CVPR 2022 Oral | 大连理工提出SCI:快速、超强的低光照图像增强方法

2022 年 6 月 11 日 CVer

点击下方卡片,关注“CVer”公众号

AI/CV重磅干货,第一时间送达

点击进入—> CV 微信技术交流群


Toward Fast, Flexible, and Robust Low-Light Image Enhancement

论文:https://arxiv.org/abs/2204.10137

代码:https://github.com/vis-opt-group/SCI


本文提出了一种全新的低光照图像增强方案:自校准光照学习(SCI)。通过构建引入自校准模块的权重共享光照学习过程,摒弃了网络结构的繁杂设计过程,实现了仅使用简单操作进行增强的目的。大量实验结果表明,SCI在视觉质量、计算效率、下游视觉任务应用方面均取得了突破(见图1)。该研究已被CVPR 2022收录为Oral。


图1 本文提出方法与其他方法的结果对比

研究背景


低光照图像增强作为图像处理中的经典任务,在学术界与工业界均受到了广泛关注。2018-2020年连续举办三届的UG2+Prize Challenge比赛将低光照人脸检测作为主竞赛单元,极大程度推动了学术界对于低光照图像增强技术的研究。某手机厂商于2019年发布会上将暗光拍摄能力作为主打亮点,掀起了工业界利用深度学习技术解决低光照图像增强的又一波浪潮。


现有的低光照图像增强技术聚焦于构建数据驱动的深度网络,通常其网络模型复杂,导致计算效率低、推理速度慢,并且由于对于训练数据分布的依赖性导致其在未知场景下的性能缺乏保障。总的来说,现有技术普遍缺乏实用性。为解决以上问题,本文致力于从学习策略入手,构建一种快速、灵活与稳健的低光照图像增强方案。


本文方法


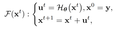
(1)权重共享的光照学习

根据Retinex理论,低光照观测图像等于清晰图像与光照的点乘,即。在基于该模型设计的方法中,光照的估计通常被视为主要的优化目标,得到精确的光照后,清晰图像能够上述关系直接得到。受现有工作的逐阶段光照优化过程启发,本文构建渐进式的光照优化过程,其基本单元如下所示:

其中分别表示第t阶段的残差与光照。表示光照估计网络。需要注意的是这里与阶段数无关,即在每一阶段光照估计网络均保持结构与参数共享状态。进一步理解该模块能够发现,在渐进式优化与参数共享机制下,每个阶段均希望得到与目标接近的输出。换句话说,是否存在一种可能,能够令每个阶段的输出尽可能接近且与目标一致,这样一来,多阶段级联测试变为单阶段测试,将大幅减少推理代价。为实现该目标,如下引入了一种自校准模块。


图2 本文算法流程图

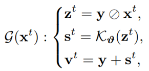
(2)自校准模块


该模块的目的在于从分析每个阶段之间的关系入手,确保在训练过程中的不同阶段的输出均能够收敛到相同的状态。自校准模块的公式表达如下所示:



其中是校准后的用于下一阶段的输入。也就是说,原本的光照学习过程中第二阶段及以后的输入变成了由上述公式得到的结果(总的计算流程如图2所示),即光照优化过程的基本单元被重新公式化为:


实际上,该自校准模块通过引入物理规律(即Retinex理论),逐步校正了每一阶段的输入来间接地影响了每一阶段的输出,进而实现了阶段间的收敛。图3探究了自校准模块的作用,可以发现,自校准模块的引入使得不同阶段的结果能够很快地收敛到相同状态(即三个阶段的结果重合)。


图3 关于测试阶段是否采用自校准模块的增强结果t-SNE分布对比(阶段数为3)


(3)无监督损失函数


为了更好地训练提出的学习框架,该部分设计了一种无监督损失函数,以约束每一阶段的光照估计,公式表示如下:


其中前一项与后一项分别代表数据保真项及平滑正则项(关于各个变量的详细说明请参见论文)。


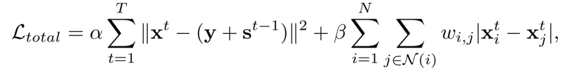
实验结果


(1)定量分析


表1展示了在著名的MIT-Adobe FiveK数据集上的定量结果对比,可以看出,提出方法取得了最优性能。值得注意的是,尽管提出方法为无监督方法,但其在PSNR与SSIM这类有参考指标上的结果均实现了最优,究其原因在于该数据集的Ground Truth是由专家修饰得到的,也说明了提出方法生成的结果更符合人类视觉习惯。


表1 在MIT-Adobe FiveK数据集上的定量结果对比


(2)真实场景下的视觉对比


图4展示了两组在有难度的真实场景下的增强结果对比。可以看出,相比于其他的方法,提出方法的增强结果亮度适中、细节丰富、色调自然、具有更高的视觉质量。

图4 真实场景下的增强结果对比


(3)下游任务性能分析


为了进一步探究SCI的优势,本文比较了在低光照人脸检测与夜间语义分割两个下游任务的性能。在低光照人脸检测任务中,定义了两种与SCI相关的版本,一种是将SCI作为预处理来实现数据的亮度增强(其他对比方法采用相同方式)并在该数据基础上微调检测网络,另一种是SCI与检测网络联合微调(记为SCI+)。图5中展示了检测结果,可以看出,本文提出的方法具有明显优势,能够检测出更多的小目标。


图5 低光照人脸检测结果对比


图6展示了夜间语义分割性能,可以看出,SCI获得了有竞争的数值结果,同时在类别划分上更准确,边缘刻画更清晰。


图6 夜间语义分割结果对比


总结与展望


本文提出的SCI在图像质量和推理速度方面均取得了突破,为低光照图像增强任务的解决提供了一种新的视角,即如何在有限资源下赋予网络模型更强的刻画能力,该种视角相信也能够为其他相关视觉增强领域带来启发。未来,作者将继续探究如何设计更有效的学习手段来建立轻量、鲁棒、面向更具有挑战真实场景的低光照图像增强方案。


点击进入—> CV 微信技术交流群


ICCV和CVPR 2021论文和代码下载


后台回复:CVPR2021,即可下载CVPR 2021论文和代码开源的论文合集

后台回复:ICCV2021,即可下载ICCV 2021论文和代码开源的论文合集

后台回复:Transformer综述,即可下载最新的3篇Transformer综述PDF


目标检测和Transformer交流群成立


扫描下方二维码,或者添加微信:CVer6666,即可添加CVer小助手微信,便可申请加入CVer-目标检测或者Transformer 微信交流群。另外其他垂直方向已涵盖:目标检测、图像分割、目标跟踪、人脸检测&识别、OCR、姿态估计、超分辨率、SLAM、医疗影像、Re-ID、GAN、NAS、深度估计、自动驾驶、强化学习、车道线检测、模型剪枝&压缩、去噪、去雾、去雨、风格迁移、遥感图像、行为识别、视频理解、图像融合、图像检索、论文投稿&交流、PyTorch、TensorFlow和Transformer等。


一定要备注:研究方向+地点+学校/公司+昵称(如目标检测或者Transformer+上海+上交+卡卡),根据格式备注,可更快被通过且邀请进群


▲扫码或加微信: CVer6666,进交流群


CVer学术交流群(知识星球)来了!想要了解最新最快最好的CV/DL/ML论文速递、优质开源项目、学习教程和实战训练等资料,欢迎扫描下方二维码,加入CVer学术交流群,已汇集数千人!


扫码进群

▲点击上方卡片,关注CVer公众号

整理不易,请点赞和在看

登录查看更多
1

相关内容

专知会员服务
18+阅读 · 2021年5月23日
​【CVPR 2021】半监督视频目标分割新算法,实现SOTA性能
专知会员服务
13+阅读 · 2021年4月26日
【CVPR2021】探索图像超分辨率中的稀疏性以实现高效推理
【CVPR2021】基于Transformer的视频分割领域
专知会员服务
38+阅读 · 2021年4月16日
CVPR 2021 Oral | 室内动态场景中的相机重定位
专知会员服务
16+阅读 · 2021年4月12日
专知会员服务
39+阅读 · 2021年3月29日
近期必读的9篇 CVPR 2019【视觉目标跟踪】相关论文和代码
近期必读的5篇 CVPR 2019【图卷积网络】相关论文和代码
专知会员服务
33+阅读 · 2020年1月10日
五篇 ICCV 2019 的【图神经网络(GNN)+CV】相关论文
专知会员服务
15+阅读 · 2020年1月9日
一文看尽 CVPR 2022 最新 20 篇 Oral 论文
极市平台
1+阅读 · 2022年4月8日
CVPR 2020 论文大盘点-图像增强与图像恢复篇
计算机视觉life
36+阅读 · 2020年7月10日
论文盘点:CVPR 2019 - 文本检测专题
PaperWeekly
14+阅读 · 2019年5月31日
国家自然科学基金
5+阅读 · 2015年12月31日
国家自然科学基金
1+阅读 · 2015年12月31日
国家自然科学基金
0+阅读 · 2013年12月31日
国家自然科学基金
0+阅读 · 2013年12月31日
国家自然科学基金
0+阅读 · 2013年12月31日
国家自然科学基金
0+阅读 · 2012年12月31日
国家自然科学基金
1+阅读 · 2012年12月31日
国家自然科学基金
0+阅读 · 2011年12月31日
Arxiv
0+阅读 · 2022年8月1日
VIP会员
相关VIP内容
专知会员服务
18+阅读 · 2021年5月23日
​【CVPR 2021】半监督视频目标分割新算法,实现SOTA性能
专知会员服务
13+阅读 · 2021年4月26日
【CVPR2021】探索图像超分辨率中的稀疏性以实现高效推理
【CVPR2021】基于Transformer的视频分割领域
专知会员服务
38+阅读 · 2021年4月16日
CVPR 2021 Oral | 室内动态场景中的相机重定位
专知会员服务
16+阅读 · 2021年4月12日
专知会员服务
39+阅读 · 2021年3月29日
近期必读的9篇 CVPR 2019【视觉目标跟踪】相关论文和代码
近期必读的5篇 CVPR 2019【图卷积网络】相关论文和代码
专知会员服务
33+阅读 · 2020年1月10日
五篇 ICCV 2019 的【图神经网络(GNN)+CV】相关论文
专知会员服务
15+阅读 · 2020年1月9日
相关基金
国家自然科学基金
5+阅读 · 2015年12月31日
国家自然科学基金
1+阅读 · 2015年12月31日
国家自然科学基金
0+阅读 · 2013年12月31日
国家自然科学基金
0+阅读 · 2013年12月31日
国家自然科学基金
0+阅读 · 2013年12月31日
国家自然科学基金
0+阅读 · 2012年12月31日
国家自然科学基金
1+阅读 · 2012年12月31日
国家自然科学基金
0+阅读 · 2011年12月31日
Top
微信扫码咨询专知VIP会员