ECCV 2018 | 行人检测全新视角:从人体中轴线标注出发

2018 年 9 月 7 日 极市平台

极市平台是专业的视觉算法开发和分发平台,加入极市专业CV交流群,与6000+来自腾讯,华为,百度,北大,清华,中科院等名企名校视觉开发者互动交流!更有机会与李开复老师等大牛群内互动!

同时提供每月大咖直播分享、真实项目需求对接、干货资讯汇总,行业技术交流点击文末“阅读原文”立刻申请入群~



论文地址:https://arxiv.org/abs/1807.01438


背景介绍

弱小目标是行人检测中一个非常普遍的问题,尤其是在自动驾驶或者监控场景中,当行人目标距离摄像头较远时,对现有算法而言非常具有挑战性。作为通用目标检测中的一个特定问题,现有基于CNN的行人检测方法依然来源于通过目标检测方法(如Faster R-CNN,SSD),这些方法采用铺设目标候选框的方式完成,我们称其为anchor-based方法。然而,anchor-based方法存在三个问题:一是需要根据特定数据集人工选定特定的anchor以更好地匹配行人目标,二是需要人工设定阈值来定义正负样本,三是训练过程中存在基于数据集标注的bias,尤其对于弱小目标,行人框中的目标信息本身就十分微弱,这种bias使得检测器更加难以胜任对弱小目标的检测。


为此,针对弱小目标检测,作者提出预测人体中轴线来代替预测人体标注框,在弱小目标检测上取得了十分惊艳的效果;此外,作为本文的另外一个贡献,作者提出利用Conv-LSTM来构建连续帧的运动信息,实验表明这种运动信息对弱小目标检测也有一定效果。


主要内容

行人检测的标注问题

现有行人检测数据集都是采用的矩形框标注,如下图1所示,行人检测的任务就是输出包含行人目标的矩形框。对于检测网络的训练而言,只有尽可能正确的标注才会使得网络学到更具判别力的特征,进而或者更为精确的检测结果,早在CVPR2016,Zhang等人[1]就对此问题展开深入探讨,并证明采用更精细的标注会极大提升行人检测的正确率。基于矩形框标注的anchor-based方法会带来三个问题在背景内容中已经介绍过了,而采用线型标注则会克服以上问题,这也正是本文作者的motivation,如下图所示,只标注人体中轴线,其优势在于避免了矩形框标注中的背景信息。



为了验证标注人体中轴线的优越性,作者采取了人工对照实验:两组实验人员分别采用框和中轴线对测试集中的行人目标进行标注,并采用官方评估协议进行评估,如下图2所示:1、中轴线标注所取得的结果明显优于框标注;2、这种优势在小目标上更为明显。因此,采用人体中轴线标注会给检测器的训练带来更少的bias。




基于中轴线定位的行人检测方法(TLL)

有了人体中轴线标注,如何完成行人检测任务?也即如何在有行人目标的位置预测出人体中轴线。作者将这一任务简化为3个子任务,一个网络分别输出行人目标的上顶点、下顶点和这两点之间的连接线。网络架构如下图3所示:基础网络为ResNet-50,将conv3/4/5的最后一层经过上采样后拼接起来作为多尺度特征表示,分辨率为原图的1/4,在此特征图上接3个1x1conv分别得到三个输出:上顶点置信图、下顶点置信图以及中轴线置信图。




对于训练,每一个行人目标的上下顶点构建为一个二维高斯热图,假设共有Nk个行人目标,整张图像的顶点置信图表示为;每一个行人目标的中轴线定义为连接两个顶点的单位向量,则整张图像的中轴线置信图表示为,对应网络三个输出,损失函数包含三部分,采用平方差损失:




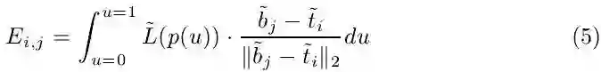
对于测试,每一张图像输入网络会输出三个置信图(上顶点,下顶点和中轴线),首先通过非极大值抑制(具体如何做论文没有公开详细细节,笔者认为可参考CornerNet[2])在上下顶点两个置信图上得到响应最大的top N个点,再将上下顶点进行配对,依据的是两个点在中轴线置信图上连线的值,如下式计算:



这就是一个简单的双边图匹配问题,可以通过匈牙利算法进行求解,得到的配对点连成中轴线就是一个预测的行人目标,根据数据集中固定的长宽比0.41得到行人矩形框,至此就可以用官方评估协议进行评估并和其他state-of-the-art算法进行公平对比了。


此外,作者还提出了一种基于MRF的后处理方式,重点针对的是行人自遮挡比较严重的情况,具体处理方式如下图5所示,通过这种方式对式(5)中的匹配点对的得分值进行更新得到更为准确的匹配结果(如图5中红色错误匹配对得到了修正)。



作为本文的另一个贡献,作者提出利用连续帧之间的特征融合(或者称为连续帧之间的运动信息)来进一步提高小目标检测的召回率。具体而言,在基础网络输出的特征图上接一层Conv-LSTM进行连续帧之间的特征融合,在Conv-LSTM的输出上进行三个置信图的预测,如下图6所示:



实验分析

实验细节:

验证实验在Caltech测试集上做的,训练和测试均采用的是原始标注。对比实验分别在Caltech和CityPersons验证集上和最新方法进行了全方位对比,重点验证本文算法对小目标和严重遮挡情况的检测的优越性。评估指标采用行人检测通用的Miss rate(越低越好)。


实验效果:

首先我们看下基础网络中对多尺度特征图的选择的直观解释,如下图4所示:最浅层conv2的响应对大小目标均不够强烈,浅层conv3对小目标的响应更为强烈而高层如conv4对大目标的响应更为强烈,因此本文的多尺度特征图选择从conv3开始,并融合conv3/4/5以胜任对不同尺度目标的检测。



结合下表对Caltech上的结果进行分析,其中本文方法为TLL,Far代表小目标(距离摄像头较远),可以发现本文方法TLL对小目标检测的优势非常明显,不加任何后处理的miss rate达到68.03,已经远远优于其他方法,同时可以发现加上Conv-LSTM的特征融合能进一步将miss rate降到60.79。



结合下表对CityPersons上的结果进行分析,其中heavy partial bare代表不同的遮挡程度,可以发现本文算法虽然在Reasonable子集上不占优势,但在严重遮挡情况下的miss rate要远优于其他方法,尤其是加上MRF后处理能够更好地完成自遮挡严重情况下的行人检测。


总结展望

本文贡献:

(1)深入研究了行人检测中的标注问题,并分析和验证了中轴线标注的优越性。

(2)基于中轴线标注,提出了一种基于中轴线预测的行人检测方法,实验表明对小目标检测十分有效。

(3)实验分析并验证了:融合连续帧特征信息可以进一步提升小目标检测的性能。



个人见解:

(1)本文从行人检测最低层的问题(标注)出发,为行人检测贡献了一种全新的解决方案,是极具启发性的一篇工作。

(2)本文和同发表于ECCV2018的CornerNet[2]有很多共通之处,我们可以将这两种方法称为anchor-free方法,它们抛弃了anchor-based方法需要人工设定不同大小比例anchors的束缚,取得了更为出色的检测性能。其实早在CVPR2016的YOLOv1也是anchor-free的方法,为了突出real-time的亮点,检测性能较anchor-based方法还有一定差距,为此从YOLOv2开始作者就又采用了anchor-based的思路。本文和CornerNet[2]的成功再一次打开了anchor-free的视角,前者是预测中轴线,后者是预测对角点,方式不同但本质一致。有关CornerNet[2]的技术解读已发表于极市平台,详情可见[3]。


参考文献

[1] How Far are We from Solving Pedestrian Detection? CVPR (2016)

[2] CornerNet: Detecting Objects as Paired Keypoints. ECCV (2018)

[3] ECCV 2018 | CornerNet:目标检测算法新思路


END

—本文为极市原创,欢迎大家投稿,转载请后台留言—



ps.ECCV2018收录论文已开放并支持pdf下载,感谢极市cv交流群小伙伴的整理,在“极市平台”公众号后台回复“ECCV”,即可获取全部论文pdf网盘下载链接~





*推荐文章*

ICPR 图像识别与检测挑战赛冠军方案出炉,基于偏旁部首来识别 Duang 字

PS-GAN:如何合成高质量行人图像提升行人检测性能?


每月大咖直播分享、真实项目需求对接、干货资讯汇总,行业技术交流点击左下角“阅读原文”立刻申请入群~

登录查看更多
6

相关内容

行人检测( Pedestrian Detection)是利用计算机视觉技术判断图像或者视频序列中是否存在行人并给予精确定位。该技术可与行人跟踪,行人重识别等技术结合,应用于人工智能系统、车辆辅助驾驶系统、智能机器人、智能视频监控、人体行为分析、智能交通等领域。
【CVPR2020-北京大学】自适应间隔损失的提升小样本学习
专知会员服务
85+阅读 · 2020年6月9日
CVPR2020 | 商汤-港中文等提出PV-RCNN:3D目标检测新网络
专知会员服务
45+阅读 · 2020年4月17日
姿势服装随心换-CVPR2019
专知会员服务
36+阅读 · 2020年1月26日
近期必读的9篇 CVPR 2019【视觉目标跟踪】相关论文和代码
目标检测中边界框的回归策略
极市平台
17+阅读 · 2019年9月8日
CVPR 2019 | CSP行人检测:无锚点框的检测新思路
机器之心
3+阅读 · 2019年4月13日
ECCV 2018 | Bi-box行人检测:‘行人遮挡’为几何?
极市平台
13+阅读 · 2018年9月30日
ECCV 2018 | OR-CNN行人检测:为‘遮挡’而生
极市平台
6+阅读 · 2018年9月21日
ECCV 2018 | ALFNet:向高效行人检测迈进(附代码)
极市平台
12+阅读 · 2018年9月14日
CVPR 2018|Cascade R-CNN:向高精度目标检测器迈进
极市平台
10+阅读 · 2018年7月20日
CVPR 2018 | 炫酷的卡通画目标检测
极市平台
6+阅读 · 2018年7月5日
行人对齐+重识别网络(论文解读)
极市平台
7+阅读 · 2017年10月11日
Meta-Transfer Learning for Zero-Shot Super-Resolution
Arxiv
43+阅读 · 2020年2月27日
UPSNet: A Unified Panoptic Segmentation Network
Arxiv
4+阅读 · 2019年1月12日
SlowFast Networks for Video Recognition
Arxiv
19+阅读 · 2018年12月10日
VIP会员
相关资讯
目标检测中边界框的回归策略
极市平台
17+阅读 · 2019年9月8日
CVPR 2019 | CSP行人检测:无锚点框的检测新思路
机器之心
3+阅读 · 2019年4月13日
ECCV 2018 | Bi-box行人检测:‘行人遮挡’为几何?
极市平台
13+阅读 · 2018年9月30日
ECCV 2018 | OR-CNN行人检测:为‘遮挡’而生
极市平台
6+阅读 · 2018年9月21日
ECCV 2018 | ALFNet:向高效行人检测迈进(附代码)
极市平台
12+阅读 · 2018年9月14日
CVPR 2018|Cascade R-CNN:向高精度目标检测器迈进
极市平台
10+阅读 · 2018年7月20日
CVPR 2018 | 炫酷的卡通画目标检测
极市平台
6+阅读 · 2018年7月5日
行人对齐+重识别网络(论文解读)
极市平台
7+阅读 · 2017年10月11日
Top
微信扫码咨询专知VIP会员