我是这样学习 GAN 的——开发者自述

2017 年 7 月 13 日 AI研习社 马少楠

为了

每篇文章的文末都有一个小话题

欢迎大家参与讨论

有任何想说的都可以在评论区交流~

AI 研习社按:本文作者马少楠,原载于作者知乎专栏,雷锋网 AI 研习社经授权发布。

Generative Adversarial Network,就是大家耳熟能详的 GAN,由 Ian Goodfellow 首先提出,在这两年更是深度学习中最热门的东西,仿佛什么东西都能由 GAN 做出来。我最近刚入门 GAN,看了些资料,做一些笔记。

  1.Generation

什么是生成(generation)?就是模型通过学习一些数据,然后生成类似的数据。让机器看一些动物图片,然后自己来产生动物的图片,这就是生成。

以前就有很多可以用来生成的技术了,比如 auto-encoder(自编码器),结构如下图:

你训练一个 encoder,把 input 转换成 code,然后训练一个 decoder,把 code 转换成一个 image,然后计算得到的 image 和 input 之间的 MSE(mean square error),训练完这个 model 之后,取出后半部分 NN Decoder,输入一个随机的 code,就能 generate 一个 image。

但是 auto-encoder 生成 image 的效果,当然看着很别扭啦,一眼就能看出真假。所以后来还提出了比如VAE这样的生成模型,我对此也不是很了解,在这就不细说。

上述的这些生成模型,其实有一个非常严重的弊端。比如 VAE,它生成的 image 是希望和 input 越相似越好,但是 model 是如何来衡量这个相似呢?model 会计算一个 loss,采用的大多是 MSE,即每一个像素上的均方差。loss 小真的表示相似嘛?

比如这两张图,第一张,我们认为是好的生成图片,第二张是差的生成图片,但是对于上述的 model 来说,这两张图片计算出来的 loss 是一样大的,所以会认为是一样好的图片。

这就是上述生成模型的弊端,用来衡量生成图片好坏的标准并不能很好的完成想要实现的目的。于是就有了下面要讲的 GAN。

  2.GAN

大名鼎鼎的 GAN 是如何生成图片的呢?首先大家都知道 GAN 有两个网络,一个是 generator,一个是 discriminator,从二人零和博弈中受启发,通过两个网络互相对抗来达到最好的生成效果。流程如下:

主要流程类似上面这个图。首先,有一个一代的 generator,它能生成一些很差的图片,然后有一个一代的 discriminator,它能准确的把生成的图片,和真实的图片分类,简而言之,这个 discriminator 就是一个二分类器,对生成的图片输出 0,对真实的图片输出 1。

接着,开始训练出二代的 generator,它能生成稍好一点的图片,能够让一代的 discriminator 认为这些生成的图片是真实的图片。然后会训练出一个二代的 discriminator,它能准确的识别出真实的图片,和二代 generator 生成的图片。以此类推,会有三代,四代。。。n 代的 generator 和 discriminator,最后 discriminator 无法分辨生成的图片和真实图片,这个网络就拟合了。

这就是 GAN,运行过程就是这么的简单。这就结束了嘛?显然没有,下面还要介绍一下 GAN 的原理。

  3.原理

首先我们知道真实图片集的分布 Pdata(x),x 是一个真实图片,可以想象成一个向量,这个向量集合的分布就是 Pdata。我们需要生成一些也在这个分布内的图片,如果直接就是这个分布的话,怕是做不到的。

我们现在有的 generator 生成的分布可以假设为 PG(x;θ),这是一个由 θ 控制的分布,θ 是这个分布的参数(如果是高斯混合模型,那么 θ 就是每个高斯分布的平均值和方差)

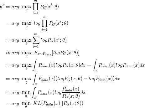
假设我们在真实分布中取出一些数据,{x1, x2, ... , xm},我们想要计算一个似然 PG(xi; θ)。

对于这些数据,在生成模型中的似然就是

我们想要最大化这个似然,等价于让 generator 生成那些真实图片的概率最大。这就变成了一个最大似然估计的问题了,我们需要找到一个 θ* 来最大化这个似然。

寻找一个 θ* 来最大化这个似然,等价于最大化 log 似然。因为此时这 m 个数据,是从真实分布中取的,所以也就约等于,真实分布中的所有 x 在 P分布中的 log 似然的期望。

真实分布中的所有 x 的期望,等价于求概率积分,所以可以转化成积分运算,因为减号后面的项和 θ 无关,所以添上之后还是等价的。然后提出共有的项,括号内的反转,max 变 min,就可以转化为 KL divergence 的形式了,KL divergence 描述的是两个概率分布之间的差异。

所以最大化似然,让 generator 最大概率的生成真实图片,也就是要找一个 θ 让 P更接近于 Pdata。

那如何来找这个最合理的 θ 呢?我们可以假设 PG(x; θ) 是一个神经网络。

首先随机一个向量 z,通过 G(z)=x 这个网络,生成图片 x,那么我们如何比较两个分布是否相似呢?只要我们取一组 sample z,这组 z 符合一个分布,那么通过网络就可以生成另一个分布 PG,然后来比较与真实分布 Pdata。

大家都知道,神经网络只要有非线性激活函数,就可以去拟合任意的函数,那么分布也是一样,所以可以用一直正态分布,或者高斯分布,取样去训练一个神经网络,学习到一个很复杂的分布。

如何来找到更接近的分布,这就是 GAN 的贡献了。先给出 GAN 的公式:

这个式子的好处在于,固定 G,max  V(G,D) 就表示 PG 和 Pdata 之间的差异,然后要找一个最好的 G,让这个最大值最小,也就是两个分布之间的差异最小。

表面上看这个的意思是,D 要让这个式子尽可能的大,也就是对于 x 是真实分布中,D(x) 要接近与 1,对于 x 来自于生成的分布,D(x) 要接近于 0,然后 G 要让式子尽可能的小,让来自于生成分布中的 x,D(x) 尽可能的接近 1。

现在我们先固定 G,来求解最优的 D:

对于一个给定的 x,得到最优的 D 如上图,范围在 (0,1) 内,把最优的 D 带入

可以得到:

JS divergence 是 KL divergence 的对称平滑版本,表示了两个分布之间的差异,这个推导就表明了上面所说的,固定 G。

表示两个分布之间的差异,最小值是 -2log2,最大值为 0。

现在我们需要找个 G,来最小化

观察上式,当 PG(x)=Pdata(x) 时,G 是最优的。

  4.训练

有了上面推导的基础之后,我们就可以开始训练 GAN 了。结合我们开头说的,两个网络交替训练,我们可以在起初有一个 G0 和 D0,先训练 D找到 :

然后固定 D0 开始训练 G0, 训练的过程都可以使用 gradient descent,以此类推,训练 D1,G1,D2,G2,...

但是这里有个问题就是,你可能在 D0* 的位置取到了:

然后更新 G0 为 G1,可能

了,但是并不保证会出现一个新的点 D1* 使得

这样更新 G 就没达到它原来应该要的效果,如下图所示:

避免上述情况的方法就是更新 G 的时候,不要更新 G 太多。

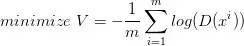
知道了网络的训练顺序,我们还需要设定两个 loss function,一个是 D 的 loss,一个是 G 的 loss。下面是整个 GAN 的训练具体步骤:

上述步骤在机器学习和深度学习中也是非常常见,易于理解。

  5.存在的问题

但是上面 G 的 loss function 还是有一点小问题,下图是两个函数的图像:

log(1-D(x)) 是我们计算时 G 的 loss function,但是我们发现,在 D(x) 接近于 0 的时候,这个函数十分平滑,梯度非常的小。这就会导致,在训练的初期,G 想要骗过 D,变化十分的缓慢,而上面的函数,趋势和下面的是一样的,都是递减的。但是它的优势是在 D(x) 接近 0 的时候,梯度很大,有利于训练,在 D(x) 越来越大之后,梯度减小,这也很符合实际,在初期应该训练速度更快,到后期速度减慢。

所以我们把 G 的 loss function 修改为

这样可以提高训练的速度。

还有一个问题,在其他 paper 中提出,就是经过实验发现,经过许多次训练,loss 一直都是平的,也就是

JS divergence 一直都是 log2,P和 Pdata 完全没有交集,但是实际上两个分布是有交集的,造成这个的原因是因为,我们无法真正计算期望和积分,只能使用 sample 的方法,如果训练的过拟合了,D 还是能够完全把两部分的点分开,如下图:

对于这个问题,我们是否应该让 D 变得弱一点,减弱它的分类能力,但是从理论上讲,为了让它能够有效的区分真假图片,我们又希望它能够 powerful,所以这里就产生了矛盾。

还有可能的原因是,虽然两个分布都是高维的,但是两个分布都十分的窄,可能交集相当小,这样也会导致 JS divergence 算出来 =log2,约等于没有交集。

解决的一些方法,有添加噪声,让两个分布变得更宽,可能可以增大它们的交集,这样 JS divergence 就可以计算,但是随着时间变化,噪声需要逐渐变小。

还有一个问题叫 Mode Collapse,如下图:

这个图的意思是,data 的分布是一个双峰的,但是学习到的生成分布却只有单峰,我们可以看到模型学到的数据,但是却不知道它没有学到的分布。

造成这个情况的原因是,KL divergence 里的两个分布写反了

这个图很清楚的显示了,如果是第一个 KL divergence 的写法,为了防止出现无穷大,所以有 Pdata 出现的地方都必须要有 PG 覆盖,就不会出现 Mode Collapse。

  6.参考

这是对 GAN 入门学习做的一些笔记和理解,后来太懒了,不想打公式了,主要是参考了李宏毅老师的视频:

http://t.cn/RKXQOV0

---------------------------

来聊聊吧

喜欢GAN这种算法吗?

欢迎在评论区分享


延伸阅读:只需 130 行代码!用 GAN 生成二维样本的小例子



 研习社特供福利  ID:OKweiwu

关注 AI 研习社后,回复【1】获取

【千G神经网络/AI/大数据、教程、论文!】
百度云盘地址!


点这个,看《如何用 Python 从海量文本抽取主题?》

▼▼

登录查看更多
5

相关内容

GAN:生成性对抗网,深度学习模型的一种,在神经网络模型中引入竞争机制,非常流行。
专知会员服务
109+阅读 · 2020年5月21日
【CVPR2020】MSG-GAN:用于稳定图像合成的多尺度梯度GAN
专知会员服务
29+阅读 · 2020年4月6日
【ICIP2019教程-NVIDIA】图像到图像转换,附7份PPT下载
专知会员服务
55+阅读 · 2019年11月20日
【斯坦福&Google】面向机器人的机器学习,63页PPT
专知会员服务
26+阅读 · 2019年11月19日
生成式对抗网络GAN异常检测
专知会员服务
118+阅读 · 2019年10月13日
TensorFlow 2.0 学习资源汇总
专知会员服务
67+阅读 · 2019年10月9日
万字综述之生成对抗网络(GAN)
PaperWeekly
43+阅读 · 2019年3月19日
【学界】生成式对抗网络:从生成数据到创造智能
GAN生成式对抗网络
6+阅读 · 2018年6月14日
从零学习:生成敌对网络(GAN)入门指南
论智
8+阅读 · 2017年12月23日
从PM到GAN——LSTM之父Schmidhuber横跨22年的怨念
AI研习社
6+阅读 · 2017年11月11日
【DCGAN】民科带你读文章: 用DCGAN补全图片
GAN生成式对抗网络
4+阅读 · 2017年8月29日
【开发】 用GAN来做图像生成,这是最好的方法
GAN生成式对抗网络
6+阅读 · 2017年8月9日
GAN猫的脸
机械鸡
11+阅读 · 2017年7月8日
Arxiv
5+阅读 · 2018年5月21日
Arxiv
4+阅读 · 2018年4月17日
Arxiv
11+阅读 · 2018年3月23日
Arxiv
10+阅读 · 2018年2月17日
VIP会员
相关VIP内容
专知会员服务
109+阅读 · 2020年5月21日
【CVPR2020】MSG-GAN:用于稳定图像合成的多尺度梯度GAN
专知会员服务
29+阅读 · 2020年4月6日
【ICIP2019教程-NVIDIA】图像到图像转换,附7份PPT下载
专知会员服务
55+阅读 · 2019年11月20日
【斯坦福&Google】面向机器人的机器学习,63页PPT
专知会员服务
26+阅读 · 2019年11月19日
生成式对抗网络GAN异常检测
专知会员服务
118+阅读 · 2019年10月13日
TensorFlow 2.0 学习资源汇总
专知会员服务
67+阅读 · 2019年10月9日
相关资讯
万字综述之生成对抗网络(GAN)
PaperWeekly
43+阅读 · 2019年3月19日
【学界】生成式对抗网络:从生成数据到创造智能
GAN生成式对抗网络
6+阅读 · 2018年6月14日
从零学习:生成敌对网络(GAN)入门指南
论智
8+阅读 · 2017年12月23日
从PM到GAN——LSTM之父Schmidhuber横跨22年的怨念
AI研习社
6+阅读 · 2017年11月11日
【DCGAN】民科带你读文章: 用DCGAN补全图片
GAN生成式对抗网络
4+阅读 · 2017年8月29日
【开发】 用GAN来做图像生成,这是最好的方法
GAN生成式对抗网络
6+阅读 · 2017年8月9日
GAN猫的脸
机械鸡
11+阅读 · 2017年7月8日
Top
微信扫码咨询专知VIP会员