比如b1就是开始出现2周期分叉时的参数值;b2是开始出现4周期分叉时的参数值;而b3是开始出现8周期分叉时的参数值。


费根鲍姆的重要发现如下:出现倍周期分叉的b的那些数值,距离之比接近一个常数,这个常数大概等于4.6692……。



费根鲍姆同时还研究了别的映射,比如三角函数相关的映射,也得到了同样的常数。于是,他强调,这个数是“普适的”(universal)。也就是说,这个数不但对抛物线映射成立,而且对其他很多类似的映射也成立。


这意味着,这个常数背后有一个巨大的秘密。后来有人用量子统计与量子场论中的重整化群对这个常数进行了研究,取得了更多的进展。这个常数看起来比圆周率更深邃,但它的几何意义到底是什么,一直没有人能说清楚。甚至连这个常数到底是不是一个无理数,至今也还没有答案。


但我们确定的是,费根鲍姆常数与混沌理论有着密切的联系。费根鲍姆常数在抛物线映射中发现的倍周期分叉,其实是另一种“混沌”的前奏(数列是一种离散动力系统,离散动力系统中也存在混沌)。


由于费根鲍姆的常数大于1,也就是说倍周期分叉的“距离”之比是一个等比数列,而这个等比数列虽然有无限多项,但总和是有限的。在参数b小于3.57时,这种以2为周期开始的倍周期分叉已经结束了。而当参数b大于3.57时,开始出现周期3开始的倍周期分叉——而根据李天岩与约克的定理:“周期3的出现预示着混沌的出现”,这意味着在抛物线映射中,也是可以出现混沌的。


无论是洛伦兹发现的微分方程(连续动力系统)中的混沌,还是费根鲍姆发现的数列中的混沌,都标志着一项新的物理学革命。混沌现象都是用计算机意外发现的,这也是电脑帮助人们做科学研究的典范。




本文由微信公众号“环球科学”(ID:huanqiukexue)授权转载

转载请先联系newmedia@huanqiukexue.com

编辑:井上菌


近期热门文章Top10

↓ 点击标题即可查看 ↓

1. 我家在地震带上,你家呢?

2. 自然常数e到底自然在哪?

3. 华为的5G技术,源于这种数学方法

4. 为什么在跑道上要沿逆时针方向跑步?| No.155

5. 苍蝇落在食物上会发生什么?让我们说的仔细一点

6. 仙童传奇

7. 90后学术论文致谢自救指南

8. 你看的每一篇Nature论文,都是这样出炉的!

9. 硬核预警:量子力学的九种形式

10. 为什么手指能滑动手机屏幕,手指甲却不能?| No.156

点此查看以往全部热门文章


登录查看更多
0

相关内容

纽约市立大学(The City University of New York,CUNY)是纽约市的公立大学系统的总称。
最新《自动微分手册》77页pdf
专知会员服务
103+阅读 · 2020年6月6日
最新《机器学习理论初探》概述
专知会员服务
48+阅读 · 2020年5月19日
听完了1000+首古风歌曲,我发现自己也能火
PingWest品玩
4+阅读 · 2019年6月2日
知乎高赞回答:有什么相见恨晚的学英语方法?
深度学习与NLP
5+阅读 · 2019年4月16日
传说中的马尔科夫链到底是个什么鬼?
R语言中文社区
6+阅读 · 2018年2月27日
酒鬼漫步的数学——随机过程 | 张天蓉专栏
知识分子
10+阅读 · 2017年8月13日
娈童者:所幸 生在这里
博望志
15+阅读 · 2017年5月17日
Bivariate Beta LSTM
Arxiv
6+阅读 · 2019年10月7日
Physical Primitive Decomposition
Arxiv
4+阅读 · 2018年9月13日
Relational recurrent neural networks
Arxiv
8+阅读 · 2018年6月28日
Arxiv
3+阅读 · 2018年4月18日
Arxiv
15+阅读 · 2018年4月5日
Arxiv
3+阅读 · 2018年1月31日
VIP会员
相关论文
Bivariate Beta LSTM
Arxiv
6+阅读 · 2019年10月7日
Physical Primitive Decomposition
Arxiv
4+阅读 · 2018年9月13日
Relational recurrent neural networks
Arxiv
8+阅读 · 2018年6月28日
Arxiv
3+阅读 · 2018年4月18日
Arxiv
15+阅读 · 2018年4月5日
Arxiv
3+阅读 · 2018年1月31日
Top
微信扫码咨询专知VIP会员