变分自编码器VAE:一步到位的聚类方案

2018 年 9 月 18 日 PaperWeekly


作者丨苏剑林

单位丨广州火焰信息科技有限公司

研究方向丨NLP,神经网络

个人主页丨kexue.fm


由于 VAE 中既有编码器又有解码器(生成器),同时隐变量分布又被近似编码为标准正态分布,因此 VAE 既是一个生成模型,又是一个特征提取器。


在图像领域中,由于 VAE 生成的图片偏模糊,因此大家通常更关心 VAE 作为图像特征提取器的作用。提取特征都是为了下一步的任务准备的,而下一步的任务可能有很多,比如分类、聚类等。本文来关心“聚类”这个任务。


一般来说,用 AE 或者 VAE 做聚类都是分步来进行的,即先训练一个普通的 VAE,然后得到原始数据的隐变量,接着对隐变量做一个 K-Means 或 GMM 之类的。但是这样的思路的整体感显然不够,而且聚类方法的选择也让我们纠结。


本文介绍基于 VAE 的一个“一步到位”聚类思路,它同时允许我们完成无监督地完成聚类和条件生成。


理论


一般框架


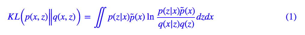
回顾 VAE 的 loss(如果没印象请参考再谈变分自编码器VAE:从贝叶斯观点出发):



通常来说,我们会假设 q(z) 是标准正态分布,p(z|x),q(x|z) 是条件正态分布,然后代入计算,就得到了普通的 VAE 的 loss。


然而,也没有谁规定隐变量一定是连续变量吧?这里我们就将隐变量定为 (z,y),其中 z 是一个连续变量,代表编码向量;y 是离散的变量,代表类别。直接把 (1) 中的 z 替换为 (z,y),就得到:



这就是用来做聚类的 VAE 的 loss 了。


分步假设


啥?就完事了?呃,是的,如果只考虑一般化的框架,(2) 确实就完事了。 


不过落实到实践中,(2) 可以有很多不同的实践方案,这里介绍比较简单的一种。首先我们要明确,在 (2 )中,我们只知道 p̃(x)(通过一批数据给出的经验分布),其他都是没有明确下来的。于是为了求解 (2),我们需要设定一些形式。一种选取方案为:



代入 (2) 得到:



其实 (4) 式还是相当直观的,它分布描述了编码和生成过程:


1. 从原始数据中采样到 x,然后通过 p(z|x) 可以得到编码特征 z,然后通过分类器 p(y|z) 对编码特征进行分类,从而得到类别;


2. 从分布 q(y) 中选取一个类别 y,然后从分布 q(z|y) 中选取一个随机隐变量 z,再通过生成器 q(x|z) 解码为原始样本。


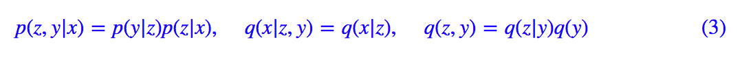
具体模型


(4) 式其实已经很具体了,我们只需要沿用以往 VAE 的做法:p(z|x) 一般假设为均值为 μ(x) 方差为的正态分布,q(x|z) 一般假设为均值为 G(z) 方差为常数的正态分布(等价于用 MSE 作为 loss),q(z|y) 可以假设为均值为 μy 方差为 1 的正态分布,至于剩下的 q(y),p(y|z),q(y) 可以假设为均匀分布(它就是个常数),也就是希望每个类大致均衡,而 p(y|z) 是对隐变量的分类器,随便用个 softmax 的网络就可以拟合了。 


最后,可以形象地将 (4) 改写为:



其中 z∼p(z|x) 是重参数操作,而方括号中的三项 loss,各有各的含义:


1. −log q(x|z) 希望重构误差越小越好,也就是 z 尽量保留完整的信息;


2.希望 z 能尽量对齐某个类别的“专属”的正态分布,就是这一步起到聚类的作用;


3. KL(p(y|z)‖q(y)) 希望每个类的分布尽量均衡,不会发生两个几乎重合的情况(坍缩为一个类)。当然,有时候可能不需要这个先验要求,那就可以去掉这一项。


实验


实验代码自然是 Keras 完成的了,在 MNIST 和 Fashion-MNIST 上做了实验,表现都还可以。实验环境:Keras 2.2 + TensorFlow 1.8 + Python 2.7。


代码实现


代码位于:


https://github.com/bojone/vae/blob/master/vae_keras_cluster.py 

其实注释应该比较清楚了,而且相比普通的 VAE 改动不大。可能稍微有难度的是这个怎么实现。因为 y 是离散的,所以事实上这就是一个矩阵乘法(相乘然后对某个公共变量求和,就是矩阵乘法的一般形式),用 K.batch_dot 实现。 


其他的话,读者应该先弄清楚普通的 VAE 实现过程,然后再看本文的内容和代码,不然估计是一脸懵的。


MNIST


这里是 MNIST 的实验结果图示,包括类内样本图示和按类采样图示。最后还简单估算了一下,以每一类对应的数目最多的那个真实标签为类标签的话,最终的 test 准确率大约有 84.5%,对比这篇文章 Unsupervised Deep Embedding for Clustering Analysis [1] 的结果(最高也是 84% 左右),感觉应该很不错了。 


聚类图示



按类采样



Fashion-MNIST


这里是 Fashion-MNIST [2] 的实验结果图示,包括类内样本图示和按类采样图示,最终的 test 准确率大约有 60.6%。 


聚类图示



按类采样



总结


文章简单地实现了一下基于 VAE 的聚类算法,算法的特点就是一步到位,结合“编码”、“聚类”和“生成”三个任务同时完成,思想是对 VAE 的 loss 的一般化。


感觉还有一定的提升空间,比如式 (4) 只是式 (2) 的一个例子,还可以考虑更加一般的情况。代码中的 encoder 和 decoder 也都没有经过仔细调优,仅仅是验证想法所用。


参考文献


[1]. Unsupervised Deep Embedding for Clustering Analysis Junyuan Xie, Ross Girshick, and Ali Farhadi in International Conference on Machine Learning (ICML), 2016.

[2]. https://github.com/zalandoresearch/fashion-mnist




点击以下标题查看更多相关文章: 





#投 稿 通 道#

 让你的论文被更多人看到 



如何才能让更多的优质内容以更短路径到达读者群体,缩短读者寻找优质内容的成本呢? 答案就是:你不认识的人。


总有一些你不认识的人,知道你想知道的东西。PaperWeekly 或许可以成为一座桥梁,促使不同背景、不同方向的学者和学术灵感相互碰撞,迸发出更多的可能性。 


PaperWeekly 鼓励高校实验室或个人,在我们的平台上分享各类优质内容,可以是最新论文解读,也可以是学习心得技术干货。我们的目的只有一个,让知识真正流动起来。


📝 来稿标准:

• 稿件确系个人原创作品,来稿需注明作者个人信息(姓名+学校/工作单位+学历/职位+研究方向) 

• 如果文章并非首发,请在投稿时提醒并附上所有已发布链接 

• PaperWeekly 默认每篇文章都是首发,均会添加“原创”标志


📬 投稿邮箱:

• 投稿邮箱:hr@paperweekly.site 

• 所有文章配图,请单独在附件中发送 

• 请留下即时联系方式(微信或手机),以便我们在编辑发布时和作者沟通




🔍


现在,在「知乎」也能找到我们了

进入知乎首页搜索「PaperWeekly」

点击「关注」订阅我们的专栏吧



关于PaperWeekly


PaperWeekly 是一个推荐、解读、讨论、报道人工智能前沿论文成果的学术平台。如果你研究或从事 AI 领域,欢迎在公众号后台点击「交流群」,小助手将把你带入 PaperWeekly 的交流群里。


▽ 点击 | 阅读原文 | 查看作者博客

登录查看更多
25

相关内容

【论文】结构GANs,Structured GANs,
专知会员服务
15+阅读 · 2020年1月16日
【浙江大学】对抗样本生成技术综述
专知会员服务
92+阅读 · 2020年1月6日
GANs最新综述论文: 生成式对抗网络及其变种如何有用
专知会员服务
72+阅读 · 2019年10月19日
vae学习笔记
CreateAMind
22+阅读 · 2019年6月18日
已删除
将门创投
7+阅读 · 2018年4月18日
再谈变分自编码器VAE:从贝叶斯观点出发
PaperWeekly
13+阅读 · 2018年4月2日
【干货】深入理解变分自编码器
专知
21+阅读 · 2018年3月22日
深度 | 变分自编码器VAE面临的挑战与发展方向
机器之心
16+阅读 · 2018年3月21日
探幽深度生成模型的两种方法:VAE和GAN
AI前线
15+阅读 · 2018年3月10日
【原理】学懂GAN的数学原理,让它不再神秘
GAN生成式对抗网络
3+阅读 · 2017年11月26日
Arxiv
4+阅读 · 2019年4月3日
A Probe into Understanding GAN and VAE models
Arxiv
9+阅读 · 2018年12月13日
Adversarial Transfer Learning
Arxiv
12+阅读 · 2018年12月6日
q-Space Novelty Detection with Variational Autoencoders
Deep Learning for Generic Object Detection: A Survey
Arxiv
14+阅读 · 2018年9月6日
Arxiv
7+阅读 · 2018年3月12日
Arxiv
3+阅读 · 2017年7月6日
VIP会员
相关资讯
vae学习笔记
CreateAMind
22+阅读 · 2019年6月18日
已删除
将门创投
7+阅读 · 2018年4月18日
再谈变分自编码器VAE:从贝叶斯观点出发
PaperWeekly
13+阅读 · 2018年4月2日
【干货】深入理解变分自编码器
专知
21+阅读 · 2018年3月22日
深度 | 变分自编码器VAE面临的挑战与发展方向
机器之心
16+阅读 · 2018年3月21日
探幽深度生成模型的两种方法:VAE和GAN
AI前线
15+阅读 · 2018年3月10日
【原理】学懂GAN的数学原理,让它不再神秘
GAN生成式对抗网络
3+阅读 · 2017年11月26日
相关论文
Arxiv
4+阅读 · 2019年4月3日
A Probe into Understanding GAN and VAE models
Arxiv
9+阅读 · 2018年12月13日
Adversarial Transfer Learning
Arxiv
12+阅读 · 2018年12月6日
q-Space Novelty Detection with Variational Autoencoders
Deep Learning for Generic Object Detection: A Survey
Arxiv
14+阅读 · 2018年9月6日
Arxiv
7+阅读 · 2018年3月12日
Arxiv
3+阅读 · 2017年7月6日
Top
微信扫码咨询专知VIP会员