【1573】维生素D水平与癌症风险无关吗?

2017 年 12 月 4 日 肿瘤资讯 陶白
编译:陶白
来源:肿瘤资讯

维生素D具有抗肿瘤活性,那么体内循环维生素D水平增加,是否癌症风险就会降低?如果结论是肯定的,调整维生素D水平无疑为我们的防癌策略增加了又一种简便可行的方法。希腊约阿尼纳大学医学院卫生学和流行病学系助理教授Konstantinos K Tsilidis博士对此进行了一项研究,并将研究结果发表于近日的《BMJ》上。研究表明,体内循环维生素D水平与癌症风险不存在因果关系,因此全人群筛查维生素D缺乏及随后大范围的维生素D补充,目前不应推荐作为原发性癌症预防策略。

介绍:

体外和动物模型研究表明,维生素D具有抗肿瘤作用。但是体内循环维生素D浓度和各种癌症风险的流行病学研究得出了不同的结果。且既往观察性研究存在着样本规模和较小潜在方法学问题的局限。

为了克服上述局限性,并探索维生素D状态是癌症的病因还是死亡的相关标志物,研究者使用了孟德尔随机化方法,评估了维生素D相关的单核苷酸多态性与结直肠癌、乳腺癌、前列腺癌、卵巢癌、肺癌、胰腺癌和神经母细胞瘤之间的相关性。

方法:

设计:孟德尔随机研究。

数据来源:

大型遗传流行病学网络,包括肿瘤学的遗传相关性和机制(GAME-ON)、结直肠癌联盟的遗传和流行病学(GECCO)、前列腺癌协会调查基因组中癌症相关改变(PRACTICAL)联盟、基于MR的平台。

研究对象:

70563个癌症病例和84418例对照,其中前列腺癌22898例,乳腺癌15748例,肺癌12537例,结直肠癌11488例,卵巢癌4369例,胰腺癌1896例,神经母细胞瘤1627例。

实验暴露:

4个与维生素D相关的单核苷酸多态性(rs2282679、rs10741657、rs12785878和rs6013897)用于确定体内循环25-羟维生素D(25(OH)D)浓度的多个多态性评分。

主要结局测量:

首要结局为结直肠癌、乳腺癌、前列腺癌、卵巢癌、肺癌、胰腺癌和神经母细胞瘤的发病风险。也检测了不同性别、解剖位置、分期和组织学亚型的次要结局。

结果:

单核苷酸多态性和癌症之间的相关性:

单核苷酸多态性与任何癌症风险无显著相关,但GAME-ON数据显示,rs6013897多态性与前列腺癌之间存在相关性(OR,1.06;95% CI,1.01~1.10;P=0.02),但在大型PRACTICAL数据中没有观察到该相关性(1.00;0.97~1.04;P=0.81)。GECCO数据显示,rs6013897多态性也与结直肠癌风险相关(0.94;0.89~0.99;P=0.03)。

多个多态性评分的孟德尔随机化评估:

几乎没有证据表明,25(OH)D的多态性评分与7种癌症及其亚型的风险相关。具体的,25(OH)D浓度每增加25nmol/L的比值比分别为:结直肠癌0.92(95% CI,0.76~1.10)、乳腺癌1.05(0.89~1.24)、前列腺癌0.89(0.77~1.02)、肺癌1.03(0.87~1.23)。研究具有检测到中等强度相对效应大小的能力。

与维生素D相关的单核苷酸多态性与结直肠癌风险和循环25(OH)D浓度之间的相关性

与维生素D相关的单核苷酸多态性与乳腺癌风险和循环25(OH)D浓度之间的相关性

与维生素D相关的单核苷酸多态性与前列腺癌风险和循环25(OH)D浓度之间的相关性

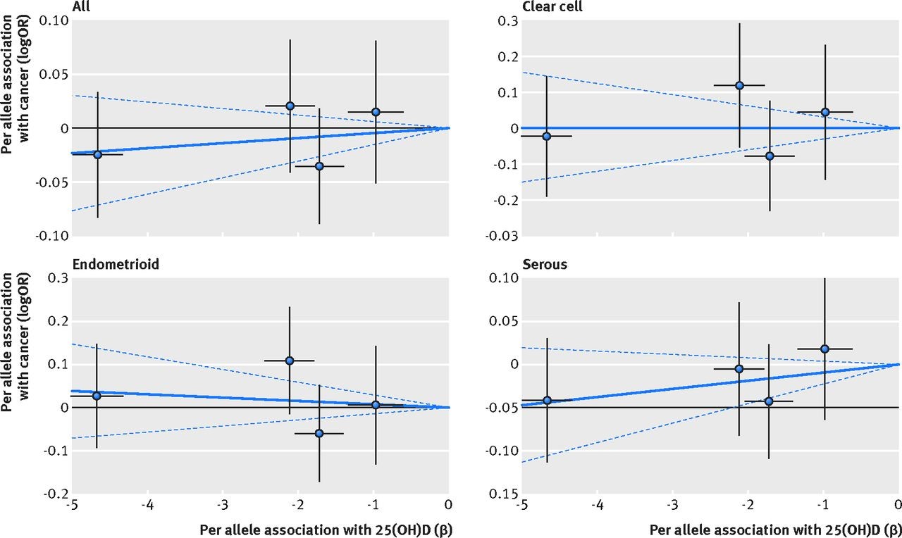
与维生素D相关的单核苷酸多态性与卵巢癌风险和循环25(OH)D浓度之间的相关性

与维生素D相关的单核苷酸多态性与肺癌风险和循环25(OH)D浓度之间的相关性

与维生素D相关的单核苷酸多态性与神经母细胞瘤和前列腺癌风险和循环25(OH)D浓度之间的相关性

结论:

虽然不能排除低等强度因果关系的存在,但几乎没有证据表明,体内循环维生素D浓度和各种癌症类型风险之间存在线性因果关系。这意味着,全人群筛查维生素D缺乏及随后大范围的维生素D补充,目前不应推荐作为原发性癌症预防策略

点评
本研究具有一些局限性。研究者使用的汇总水平数据不能用于对协变量进行分层分析,如性别、年龄、绝经状态、吸烟状态、体重指数、激素替代治疗的使用、其他相关基因、人群是否是维生素D缺乏等。此外,研究者未能探讨25(OH)D浓度和癌症风险之间的潜在非线性关系,而这已经在一些研究中进行过讨论。另外,现有已知的与维生素D相关的单核苷酸多态性仅为所有多态性的一小部分。再有,这些单核苷酸多态性不能预测1,25-二羟维生素D浓度,而1,25-二羟维生素D却又是维生素D最具生物活性的代谢产物,另外研究也不能预测细胞水平的维生素D浓度。因此,此研究结果并没有明确性。25(OH)D的更大型全基因组相关性研究和具有个体水平数据的孟德尔随机研究可以解决该问题。此外,大样本的全人群高剂量维生素D补充试验正在进行,一定会提供更加准确的结论。
参考文献

http://www.bmj.com/content/359/bmj.j4761

Circulating vitamin D concentration and risk of seven cancers: Mendelian randomisation study

责任编辑:肿瘤资讯-斐斐   

28个肿瘤相关临床试验招募患者


点击下方图片即可查看详情


登录查看更多
0

相关内容

多态性是指在类定义中出现多个构造方法或出现多个同名的成员方法。多态性包括两种类型:静态多态性,动态多态性。
专知会员服务
29+阅读 · 2020年3月6日
缺失数据统计分析,第三版,462页pdf
专知会员服务
110+阅读 · 2020年2月28日
【学科交叉】抗生素发现的深度学习方法
专知会员服务
25+阅读 · 2020年2月23日
广东疾控中心《新型冠状病毒感染防护》,65页pdf
专知会员服务
19+阅读 · 2020年1月26日
PACIFIC试验影响了我们什么?
肿瘤资讯
19+阅读 · 2019年7月25日
【Blood】去甲基化治疗失败后,MDS应如何治疗?
Arxiv
6+阅读 · 2018年1月14日
VIP会员
Top
微信扫码咨询专知VIP会员