深度学习中的Lipschitz约束:泛化与生成模型

2018 年 10 月 16 日 PaperWeekly


作者丨苏剑林

单位丨广州火焰信息科技有限公司

研究方向丨NLP,神经网络

个人主页丨kexue.fm


去年写过一篇 WGAN-GP 的入门读物互怼的艺术:从零直达WGAN-GP,提到通过梯度惩罚来为 WGAN 的判别器增加 Lipschitz 约束(下面简称“L 约束”)。前几天遐想时再次想到了 WGAN,总觉得 WGAN 的梯度惩罚不够优雅,后来也听说 WGAN 在条件生成时很难搞(因为不同类的随机插值就开始乱了),所以就想琢磨一下能不能搞出个新的方案来给判别器增加L约束。 


闭门造车想了几天,然后发现想出来的东西别人都已经做了,果然是只有你想不到,没有别人做不到呀。主要包含在这两篇论文中:Spectral Norm Regularization for Improving the Generalizability of Deep Learning [1]Spectral Normalization for Generative Adversarial Networks [2]。 


所以这篇文章就按照自己的理解思路,对L约束相关的内容进行简单的介绍。注意本文的主题是 L 约束,并不只是 WGAN。它可以用在生成模型中,也可以用在一般的监督学习中。


L约束与泛化


扰动敏感


记输入为 x,输出为 y,模型为 f,模型参数为 w,记为:



很多时候,我们希望得到一个“稳健”的模型。何为稳健?一般来说有两种含义,一是对于参数扰动的稳定性,比如模型变成了 fw+Δw(x) 后是否还能达到相近的效果?如果在动力学系统中,还要考虑模型最终是否能恢复到 fw(x);二是对于输入扰动的稳定性,比如输入从 x 变成了 x+Δx 后,fw(x+Δx) 是否能给出相近的预测结果。


读者或许已经听说过深度学习模型存在“对抗攻击样本”,比如图片只改变一个像素就给出完全不一样的分类结果,这就是模型对输入过于敏感的案例。


L约束


所以,大多数时候我们都希望模型对输入扰动是不敏感的,这通常能提高模型的泛化性能。也就是说,我们希望 ||x1−x2|| 很小时:



也尽可能地小。当然,“尽可能”究竟是怎样,谁也说不准。于是 Lipschitz 提出了一个更具体的约束,那就是存在某个常数 C(它只与参数有关,与输入无关),使得下式恒成立:



也就是说,希望整个模型被一个线性函数“控制”住。这便是 L 约束了。


换言之,在这里我们认为满足 L 约束的模型才是一个好模型。并且对于具体的模型,我们希望估算出 C(w) 的表达式,并且希望 C(w) 越小越好,越小意味着它对输入扰动越不敏感,泛化性越好。


神经网络


在这里我们对具体的神经网络进行分析,以观察神经网络在什么时候会满足 L 约束。


简单而言,我们考虑单层的全连接 f(Wx+b),这里的 f 是激活函数,而 W,b 则是参数矩阵/向量,这时候 (3) 变为:



让 x1,x2 充分接近,那么就可以将左边用一阶项近似,得到:



显然,要希望左边不超过右边,∂f/∂x 这一项(每个元素)的绝对值必须不超过某个常数。这就要求我们要使用“导数有上下界”的激活函数,不过我们目前常用的激活函数,比如sigmoid、tanh、relu等,都满足这个条件。假定激活函数的梯度已经有界,尤其是我们常用的 relu 激活函数来说这个界还是 1,因此 ∂f/∂x 这一项只带来一个常数,我们暂时忽略它,剩下来我们只需要考虑 ||W(x1−x2)||。


多层的神经网络可以逐步递归分析,从而最终还是单层的神经网络问题,而 CNN、RNN 等结构本质上还是特殊的全连接,所以照样可以用全连接的结果。因此,对于神经网络来说,问题变成了:如果下式恒成立,那么 C 的值可以是多少?



找出 C 的表达式后,我们就可以希望 C 尽可能小,从而给参数带来一个正则化项


矩阵范数


定义


其实到这里,我们已经将问题转化为了一个矩阵范数问题(矩阵范数的作用相当于向量的模长),它定义为:



如果 W 是一个方阵,那么该范数又称为“谱范数”、“谱半径”等,在本文中就算它不是方阵我们也叫它“谱范数(Spectral Norm)”好了。注意 ||Wx|| 和 ||x|| 都是指向量的范数,就是普通的向量模长。而左边的矩阵的范数我们本来没有明确定义的,但通过右边的向量模型的极限定义出来的,所以这类矩阵范数称为“由向量范数诱导出来的矩阵范数”。 


好了,文绉绉的概念就不多说了,有了向量范数的概念之后,我们就有:



呃,其实也没做啥,就换了个记号而已,||W||2 等于多少我们还是没有搞出来。


Frobenius范数


其实谱范数 ||W||2 的准确概念和计算方法还是要用到比较多的线性代数的概念,我们暂时不研究它,而是先研究一个更加简单的范数:Frobenius 范数,简称 F 范数。


这名字让人看着慌,其实定义特别简单,它就是:



说白了,它就是直接把矩阵当成一个向量,然后求向量的欧氏模长。


简单通过柯西不等式,我们就能证明:



很明显 ||W||F 提供了 ||W||2 的一个上界,也就是说,你可以理解为 ||W||是式 (6) 中最准确的 C(所有满足式 (6) 的 C 中最小的那个),但如果你不大关心精准度,你直接可以取 C=||W||F,也能使得 (6) 成立,毕竟 ||W||容易计算。


l2正则项


前面已经说过,为了使神经网络尽可能好地满足L约束,我们应当希望 C=||W||尽可能小,我们可以把 C2 作为一个正则项加入到损失函数中。当然,我们还没有算出谱范数 ||W||2,但我们算出了一个更大的上界 ||W||F,那就先用着它吧,即 loss 为:



其中第一部分是指模型原来的 loss。我们再来回顾一下 ||W||的表达式,我们发现加入的正则项是:



这不就是 l2 正则化吗? 


终于,捣鼓了一番,我们得到了一点回报:我们揭示了 l2 正则化(也称为 weight decay)与 L 约束的联系,表明 l2 正则化能使得模型更好地满足 L 约束,从而降低模型对输入扰动的敏感性,增强模型的泛化性能。


谱范数


主特征根


这部分我们来正式面对谱范数 ||W||2,这是线性代数的内容,比较理论化。


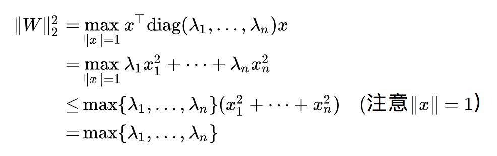
事实上,谱范数 ||W||等于的最大特征根(主特征根)的平方根,如果 W是方阵,那么 ||W||等于 W 的最大的特征根绝对值。


对于感兴趣理论证明的读者,这里提供一下证明的大概思路。根据定义 (7) 我们有:



假设对角化为diag(λ1,…,λn),即,其中 λi 都是它的特征根,而且非负,而 U 是正交矩阵,由于正交矩阵与单位向量的积还是单位向量,那么:



所以等于的最大特征根。


幂迭代


也许有读者开始不耐烦了:鬼愿意知道你是不是等于特征根呀,我关心的是怎么算这个鬼范数!


事实上,前面的内容虽然看起来茫然,但却是求 ‖W‖2 的基础。前一节告诉我们就是的最大特征根,所以问题变成了求的最大特征根,这可以通过“幂迭代”法 [3] 来解决。


所谓“幂迭代”,就是通过下面的迭代格式:



迭代若干次后,最后通过:



得到范数(也就是得到最大的特征根的近似值)。也可以等价改写为:



这样,初始化 u,v 后(可以用全 1 向量初始化),就可以迭代若干次得到 u,v,然后代入算得 ‖W‖2 的近似值。


对证明感兴趣的读者,这里照样提供一个简单的证明表明为什么这样的迭代会有效。


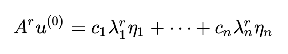
,初始化为,同样假设 A 可对角化,并且假设 A 的各个特征根 λ1,…,λn 中,最大的特征根严格大于其余的特征根(不满足这个条件意味着最大的特征根是重根,讨论起来有点复杂,需要请读者查找专业证明,这里仅仅抛砖引玉。


当然,从数值计算的角度,几乎没有两个人是完全相等的,因此可以认为重根的情况在实验中不会出现。),那么 A 的各个特征向量 η1,…,ηn 构成完备的基底,所以我们可以设:



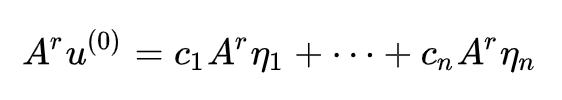
每次的迭代是 Au/‖Au‖,其中分母只改变模长,我们留到最后再执行,只看 A 的重复作用:



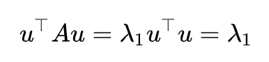
注意对于特征向量有 Aη=λη,从而:



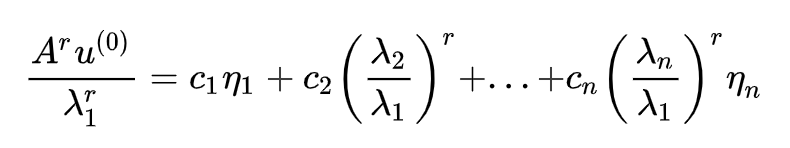
不失一般性设 λ1 为最大的特征值,那么:



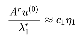
根据假设 λ2/λ1,…,λn/λ1 都小于 1,所以 r→∞ 时它们都趋于零,或者说当 r 足够大时它们可以忽略,那么就有:



先不管模长,这个结果表明当 r 足够大时,提供了最大的特征根对应的特征向量的近似方向,其实每一步的归一化只是为了防止溢出而已。这样一来就是对应的单位特征向量,即:



因此:



这就求出了谱范数的平方。


谱正则化


前面我们已经表明了 Frobenius 范数与 l2 正则化的关系,而我们已经说明了 Frobenius 范数是一个更强(更粗糙)的条件,更准确的范数应该是谱范数。虽然谱范数没有 Frobenius 范数那么容易计算,但依然可以通过式 (15) 迭代几步来做近似。 


所以,我们可以提出“谱正则化(Spectral Norm Regularization)”的概念,即把谱范数的平方作为额外的正则项,取代简单的 l2 正则项。即式 (11) 变为



Spectral Norm Regularization for Improving the Generalizability of Deep Learning [1]一文已经做了多个实验,表明“谱正则化”在多个任务上都能提升模型性能。 


在 Keras 中,可以通过下述代码计算谱范数:


def spectral_norm(w, r=5):
    w_shape = K.int_shape(w)
    in_dim = np.prod(w_shape[:-1]).astype(int)
    out_dim = w_shape[-1]
    w = K.reshape(w, (in_dim, out_dim))
    u = K.ones((1, in_dim))
    for i in range(r):
        v = K.l2_normalize(K.dot(u, w))
        u = K.l2_normalize(K.dot(v, K.transpose(w)))
    return K.sum(K.dot(K.dot(u, w), K.transpose(v)))


生成模型


WGAN


如果说在普通的监督训练模型中,L 约束只是起到了“锦上添花”的作用,那么在 WGAN 的判别器中,L 约束就是必不可少的关键一步了。因为 WGAN 的判别器的优化目标是:



这里的 Pr,Pg 分别是真实分布和生成分布,|f|L=1 指的就是要满足特定的 L 约束 |f(x1)−f(x2)|≤‖x1−x2‖(那个 C=1)。所以上述目标的意思是,在所有满足这个L约束的函数中,挑出使得最大的那个 f,就是最理想的判别器。写成 loss 的形式就是:



梯度惩罚


目前比较有效的一种方案就是梯度惩罚,即 ‖f′(x)‖=1 是 |f|L=1 的一个充分条件,那么我把这一项加入到判别器的 loss 中作为惩罚项,即:



事实上我觉得加个 relu(x)=max(x,0) 会更好:



其中采用随机插值的方式:



梯度惩罚不能保证 ‖f′(x)‖=1,但是直觉上它会在 1 附近浮动,所以 |f|L 理论上也在 1 附近浮动,从而近似达到 L 约束。


这种方案在很多情况下都已经 work 得比较好了,但是在真实样本的类别数比较多的时候却比较差(尤其是条件生成)。


问题就出在随机插值上:原则上来说,L 约束要在整个空间满足才行,但是通过线性插值的梯度惩罚只能保证在一小块空间满足。如果这一小块空间刚好差不多就是真实样本和生成样本之间的空间,那勉勉强强也就够用了,但是如果类别数比较多,不同的类别进行插值,往往不知道插到哪里去了,导致该满足 L 条件的地方不满足,因此判别器就失灵了。


思考:梯度惩罚能不能直接用作有监督的模型的正则项呢?有兴趣的读者可以试验一下。


谱归一化


梯度惩罚的问题在于它只是一个惩罚,只能在局部生效。真正妙的方案是构造法:构建特殊的 f,使得不管 f 里边的参数是什么,f 都满足 L 约束。


事实上,WGAN 首次提出时用的是参数裁剪——将所有参数的绝对值裁剪到不超过某个常数,这样一来参数的 Frobenius 范数不会超过某个常数,从而 |f|L 不会超过某个常数,虽然没有准确地实现 |f|L=1,但这只会让 loss 放大常数倍,因此不影响优化结果。参数裁剪就是一种构造法,这不过这种构造法对优化并不友好。


简单来看,这种裁剪的方案优化空间有很大,比如改为将所有参数的 Frobenius 范数裁剪到不超过某个常数,这样模型的灵活性比直接参数裁剪要好。如果觉得裁剪太粗暴,换成参数惩罚也是可以的,即对所有范数超过 Frobenius 范数的参数施加一个大惩罚,我也试验过,基本有效,但是收敛速度比较慢。


然而,上面这些方案都只是某种近似,现在我们已经有了谱范数,那么可以用最精准的方案了:将 f 中所有的参数都替换为 w/‖w‖2。这就是谱归一化(Spectral Normalization),在 Spectral Normalization for Generative Adversarial Networks [2] 一文中被提出并实验。


这样一来,如果 f 所用的激活函数的导数绝对值都不超过 1,那么我们就有 |f|L≤1,从而用最精准的方案实现了所需要的 L 约束。


注:“激活函数的导数绝对值都不超过 1”,这个通常都能满足,但是如果判别模型使用了残差结构,则激活函数相当于是 x+relu(Wx+b),这时候它的导数就不一定不超过 1 了。但不管怎样,它会不超过一个常数,因此不影响优化结果。


我自己尝试过在 WGAN 中使用谱归一化(不加梯度惩罚,参考代码见后面),发现最终的收敛速度(达到同样效果所需要的 epoch)比 WGAN-GP 还要快,效果还要更好一些。而且,还有一个影响速度的原因:就是每个 epoch 的运行时间,梯度惩罚会比用谱归一化要长,因为用了梯度惩罚后,在梯度下降的时候相当于要算二次梯度了,要执行整个前向过程两次,所以速度比较慢。


Keras实现


在 Keras 中,实现谱归一化可以说简单也可以说不简单。


说简单,只需要在判别器的每一层卷积层和全连接层都传入 kernel_constraint 参数,而 BN 层传入 gamma_constraint 参数。constraint 的写法是:


def spectral_normalization(w):
    return w / spectral_norm(w)


参考代码:


https://github.com/bojone/gan/blob/master/keras/wgan_sn_celeba.py


说不简单,是因为目前的 Keras(2.2.4 版本)中的 kernel_constraint 并没有真正改变了 kernel,而只是在梯度下降之后对 kernel 的值进行了调整,这跟论文中 spectral_normalization 的方式并不一样。如果只是这样使用的话,就会发现后期的梯度不准,模型的生成质量不佳。


为了实现真正地修改 kernel,我们要不就得重新定义所有的层(卷积、全连接、BN 等所有包含矩阵乘法的层),要不就只能修改源码了,修改源码是最简单的方案,修改文件 keras/engine/base_layer.py 的 Layer 对象的 add_weight 方法,本来是(目前是 222 行开始):


    def add_weight(self,
                   name,
                   shape,
                   dtype=None,
                   initializer=None,
                   regularizer=None,
                   trainable=True,
                   constraint=None)
:

        """Adds a weight variable to the layer.
        # Arguments
            name: String, the name for the weight variable.
            shape: The shape tuple of the weight.
            dtype: The dtype of the weight.
            initializer: An Initializer instance (callable).
            regularizer: An optional Regularizer instance.
            trainable: A boolean, whether the weight should
                be trained via backprop or not (assuming
                that the layer itself is also trainable).
            constraint: An optional Constraint instance.
        # Returns
            The created weight variable.
        """

        initializer = initializers.get(initializer)
        if dtype is None:
            dtype = K.floatx()
        weight = K.variable(initializer(shape),
                            dtype=dtype,
                            name=name,
                            constraint=constraint)
        if regularizer is not None:
            with K.name_scope('weight_regularizer'):
                self.add_loss(regularizer(weight))
        if trainable:
            self._trainable_weights.append(weight)
        else:
            self._non_trainable_weights.append(weight)
        return weight


修改为:


    def add_weight(self,
                   name,
                   shape,
                   dtype=None,
                   initializer=None,
                   regularizer=None,
                   trainable=True,
                   constraint=None)
:

        """Adds a weight variable to the layer.
        # Arguments
            name: String, the name for the weight variable.
            shape: The shape tuple of the weight.
            dtype: The dtype of the weight.
            initializer: An Initializer instance (callable).
            regularizer: An optional Regularizer instance.
            trainable: A boolean, whether the weight should
                be trained via backprop or not (assuming
                that the layer itself is also trainable).
            constraint: An optional Constraint instance.
        # Returns
            The created weight variable.
        """

        initializer = initializers.get(initializer)
        if dtype is None:
            dtype = K.floatx()
        weight = K.variable(initializer(shape),
                            dtype=dtype,
                            name=name,
                            constraint=None)
        if regularizer is not None:
            with K.name_scope('weight_regularizer'):
                self.add_loss(regularizer(weight))
        if trainable:
            self._trainable_weights.append(weight)
        else:
            self._non_trainable_weights.append(weight)
        if constraint is not None:
            return constraint(weight)
        return weight


也就是把 K.variable 的 constraint 改为 None,把 constraint 放到最后执行。注意,不要看到要改源码就马上来吐槽 Keras 封装太死,不够灵活什么的,你要是用其他框架基本上比 Keras 复杂好多倍(相对不加 spectral_normalization 的 GAN 的改动量)。



总结


本文是关于 Lipschitz 约束的一篇总结,主要介绍了如何使得模型更好地满足 Lipschitz 约束,这关系到模型的泛化能力。而难度比较大的概念是谱范数,涉及较多的理论和公式。


整体来看,关于谱范数的相关内容都是比较精巧的,而相关结论也进一步表明线性代数跟机器学习紧密相关,很多“高深”的线性代数内容都可以在机器学习中找到对应的应用。


参考文献


[1]. Spectral Norm Regularization for Improving the Generalizability of Deep Learning. Yuichi Yoshida, Takeru Miyato. ArXiv 1705.10941.

[2]. Takeru Miyato, Toshiki Kataoka, Masanori Koyama, and Yuichi Yoshida. Spectral normalization for generative adversarial networks. In ICLR, 2018.

[3]. https://en.wikipedia.org/wiki/Power_iteration




点击以下标题查看作者其他文章: 



关于PaperWeekly


PaperWeekly 是一个推荐、解读、讨论、报道人工智能前沿论文成果的学术平台。如果你研究或从事 AI 领域,欢迎在公众号后台点击「交流群」,小助手将把你带入 PaperWeekly 的交流群里。


▽ 点击 | 阅读原文 | 查看作者博客

登录查看更多
4

相关内容

WGAN主要从损失函数的角度对GAN做了改进,损失函数改进之后的WGAN即使在全链接层上也能得到很好的表现结果。
【CMU】深度学习模型中集成优化、约束和控制,33页ppt
专知会员服务
46+阅读 · 2020年5月23日
【CVPR2020】用多样性最大化克服单样本NAS中的多模型遗忘
【CVPR2020-港中文】 图像识别中的自注意力探索
专知会员服务
56+阅读 · 2020年4月29日
【CVPR2020】MSG-GAN:用于稳定图像合成的多尺度梯度GAN
专知会员服务
29+阅读 · 2020年4月6日
专知会员服务
20+阅读 · 2020年3月29日
【Nature论文】深度网络中的梯度下降复杂度控制
专知会员服务
41+阅读 · 2020年3月9日
ICLR2019 图上的对抗攻击
图与推荐
17+阅读 · 2020年3月15日
【学界】虚拟对抗训练:一种新颖的半监督学习正则化方法
GAN生成式对抗网络
10+阅读 · 2019年6月9日
虚拟对抗训练:一种新颖的半监督学习正则化方法
人工智能前沿讲习班
8+阅读 · 2019年6月9日
从动力学角度看优化算法:GAN的第三个阶段
PaperWeekly
11+阅读 · 2019年5月13日
从动力学角度看优化算法:一个更整体的视角
黑龙江大学自然语言处理实验室
8+阅读 · 2019年1月28日
从动力学角度看优化算法:自适应学习率算法
PaperWeekly
8+阅读 · 2018年12月27日
L2正则化视角下的对抗样本
论智
3+阅读 · 2018年7月8日
从最大似然到EM算法:一致的理解方式
PaperWeekly
19+阅读 · 2018年3月19日
探幽深度生成模型的两种方法:VAE和GAN
AI前线
15+阅读 · 2018年3月10日
Arxiv
9+阅读 · 2019年4月19日
Arxiv
8+阅读 · 2019年2月15日
Arxiv
8+阅读 · 2018年5月1日
Arxiv
7+阅读 · 2018年3月12日
Arxiv
5+阅读 · 2017年12月14日
VIP会员
相关资讯
ICLR2019 图上的对抗攻击
图与推荐
17+阅读 · 2020年3月15日
【学界】虚拟对抗训练:一种新颖的半监督学习正则化方法
GAN生成式对抗网络
10+阅读 · 2019年6月9日
虚拟对抗训练:一种新颖的半监督学习正则化方法
人工智能前沿讲习班
8+阅读 · 2019年6月9日
从动力学角度看优化算法:GAN的第三个阶段
PaperWeekly
11+阅读 · 2019年5月13日
从动力学角度看优化算法:一个更整体的视角
黑龙江大学自然语言处理实验室
8+阅读 · 2019年1月28日
从动力学角度看优化算法:自适应学习率算法
PaperWeekly
8+阅读 · 2018年12月27日
L2正则化视角下的对抗样本
论智
3+阅读 · 2018年7月8日
从最大似然到EM算法:一致的理解方式
PaperWeekly
19+阅读 · 2018年3月19日
探幽深度生成模型的两种方法:VAE和GAN
AI前线
15+阅读 · 2018年3月10日
相关论文
Top
微信扫码咨询专知VIP会员