欧拉公式——真正的宇宙第一公式

2018 年 11 月 30 日 算法与数学之美


欧拉公式是数学里最令人着迷的公式之一,它将数学里最重要的几个常数联系到了一起:两个超越数:自然对数的底e,圆周率π;两个单位:虚数单位i和自然数的单位1,以及数学里常见的0。


而且它对数学领域的缔造也产生了广泛影响,如三角函数、傅里叶级数、泰勒级数、概率论、群论等都有她的倩影。

因此,数学家们评价它是“上帝创造的公式,我们只能看它却不能完全理解它”。


而且,这个公式对物理学影响也非常巨大,如机械波论、电磁学、波动光学、量子力学等匍匐在她的脚下;难怪物理学家查德·费曼惊呼:欧拉恒等式不但是“数学最奇妙的公式”,也是现代物理学的定量之跟,因为她把最基本的5个数学常数简洁地连系起来,而且也将物理学中的圆周运动、简谐振动、机械波、电磁波、概率波等联系在了一起......


欧拉恒等式是:


其中e是自然指数的底,i是虚数单位,π是圆周率。

这条恒等式第一次出现于1748年欧拉在洛桑出版的书Introduction,它是复分析的欧拉公式特例。

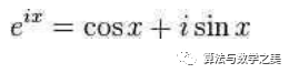
对于任意实数x,则有


令x=π代入上式,则可得出欧拉恒等式。

在欧拉公式中,虚数i占有特殊的地位,认识这个公式就需先从i开始:

虚数i大家在高中接触过,但那时我们只知道它是-1的平方根,可是它真正的意义是什么呢?

这里有一条数轴,在数轴上有一个红色线段,它的长度是1。当它乘以3的时候,它的长度发生了变化,变成了蓝色的线段3,而当它乘以-1的时候,就变成了绿色的线段,或者说线段在数轴上围绕原点旋转了180度。


我们知道乘-1其实就等于乘了两次 i,因i×i=-1,这样就使线段旋转了180度,那么乘一次 i 呢?

答案很简单:旋转了90度呗。


如果我们将这种运算放到坐标平面上来表示,则实轴与虚轴就构成了一组对称线段,我们再在0处安插一个垂直此线段的轴,这样就构成了一个平面,我们称之为复数平面;在这个平面上,我们可以看出,虚数i的功能就是旋转。


对于欧拉公式

这个公式在数学领域的意义要远大于傅里叶分析,当x=π时,则有


它对描述圆周运动的物理意义就是圆心位移为0,如下图:


这个公式的关键作用就是将正弦波统一成了简单的指数形式,我们来看看它图像上的涵义:


可见,欧拉公式所描绘的正是在复平面上做圆周运动的点,随着时间的改变,这个点在时间轴上就成了一条螺旋线。如果只看它的实数部分,也就是螺旋线在左侧的投影,就是一个最基础的余弦函数,而右侧投影则是一个正弦函数。


现代物理学告诉我们,宏观宇宙的构成本质是旋转的,带有圆周运动和自旋性;微观世界也是旋转的,也带有圆周运动和自旋性,而欧拉公式描述的核心正是旋转与频率,因此,在物理学定量意义上讲,称它是宇宙第一公式一点也不为过!

∑编辑 | Gemini

来源 | 今日头条


更多精彩:

☞  哈尔莫斯:怎样做数学研究

☞  扎克伯格2017年哈佛大学毕业演讲

☞  线性代数在组合数学中的应用

☞  你见过真的菲利普曲线吗?

☞  支持向量机(SVM)的故事是这样子的

☞  深度神经网络中的数学,对你来说会不会太难?

☞  编程需要知道多少数学知识?

☞  陈省身——什么是几何学

☞  模式识别研究的回顾与展望

☞  曲面论

☞  自然底数e的意义是什么?

☞  如何向5岁小孩解释什么是支持向量机(SVM)?

☞  华裔天才数学家陶哲轩自述

☞  代数,分析,几何与拓扑,现代数学的三大方法论


算法数学之美微信公众号欢迎赐稿

稿件涉及数学、物理、算法、计算机、编程等相关领域,经采用我们将奉上稿酬。

投稿邮箱:math_alg@163.com



登录查看更多
0

相关内容

数学是关于数量、结构、变化等主题的探索。
【纽约大学】最新《离散数学》笔记,451页pdf
专知会员服务
131+阅读 · 2020年5月26日
【干货书】数值计算C编程,319页pdf,Numerical C
专知会员服务
72+阅读 · 2020年4月7日
Python数据分析:过去、现在和未来,52页ppt
专知会员服务
103+阅读 · 2020年3月9日
跳出公式,看清全局,图神经网络(GCN)原理详解
AI科技评论
64+阅读 · 2019年9月22日
单位圆与三角函数
遇见数学
14+阅读 · 2019年1月22日
可视化理解四元数,愿你不再掉头发
计算机视觉life
31+阅读 · 2019年1月2日
从零开始一起学习SLAM | 你好,点云
计算机视觉life
9+阅读 · 2018年11月26日
条件概率和贝叶斯公式 - 图解概率 03
遇见数学
10+阅读 · 2018年6月5日
SVM大解密(附代码和公式)
机器学习算法与Python学习
6+阅读 · 2018年5月22日
傅里叶变换和拉普拉斯变换的物理解释及区别
算法与数学之美
11+阅读 · 2018年2月5日
【直观详解】信息熵、交叉熵和相对熵
机器学习研究会
10+阅读 · 2017年11月7日
酒鬼漫步的数学——随机过程 | 张天蓉专栏
知识分子
10+阅读 · 2017年8月13日
Bivariate Beta LSTM
Arxiv
6+阅读 · 2019年10月7日
Learning by Abstraction: The Neural State Machine
Arxiv
6+阅读 · 2019年7月11日
Rapid Customization for Event Extraction
Arxiv
7+阅读 · 2018年9月20日
Arxiv
5+阅读 · 2018年1月30日
Arxiv
5+阅读 · 2018年1月17日
VIP会员
相关资讯
跳出公式,看清全局,图神经网络(GCN)原理详解
AI科技评论
64+阅读 · 2019年9月22日
单位圆与三角函数
遇见数学
14+阅读 · 2019年1月22日
可视化理解四元数,愿你不再掉头发
计算机视觉life
31+阅读 · 2019年1月2日
从零开始一起学习SLAM | 你好,点云
计算机视觉life
9+阅读 · 2018年11月26日
条件概率和贝叶斯公式 - 图解概率 03
遇见数学
10+阅读 · 2018年6月5日
SVM大解密(附代码和公式)
机器学习算法与Python学习
6+阅读 · 2018年5月22日
傅里叶变换和拉普拉斯变换的物理解释及区别
算法与数学之美
11+阅读 · 2018年2月5日
【直观详解】信息熵、交叉熵和相对熵
机器学习研究会
10+阅读 · 2017年11月7日
酒鬼漫步的数学——随机过程 | 张天蓉专栏
知识分子
10+阅读 · 2017年8月13日
Top
微信扫码咨询专知VIP会员