NeurIPS 2022 | 利用子图和结点的对称性提升子图GNN

2022 年 11 月 21 日 图与推荐
来源: PaperWeekly
   
   
     
本文约1100字,建议阅读5分钟
本文测试了当采取训练数据的一小部分时,模型能否仍有效,即模型的泛化能力如何。



1、论文介绍


子图 GNN 能够将图建模成为子图的集合。时至今日,对于子图 GNN 结构的设计和其性质的理论分析方向仍有待探索。本文研究了子图方法中最重要的部分——基于结点的子图选择策略,如 ego-network/node marketing/node deletion。本文将子图表达能力的上界界定为 3-WL,并设计了新的子图 GNN 模型,称之为 SUN,在理论上统一了之前的子图模型,并在多个数据集上取得了更优越的表现。


2、动机


目前已有许多工作,旨在提升 GNN 的表达性。其中另辟蹊径在子图领域进行的研究也不在少数。这些方法通常是从原始输入图中提取出子图集 (bags),并在子图集上进行聚合等一系列操作,目的是对原图进行有效的表示。 


从原图中挑选并提取子图有许多策略,选择不同的策略对模型的时间开销和性能表现存在影响。


尽管子图 GNN 拥有广阔的发展前景,我们仍缺少对其系统理解与理论分析。首先,理论上子图方法能够严格超越 WL test,但其 expressive power 的上界仍未可知。其次,在实践上,各种模型之间采取的信息传递和聚合策略是有差别的,是否存在对于信息传递规则的一个通用理解?在这两方面之上,我们既需要对于各种模型表达能力上界进行合理的标定,又希望能够在之后设计出更强大的子图 GNN。 


基于以上,本文提出并解决了两个问题:1)这些子图 GNN 方法的表达能力上界在哪里;2)在子图集上进行的等变信息传递层之间的内在联系是什么。 


本文的贡献主要有以下两点:


1. 对在子图集上进行操作的对称性集合提出了新的分析;


2. 提出了 SUN,对之前基于结点的子图 GNN 进行了合理的泛化。


3、方法



3.1 Subgraph GNNs


子图 GNN 按如下公式计算图 G 的表示:



其中,

 是从图 G 生成子图集的子图选择策略。 是对结点和子图进行排列组合的 T 个等变层;  是具有不变性的池化函数。  是 MLP;不同的子图 GNN 区别在于采取不同的   和 


一个基于结点的子图选择策略表示为  ,输入是一张图 G 和一个结点 v。


3.2 基于结点的子图选择策略的symmetries



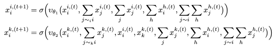
以往的工作对子图集采取两套排列组合方式:在结点上进行的   和在子图集上进行的 


本文观察到,当采用基于结点的选择策略时,子图和结点之间存在一种对应关系,因此本文仅仅采用单个排列组合   同时应用于结点和子图上:



3.3 SubGNNs的上界


在本节中,本文证明了子图 GNN 的上界是 3-WL,原因是能被 3-IGN “inplement”:



3.4 A design space for subGNNs



3.5 SUN



4、实验



人工数据集上的任务是对图中子结构进行计数,SUN 在 4 个任务中的 3 个上表现都最好;真实数据集采用 ZINC-12k,用 MAE 进行衡量,SUN 取得了 SOTA 的结果。



本文测试了当采取训练数据的一小部分时,模型能否仍有效,即模型的泛化能力如何。


5、总结


本文的工作对现有子图 GNN 的工作进行了统一和拓展,并界定了这些方法的 expressive power 上界是 3-WL。通过对 expressive power 在 1 & 3-WL 之间的模型进行系统研究,提出了子图 GNN 这一类模型的通用理论。在实验部分,本文额外研究了这些模型的泛化能力,其中 SUN 表现最好。


论文标题:

Understanding and Extending Subgraph GNNs by Rethinking Their Symmetries

论文链接:

http://arxiv.org/abs/2206.11140

代码链接:

https://github.com/beabevi/SUN



登录查看更多
0

相关内容

【NeurIPS 2022】张量分解图神经网络的高阶池化
专知会员服务
24+阅读 · 2022年11月29日
基于几何结构预训练的蛋白质表征学习
专知会员服务
15+阅读 · 2022年8月21日
【ICML2022】图神经网络的局域数据增强方法
专知会员服务
31+阅读 · 2022年7月24日
专知会员服务
17+阅读 · 2021年10月4日
专知会员服务
50+阅读 · 2021年6月2日
专知会员服务
28+阅读 · 2021年5月2日
【WSDM2021】保存节点相似性的图卷积网络
专知会员服务
41+阅读 · 2020年11月22日
【NeurIPS 2020】图神经网络GNN架构设计
专知会员服务
85+阅读 · 2020年11月19日
[ICML2020]层次间消息传递的分子图学习
专知会员服务
34+阅读 · 2020年6月27日
AAAI 2022 | 正交图神经网络
图与推荐
1+阅读 · 2022年11月18日
NeurIPS 2022|图对比学习的结构公平性初探
PaperWeekly
0+阅读 · 2022年10月17日
IJCAI 2022 | 超越同质性的图神经网络
PaperWeekly
0+阅读 · 2022年9月6日
一文读懂图卷积GCN
计算机视觉life
21+阅读 · 2019年12月21日
基于注意力机制的图卷积网络
科技创新与创业
74+阅读 · 2017年11月8日
国家自然科学基金
0+阅读 · 2014年12月31日
国家自然科学基金
0+阅读 · 2013年12月31日
国家自然科学基金
4+阅读 · 2012年12月31日
国家自然科学基金
0+阅读 · 2012年12月31日
国家自然科学基金
1+阅读 · 2012年12月31日
国家自然科学基金
1+阅读 · 2012年12月31日
国家自然科学基金
1+阅读 · 2012年12月31日
国家自然科学基金
1+阅读 · 2012年12月31日
国家自然科学基金
0+阅读 · 2009年12月31日
Arxiv
22+阅读 · 2021年12月2日
Arxiv
27+阅读 · 2020年6月19日
Self-Attention Graph Pooling
Arxiv
13+阅读 · 2019年6月13日
Arxiv
23+阅读 · 2018年10月1日
VIP会员
相关VIP内容
【NeurIPS 2022】张量分解图神经网络的高阶池化
专知会员服务
24+阅读 · 2022年11月29日
基于几何结构预训练的蛋白质表征学习
专知会员服务
15+阅读 · 2022年8月21日
【ICML2022】图神经网络的局域数据增强方法
专知会员服务
31+阅读 · 2022年7月24日
专知会员服务
17+阅读 · 2021年10月4日
专知会员服务
50+阅读 · 2021年6月2日
专知会员服务
28+阅读 · 2021年5月2日
【WSDM2021】保存节点相似性的图卷积网络
专知会员服务
41+阅读 · 2020年11月22日
【NeurIPS 2020】图神经网络GNN架构设计
专知会员服务
85+阅读 · 2020年11月19日
[ICML2020]层次间消息传递的分子图学习
专知会员服务
34+阅读 · 2020年6月27日
相关资讯
AAAI 2022 | 正交图神经网络
图与推荐
1+阅读 · 2022年11月18日
NeurIPS 2022|图对比学习的结构公平性初探
PaperWeekly
0+阅读 · 2022年10月17日
IJCAI 2022 | 超越同质性的图神经网络
PaperWeekly
0+阅读 · 2022年9月6日
一文读懂图卷积GCN
计算机视觉life
21+阅读 · 2019年12月21日
基于注意力机制的图卷积网络
科技创新与创业
74+阅读 · 2017年11月8日
相关基金
国家自然科学基金
0+阅读 · 2014年12月31日
国家自然科学基金
0+阅读 · 2013年12月31日
国家自然科学基金
4+阅读 · 2012年12月31日
国家自然科学基金
0+阅读 · 2012年12月31日
国家自然科学基金
1+阅读 · 2012年12月31日
国家自然科学基金
1+阅读 · 2012年12月31日
国家自然科学基金
1+阅读 · 2012年12月31日
国家自然科学基金
1+阅读 · 2012年12月31日
国家自然科学基金
0+阅读 · 2009年12月31日
相关论文
Top
微信扫码咨询专知VIP会员