论文浅尝 | 利用关系标签的主题语义知识为关系抽取提供监督 (IJCAI 2019)

2019 年 8 月 17 日 开放知识图谱

本文转载自公众号:知识工场。

作者蒋海云,复旦大学2016级计算机博士生,研究方向为知识图谱与自然语言处理。目前已在 IJCAI,AAAI,ACL,DASFAA等会议上发表文章。



IJCAI 2019(The 28th International Joint Conference on Artificial Intelligence)将于当地时间8月10日至8月16日在中国澳门举行。作为人工智能领域最顶级的国际学术会议之一,本次会议投稿量有 4752 篇,接收率为 17.8%。知识工场实验室发表“关系抽取”相关论文一篇,名为《Relation Extraction Using Suervision from Topic Knowledge of Relation Labels》,以下为具体内容:



1、Introduction


关系抽取旨在基于文本上下文识别出实体对的语义关系。这些关系通常是预先定义好的。例如,给定实体对[ Microsoft, Bill Gates ]和句子“Bill Gates co-founded Microsoft withhis childhood friend Paul Allen”,我们希望抽取出关系“ founder ”。
传统的方法通常将关系抽取建模为分类问题或者标注问题。在这些方法中,不同的关系标签往往被视为不同的 ID。例如,在关系分类中,每个 ID 代表多分类问题的一个类别( class )。给定一个样本,模型将其映射到一个或多个关系 ID 。然而,关系标签包含着非常丰富的语义信息,这些语义信息被现有的关系抽取模型所忽略。我们认为,充分建模关系标签的语义信息并将其作为关系分类的监督信号,有望进一步提升关系抽取性能。
很显然,仅仅靠关系标签这个词组本身很难挖掘出太多的语义信息。因此,我们需要引入额外的信息作为关系的背景知识。为了克服这一挑战,本文求助于主题模型。对于预定义关系,我们通过相应的训练句子集合进行主题建模,进而从训练数据中挖掘出关系的主题知识。我们的基本假设是:对于每个关系,其标注句子集合包含几个潜在主题,并且这些主题在语义上与关系是相关的。通过主题建模,我们提取前k个带权重的主题词来表示关系的语义。因此,关系的主题知识被具体化为带权重的词袋( weighted bag of words, WBoW )。不难理解,每个主题词都刻画了关系的某些方面,而词的权重则刻画了它对关系的重要性。因此,一个被标注为该关系的句子应该匹配关系的某些重要方面。

图1中给出了一个例子来说明主题知识如何为关系抽取( RE )提供有效的监督信息。对于图左边的四个句子,我们希望推断这些句子是否表达了 CEO 关系。对于人类而言,我们知道第一句和第二句明确表达了这种关系,而第三句则较弱地表达了关系。进一步地,第四句则完全没有表达这种关系。通过引入CEO的主题知识,我们发现第一句和第二句与 CEO 关系的大多数重要主题词匹配,而最后一句与其中任何一个主题词都不匹配。因此,主题知识提供的语义信息能有效地支持关系推理。


2、Overview



我们在图2中给出了应用关系的主题知识的框架流程图。主要步骤如下。


步骤1:从训练句子中检索关系r的所有句子。

步骤2:获取 r 的主题知识,即通过主题建模从r的标记句子集合中提取前k个加权主题词。

步骤3:为句子-关系对( s; r )建立深度匹配网络。

步骤4:基于主题知识,通过 Word Mover Distance( WMD )计算 s 和 r 之间的语义距离 d ( s,r )。

步骤5:根据语义距离 d ( s,r ) 计算样本的重要性权重。

步骤6:基于深度匹配网络和样本重要性权重建立损失函数。


3、Framework Sentence-Relation Matching Network



整个句子关系匹配网络包括三部分: 句子学习模块,关系学习模块以及句子关系匹配模块。
句子学习模块。 按照头尾实体的位置,我们将句子分成三部分。 主要原因有两个。 第一: 在一个句子中,表达实体对关系的往往位于实体对之间。 因此,每部分对于关系推理的贡献是不一样的。 第二,为了后续注意力机制的处理,将句子分块可以显著提升效率。 句子学习模块主要采用多头的注意力机制( multi-head self-attention )。 此外,关系敏感的注意力机制( relation-awareattention )旨在将学习到的句子特征中关系敏感的部分抽取出来,从而降低噪声的影响。
关系学习模块。 关系学习模块的输入是关系的主题词集合。 在该模块中,我们仍采用自注意力机制。 但值得注意的是,在输入词袋中我们考虑了每个词的先验权重,因此,我们希望在自注意力机制学习中将该先验权重考虑进去。 这在 weighted multi-head self-attention 中实现。
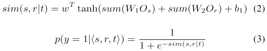
句子关系匹配模块。 基于学到的句子表示和关系表示,我们采用简单的全连接操作实现匹配建模。 其中,匹配函数为:

其中,Os 是句子 s 的特征矩阵,Or 是关系 r 的特征矩阵。 p(y=1|<s,r,t>) 表示句子 s 在表达实体对 t 的关系 r 的概率。


4、Experiments


我们采用NYT数据集,实验结果如下:



5、Conclusion


在本文中,我们挖掘关系标签的主题知识来表示其语义信息,这为关系抽取提供了有效的监督。 进一步地,我们提出了一种新的深度匹配网络。 值得注意的是,我们的框架适用于许多采用分类的NLP任务,这也是我们未来工作的主要研究方向。



OpenKG


开放知识图谱(简称 OpenKG)旨在促进中文知识图谱数据的开放与互联,促进知识图谱和语义技术的普及和广泛应用。

点击阅读原文,进入 OpenKG 博客。

登录查看更多
16

相关内容

关系抽取指的是检测和识别文本中实体之间的语义关系,并将表示同一语义关系的提及(mention)链接起来的任务。关系提取任务需要在一组工件(通常来自文本或XML文档)中对语义关系提及进行检测和分类。该任务与信息抽取(IE)的任务非常相似,但是IE还需要删除重复关系(消除歧义),并且通常指的是提取许多不同的关系。

知识荟萃

精品入门和进阶教程、论文和代码整理等

更多

查看相关VIP内容、论文、资讯等
【ICML2020-西电】用于语言生成的递归层次主题引导RNN
专知会员服务
22+阅读 · 2020年6月30日
基于深度学习的多标签生成研究进展
专知会员服务
147+阅读 · 2020年4月25日
【斯坦福大学-论文】实体上下文关系路径的知识图谱补全
必读的7篇 IJCAI 2019【图神经网络(GNN)】相关论文
专知会员服务
92+阅读 · 2020年1月10日
新加坡南洋理工最新37页《零样本学习综述》论文
专知会员服务
114+阅读 · 2019年10月20日
论文浅尝 | 基于知识库的自然语言理解 04#
开放知识图谱
14+阅读 · 2019年3月14日
论文浅尝 | 基于知识库的自然语言理解 02#
开放知识图谱
8+阅读 · 2019年2月24日
论文浅尝 | 基于知识库的自然语言理解 01#
开放知识图谱
15+阅读 · 2019年2月22日
论文浅尝 | 基于知识库的类型实体和关系的联合抽取
开放知识图谱
35+阅读 · 2018年12月9日
论文浅尝 | 知识图谱问答中的层次类型约束主题实体识别
Arxiv
21+阅读 · 2019年8月21日
Learning Discriminative Model Prediction for Tracking
Arxiv
3+阅读 · 2019年3月1日
Arxiv
9+阅读 · 2018年10月18日
Arxiv
3+阅读 · 2018年5月21日
VIP会员
相关资讯
论文浅尝 | 基于知识库的自然语言理解 04#
开放知识图谱
14+阅读 · 2019年3月14日
论文浅尝 | 基于知识库的自然语言理解 02#
开放知识图谱
8+阅读 · 2019年2月24日
论文浅尝 | 基于知识库的自然语言理解 01#
开放知识图谱
15+阅读 · 2019年2月22日
论文浅尝 | 基于知识库的类型实体和关系的联合抽取
开放知识图谱
35+阅读 · 2018年12月9日
论文浅尝 | 知识图谱问答中的层次类型约束主题实体识别
Top
微信扫码咨询专知VIP会员