基于门结构的顺序图卷积网络

2017 年 11 月 28 日 科技创新与创业 王一帆

GATED GRAPH SEQUENCE NEURAL NETWORKS ICLR2016

Yujia Li & Richard Zemel

Department of Computer Science, University of TorontoMarc

Brockschmidt & Daniel Tarlow

Microsoft Research原文链接https://arxiv.org/pdf/1511.05493.pdf

简介:

图模型广泛存在于生活中,如化学、自然语言处理、社交网络、知识图谱等领域。相比较于传统链式结构或者树状数据结构,图结构数据更加灵活。因此文章考虑将图作为机器学习任务中的输入。传统图中学习任务如节点和图的分类,链路预测等仅仅要求得到图或者节点的embedding表示。实际中,很多任务要求得到图或者节点的一串序列表示。基于此思路,文章在图神经网络基础上做了相应改进以处理序列问题。 
传统GNN(GRAPH NEURAL NETWORKS)模型:

传统GNN模型为节点embedding传播的迭代模型,每个节点其初始化表示可以设置为任意值,随着节点embedding迭代直到节点收敛为止,如图所示

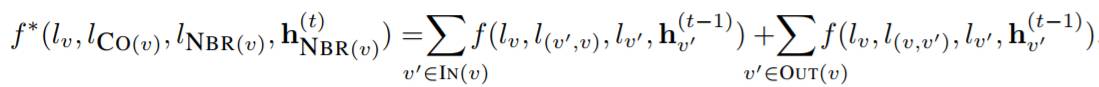
也可以将f*分解为多项之和,其中每一项与该边的出边和入边相关

其中f与该节点的label相关,可以通过线性函数或者神经网络表示。对于GNN模型的学习可以采用Almeida-Pineda算法,当节点embedding传播稳定后,才开始计算梯度。


GG-NNs(GATED GRAPH NEURAL NETWORKS)模型:

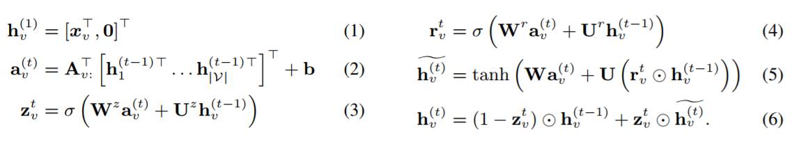
相比于GNN模型,GG-NNs模型固定了模型传播更新的次数为T,同时,与GNN不同,GG-NNs不随机初始化节点,而是通过节点标注(Node Annotations)初始化节点。同时,对于网络节点间的影响传播,引入了门的机制,其节点标注更新过程如下

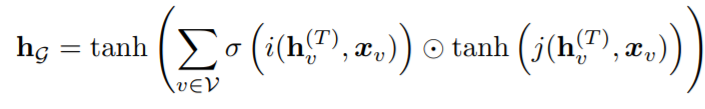
而为了实现节点序列化输出,文章提出了Gated Graph Sequence Neural Networks(GGS-NNs),包括两个GG-NNs Fo^k和Fx^k,其中Fo^k负责根据当前节点标注产生输出,Fx^k负责产生下一步输出,其中Fo^k和Fx^k都包括传播模型和输出模型,文章中,Fo^k和Fx^k使用同一传播模型,GGS-NNs结构如图所示

其中,对于输出模型,可以选择不同表示方法,对于节点选择,可以采用

而对于网络级别的表示,则可以采用

对于根据网络第k步在最终T此更新状态H^(k,T)预测下一步状态X^(k+1),即节点标注输出,则可以采用

同时,对于模型训练方法也有两种,一种是只初始化第一步时节点标注X^1,或者每一步X^k都需要初始化。同时,在训练过程中,GGS-NNs的训练可以通过不同GG-NNs单步进行训练,测试时可以序列测试。

实验:

文章考虑BABI任务,BABI任务集包含20种不同类型任务,BABI数据集中,每一篇文本对应一个故事。文章将故事映射为图结构,其中故事中实体映射为节点,实体关系对应为边。当一个故事中存在多个问题时,对每种类型训练一个新的模型。文章实验结果分析,相比较于LSTM,GGS-NNs能更好处理这种带有逻辑结构的问题。


思考:

相比较于传统的处理方式,GGS-NNs有效利用图模型进行相关任务,但是对于图中每一个节点每个时间步都需要传播训练,当处理大规模网络数据时,效率较差。同时,由于限制模型传播更新的次数为T,因此,GGS-NNs并不能完全收敛,损失了较长路径中的传播信息。

参考: 1.https://zhuanlan.zhihu.com/p/28170197


登录查看更多
3

相关内容

Vector人工智能研究所的联合创始人兼研究总监,多伦多大学机器学习工业研究主席,加拿大高级研究所高级研究员,研究兴趣包括:图像和文本的生成模型,基于图的机器学习,少量数据学习,词典,单词列表和公平性。
【ICML2020】持续图神经网络,Continuous Graph Neural Networks
专知会员服务
151+阅读 · 2020年6月28日
[ICML2020]层次间消息传递的分子图学习
专知会员服务
34+阅读 · 2020年6月27日
【ICLR2020-】基于记忆的图网络,MEMORY-BASED GRAPH NETWORKS
专知会员服务
110+阅读 · 2020年2月22日
近期必读的5篇 WSDM 2020【图神经网络(GNN)】相关论文
专知会员服务
57+阅读 · 2020年1月10日
【ICLR2020】五篇Open代码的GNN论文
专知会员服务
48+阅读 · 2019年10月2日
论文浅尝 | ICLR2020 - 基于组合的多关系图卷积网络
开放知识图谱
21+阅读 · 2020年4月24日
赛尔笔记 | 一文读懂图神经网络
哈工大SCIR
82+阅读 · 2019年7月12日
图卷积网络到底怎么做,这是一份极简的Numpy实现
深度 | 一文概览图卷积网络基本结构和最新进展
机器之心
17+阅读 · 2017年11月30日
图上的归纳表示学习
科技创新与创业
23+阅读 · 2017年11月9日
基于注意力机制的图卷积网络
科技创新与创业
74+阅读 · 2017年11月8日
Arxiv
8+阅读 · 2019年5月20日
Deep Graph Infomax
Arxiv
17+阅读 · 2018年12月21日
Arxiv
24+阅读 · 2018年10月24日
Arxiv
7+阅读 · 2018年1月10日
Arxiv
4+阅读 · 2017年7月25日
VIP会员
相关资讯
论文浅尝 | ICLR2020 - 基于组合的多关系图卷积网络
开放知识图谱
21+阅读 · 2020年4月24日
赛尔笔记 | 一文读懂图神经网络
哈工大SCIR
82+阅读 · 2019年7月12日
图卷积网络到底怎么做,这是一份极简的Numpy实现
深度 | 一文概览图卷积网络基本结构和最新进展
机器之心
17+阅读 · 2017年11月30日
图上的归纳表示学习
科技创新与创业
23+阅读 · 2017年11月9日
基于注意力机制的图卷积网络
科技创新与创业
74+阅读 · 2017年11月8日
Top
微信扫码咨询专知VIP会员