博客 | 斯坦福大学—自然语言处理中的深度学习(CS 224D notes-1)

2018 年 11 月 19 日 AI研习社

本文原载于邹佳敏知乎专栏“AI的怎怎,歪歪不喜欢

关键词:自然语言处理,词向量,奇异值分解,Skip-gram模型,CBOW模型,负采样。


本文从NLP的概念出发,简述当今NLP所面临的问题,接着讨论使用数值向量的词表达,最后介绍几种词向量的常用表达方式。


一, NLP简介:

NLP的目的是通过设计算法的方式让计算机理解人类的自然语言,从而帮助人类完成指定的任务。任务通常有以下几类:

简单任务:拼写检查,关键词索引,查找同义词;

中等任务:解析网站或文档信息;

困难任务:机器翻译,语义分析,指代歧义,机器问答。

在面对不同任务时,首先也是最重要的一点:如何将词语表述成模型可接受的输入,如何计算词语间的相似程度等。词向量,很好的解决了上述问题。


二, 词向量:

英语中有1300万单词,大部分单词间都存在联系,比如,酒店和旅馆。因此,我们想将单词编码至一个向量,以至于它们可以用“词空间”内的点来表示。最直观方案,存在一个N维空间(N<<1300万),它能够表示单词的所有语义维度,则空间中的每一维代表单词在某一方面的语义。比如,构建一个3维空间(时间,阶层,性别),则国王(现在,顶级,男性),王后(现在,顶级,女性),太子(未来,顶级,男性)就可以分别用这个3维空间来表示。

为了方便理解,我们先从最简单的one-hot向量开始。one-hot将有序排列的全部单词看作整个向量空间,向量内只有0,1两种数值,如果某个单词出现在第i个位置,则向量的第i个元素是1,其他元素是0。one-hot解决了单词的表示问题,但却不能拿来计算单词间的相似度,因为,任意两个词向量间都是正交的,即内积为0,模1,相似度同样为0。

aardvark,a,at,...,zebra在语料库的one-hot表示

因此,我们需要降维词空间,尝试去找一个可以计算单词间相似度的子空间。


三, 基于SVD的方案

该类方案通常需要先遍历整个语料集,找到所有词的共现矩阵X,再对X做奇异值分解得到  。最终,U的行空间向量即为语料词库的词向量。那么,问题来了,X应该怎么选?

1, 词-文档矩阵:相似的词会在相同的文档中经常出现。

按文档粒度遍历语料库,  表示单词i出现在第j篇文档中的次数。显然X的维数是V*M,V表示词汇量,M表述文档数。这样的X不仅巨大,还会随着文档数的增加而暴增。因此,该方案是不能承受的。

2, 共现窗口矩阵:相似的词会经常一起出现。

将语料集看成整体,在一个指定大小的上下文语境窗口内,记录每个单词出现的次数。显然,X的维数是V*V,V表示词汇量。举例说明,假设语料集内有3句话:

语料库的size=3的共现窗口矩阵

对X使用SVD,得到 ,选择特征值矩阵S的前k大个特征值降维,则U对应的子矩阵就是我们需要的词向量矩阵,它是V*k维,即词典中的每个词用k维向量近似表示。

SVD后降维整个词向量空间

3, 问题和解决方案:以上2种方法得到的词向量,对语法和句法都有较好的表示。但仍存在以下5个问题和3个解决方案:

3.1.1, 矩阵X会随新词的加入或语料大小的改变而经常变化;

3.1.2, 因为大多数单词并不会经常共现,矩阵X会很稀疏;

3.1.3, 矩阵X维度极大,通常是  ;

3.1.4,  的训练时间复杂度(SVD算法);

3.1.5, 矩阵X需要预处理以应对词频间的极度不平衡。

----------------------------------------------------------

3.2.1,忽略停用词;

3.2.2,采用加权距离窗口,即基于文档中单词的距离加权共现词频;

3.2.3,使用相关系数,同时用负数替换词频0的位置。


四, 基于迭代的方案:

对上述问题,更优雅的解决方案

与存储并计算全量语料集信息不同,我们通过构建模型的方式,不断迭代,最终在给定的上下文环境中编码词的概率。

假设存在一个概率模型,它有已知参数和未知参数,每使用一个训练样本,评估并最小化模型损失,就能朝未知参数的真实估计更近一步,最终输出由已知参数和估计参数构成的模型。

1, 语言模型:Unigram,Bigram等

首先尝试计算一句话出现的概率:”the cat jumped over the puddle”,因为它完整的语法,句法和语义,优秀的语言模型会得到一个极高的概率。相反,”stock boil fish is toy“,不符常识,毫无意义,计算的概率就很低。

该模型的数学化表达:  代表第i个单词。如果每个单词都是独立出现,和它的上下文无关,则  ,这就是最简单的Unigram模型。显而易见,Unigram并没有考虑任何合理且有关联的上下文信息,更重要的是,完全错误的句子可能会被计算出极高的概率。

因此,进一步地,假定一个单词和它前面一个单词相关,该模型就变为 ,我们称它为Bigram模型,看上去很朴素,但在实践中非常好用。另外,窗口大小为1的共现窗口矩阵,可以达到相同的目的,但它需要存储和计算全量语料集。

2, 连续词袋模型(CBOW):根据指定窗口的上下文预测或生成它的中心词。

比如,根据{“the”,“cat”,“over”,“the”,“puddle”}预测或生成单词jumped。

首先,模型已知的参数,我们用one-hot向量表示整个上下文,记为  。同时,因为CBOW模型仅预测一个单词,所以输出是一个中心词的one-hot表示,记为   。

接着,模型未知的参数,我们定义矩阵,其中n是用户指定的词向量空间大小。V是输入的词矩阵,即V的第i列表示单词  的n维词向量,记为列向量  。同样,U是输出的词矩阵,即U的第j行表示单词  的n维词向量,记为行向量  。

所以,CBOW模型,本质上就是学习每个单词  的输入矩阵列向量  和输出矩阵行向量。详细而言,有以下6步:

2.1,生成以one-hot向量表示,size=m的上下文窗口输入:

2.2,初始化矩阵V,生成模型的输入词向量 :

2.3,计算上下文窗口内词向量的均值向量:

2.4,初始化矩阵U,生成得分向量

2.5,使用softmax将得分向量z转换为概率

2.6,真实的y是中心词的one-hot向量,而  是对它的预测。因此想办法找到最适合的V和U,使y和  尽可能接近,就可以达到目的。为了实现上述目标,首先需要定义目标函数。

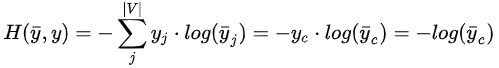
通常,概率领域的建模会使用信息理论来测量2个分布之间的距离。在CBOW模型中,我们选择交叉熵作为损失函数,即  ,y是one-hot向量,中心词  所在的位置c,值  是1,其余为0。显然,当 时,损失H最小为0,但当  时,损失H约为4.6。因此,交叉熵H给概率分布的距离计算提供了一个非常好的方法。

最优化目标函数:

CBOW的目标函数

最后,我们使用梯度下降迭代更新, 收敛到最终词向量。

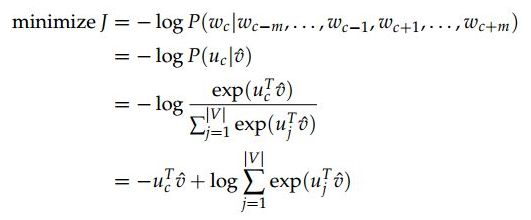
3, Skip-Gram模型:根据中心词,预测或生成它的上下文单词。

比如,根据jumped,预测或生成{“the”,“cat”,“over”,“the”,“puddle”}。

显然,交换CBOW模型的x和y,Skip-Gram模型的输入是中心词的one-hot向量x,定义输出为  。词向量矩阵V和U和CBOW模型相同。它的模型训练同样有以下6步:

3.1,生成以one-hot向量表示,中心词c的词向量x;

3.2,初始化矩阵V,生成模型的输入词向量

3.3,因为输入只有1个中心词,无需均值化,

3.4,初始化矩阵U,类比 ,生成2m个得分向量 :

3.5,使用softmax将每个得分向量都转换为概率:

3.6,最小化softmax概率和真实  间的损失函数;

值得注意的是,Skip-Gram的目标函数需要建立在朴素贝叶斯的条件概率独立的假设上,即,除了中心词,所有的上下文词都相互独立。

Skip-Gram的目标函数

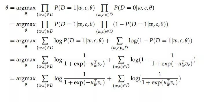
4, 负采样

上述损失函数的|V|极大,任何一步的迭代和更新都会花费O(|V|)时间,一个直观的优化,就是去近似迭代它。

对每一次迭代,我们并不会遍历整个词库,而只是选取几个反例而已。具体而言,我们从一个噪音分布  中随机选择反例样本,其概率通常设定为语料库各词频的3/4次幂,我们将它称作负采样。假设,is在语料库的词频是0.9,Constitution是0.09,bombastic是0.01,其各自的3/4次幂分别是0.92,0.16和0.032。因此,使用3/4次幂负采样到bombastic的概率相比之前增大3倍。即,相对而言,低频词更容易被采样到。

基于负采样的Skip-Gram模型的优化目标和常规Skip-Gram不同。考虑一对中心词和上下文(w,c),P(D=1|w,c)表示(w,c)出自训练语料集的概率,P(D=0|w,c)则表示(w,c)不在训练语料集中的概率。因此,我们的目标函数就变成,当(w,c)确实在语料集中时,最大化P(D=1|w,c),但当(w,c)不在语料中时,最大化P(D=0|w,c)即可。在这种场景下我们选用最大似然函数的求解目标函数。

我们使用sigmoid函数对P(D=1|w,c)建模,即, 是模型未知参数的同时,也是我们前文提到的V和U。定义,  表示“错误”或“负”的语料组合,比如“stock boil fish is toy”等,它是按P_n(w)采样出的K个错误表达。因此,具体的目标函数如下:

基于负采样的Skip-Gram目标函数

登录查看更多
5

相关内容

【斯坦福CS520】向量空间中嵌入的知识图谱推理,48页ppt
专知会员服务
104+阅读 · 2020年6月11日
斯坦福大学经典《自然语言处理cs224n》2020课件合集
专知会员服务
97+阅读 · 2020年5月25日
NLP基础任务:文本分类近年发展汇总,68页超详细解析
专知会员服务
58+阅读 · 2020年1月3日
【斯坦福&Google】面向机器人的机器学习,63页PPT
专知会员服务
26+阅读 · 2019年11月19日
了解情感分析中的NLP技术么?
七月在线实验室
9+阅读 · 2019年4月12日
NLP is hard! 自然语言处理太难了系列
AINLP
8+阅读 · 2019年1月24日
自然语言处理中的词表征(第二部分)
AI研习社
3+阅读 · 2018年12月31日
中文NLP用什么?中文自然语言处理的完整机器处理流程
人工智能头条
61+阅读 · 2018年9月5日
基础|Word2vec的原理介绍
全球人工智能
10+阅读 · 2018年1月4日
干货 | 自然语言处理(1)之聊一聊分词原理
机器学习算法与Python学习
5+阅读 · 2017年12月7日
深度学习 | 利用词嵌入对文本进行情感分析
沈浩老师
11+阅读 · 2017年10月19日
Arxiv
20+阅读 · 2020年6月8日
Arxiv
3+阅读 · 2018年1月31日
VIP会员
相关资讯
了解情感分析中的NLP技术么?
七月在线实验室
9+阅读 · 2019年4月12日
NLP is hard! 自然语言处理太难了系列
AINLP
8+阅读 · 2019年1月24日
自然语言处理中的词表征(第二部分)
AI研习社
3+阅读 · 2018年12月31日
中文NLP用什么?中文自然语言处理的完整机器处理流程
人工智能头条
61+阅读 · 2018年9月5日
基础|Word2vec的原理介绍
全球人工智能
10+阅读 · 2018年1月4日
干货 | 自然语言处理(1)之聊一聊分词原理
机器学习算法与Python学习
5+阅读 · 2017年12月7日
深度学习 | 利用词嵌入对文本进行情感分析
沈浩老师
11+阅读 · 2017年10月19日
Top
微信扫码咨询专知VIP会员