局部连接来减参,权值共享肩并肩(深度学习入门系列之十一)

2017 年 8 月 23 日 云栖社区 云栖社区

摘要:《战狼2》中吴京的那句“那他妈是以前!”令人热血沸腾。在以前,全连接网络的扩展性很差,原因就在于它难以承受参数太多之痛。但当卷积神经网络兴起后,我们也可以说一句,“那他妈是以前!”因为现在我们有了“局部连接”和“权值共享”。来,看看它们是如何工作的吧?


【版权声明】转载请注明出处和作者署名。否则作者和云栖社区有权追究责任。


系列文章



很多年前,著名物理学家爱因斯坦说过一句名言:Everything should be made as simple as possible, but not simpler(越简单越好,但是还不能过分简单)。”是的,只有名人才能说名言。如果这句话是我的说的,你可能认为这不是废话吗?


我把爱老爷子搬出来,自然不是想唬你,而是因为他的名言和我们今天要讲的主题有点相关。我们知道,相比于全连接的前馈网络,卷积神经网络的结构要简单得多,可是它并不是那么简单,否则也不会有这么多初学者对卷积神经网络“望而生畏”。


卷积神经网络之所以这么成功,套用爱老爷子的观点来说,它简单得“恰如其分”。在前面的章节中,我们重点讨论了卷积的概念以及卷积核在图像处理中的应用。在本章,我们将重点讨论它“恰如其分”的拓扑结构,一旦理解清楚它的设计原理,再动手在诸如Theano或Keras等深度学习框架下,写个卷积神经网络的实战小Demo,聪慧如你,一定不在话下。


卷积神经网络的拓扑结构

下面我们先感性认识一下卷积神经网络中的几个重要结构,如图11-1所示。在不考虑输入层的情况下,一个典型的卷积神经网络通常由若干个卷积层(Convolutional Layer)、激活层(Activation Layer)、池化层(Pooling Layer)及全连接层(Fully Connected Layer)组成。


图11-1  典型卷积神经网络的结构


下面先给予简单地介绍,后文会逐个进行详细介绍:


  • 卷积层:这个是卷积神经网络的核心所在(作为数学概念,我们在第10章已做了详细介绍。不熟悉的读者可前往查阅 )。在卷积层,通过实现“局部感知”和“权值共享”等系列的设计理念,可达到两个重要的目的:对高维输入数据实施降维处理和实现自动提取原始数据的核心特征。


  • 激活层:其作用是将前一层的线性输出,通过非线性激活函数处理,从而可模拟任意函数,进而增强网络的表征能力。在深度学习领域,ReLU(Rectified-Linear Unit,修正线性单元)是目前使用较多的激活函数,原因是它收敛更快,且不会产生梯度消失问题。


  • 池化层:亦称亚采样层(Subsampling Layer)。简单来说,利用局部相关性,“采样”在较少数据规模的同时保留了有用信息。巧妙的采样还具备局部线性转换不变性,从而增强卷积神经网络的泛化处理能力。


  • 全连接层:这个网络层相当于传统的多层感知机(Multi-Layer Perceptron,简称MLP,例如我们已经讲解过的BP算法)。通常来说,“卷积-激活-池化”是一个基本的处理栈,通过多个前栈处理之后,待处理的数据特性已有了显著变化:一方面,输入数据的维度已下降到可用“全连接”网络来处理了;另一方面,此时全连接层的输入数据已不再是“泥沙俱下、鱼龙混杂”,而是经过反复提纯过的结果,因此最后输出的结果要可控得高。


事实上,我们还可以根据不同的业务需求,构建出不同拓扑结构的卷积神经网络,常见架构模式如图11-2所示。


11-2 卷积神经网络的拓扑结构


也就是说,可以先由m个卷积层和激活层叠加,然后(可选)进行一次池化操作,重复这个结构n次,最后叠加k个全连接层(m, n, k ≥ 1)。总体来讲,卷积神经网络通过多层处理,逐渐将初始的“低层”特征表示,转化为“高层”特征表示,之后再用“简单模型”即可完成复杂的分类等学习任务。因此在本质上,深度学习就是一个“特征学习(feature learning)”或“表示学习(representation learning)”。


下面我们将一一讲解卷积神经网络中这几个层的设计理念。在讲解之前,我们有必要补充介绍一下大名鼎鼎的CIFAR-10图像集,因为后面的案例会频频用到这个数据集。


不得不提的 CIFAR-10图像集

CIFAR-10最早是由Hinton教授带领他的两名学生Alex Krizhevsky与Vinod Nair等人一起收集的微型图像集。该图像集由60,000张32×32的RGB彩色图片构成,共10个大分类,其中50,000张图片用作训练,另外随机抽取10,000张用作测试(交叉验证)。如图11-3所示。


图11-3 从CIFAR-10随机抽取的10类图像


CIFAR-10最大的特点莫过于,它将识别的范围扩大到普适物体。相比于已经非常成熟的人脸识别,普适物体的识别更具有挑战性,因为普适图像数据集中含有各样各异的特征,甚至噪声,而且图像中的物体大小比例不一,这些都无疑增加了普适物体判别的难度。


CIFAR-10在深度学习等领域非常有影响力。这是因为它是很多人 “深度学习”实战的起点(比如说,Theano、TensorFlow等深度学习框架都常用到这个数据集来做实战练习)。它的存在,在客观上加速推动了“深度学习”的普及进程。可以说,Hinton教授的功劳,不仅仅体现他对深度学习算法的创新上,还体现于他对深度学习的普及上。

卷积层的3个核心概念

有了上面的工作的铺垫,下面我们来聊聊卷积层的三个核心概念:局部连接、空间位置排列及权值共享。


局部连接


前面我们也提到过,全连接的前馈神经网络有个非常致命的缺点,那就是可扩展性(Scalability)非常差。原因非常简单,网络规模一大,需要调参的个数以神经元数的平方倍增,导致它难以承受参数太多之痛。


局部连接(Local Connectivity)在能某种程度上缓解这个“参数之痛”。下面我们以CIFAR-10图像集为输入数据,来探究一下局部连接的工作原理。


通过前面的介绍可知,每一幅CIFAR-10图像都是32×32×3的RGB图像。对于隐藏层的某个神经元,如果是全连接前馈网络中,它不得不和前一层的所有神经元(32×32)都保持连接。


但现在,对于卷积神经网络而言,隐藏层的这个神经元仅仅需要与前向层的部分区域相连接。这个局部连接区域有个特别的名称叫“感知域(receptive field)”,其大小等同于卷积核的大小(比如说5×5),如图11-4所示。相比于原来的32×32连接个数,变成现在的5×5个连接,连接的数量自然是稀疏得多,因此,局部连接也被称为“稀疏连接(Sparse Connectivity)”。


图11-4  局部连接示意图


但需要注意的是,这里的稀疏连接,仅仅是指卷积核的感知域(5×5)相对于原始图像的高度和宽度(32×32)而言的。卷积核的深度(depth)则需要与原始数据保持一致,不能缩减。在这里,卷积核的深度实际上就是卷积核的个数。对于RGB图像而言,如果我们需要在红色、蓝色和绿色等三个通道提取特征,那么卷积核个数就是3)。所以对于隐藏层的某个神经元,它的前向连接个数是由全连接的32×32×3个,通过卷积操作,减少到局部连接的到5×5×3个。


请读者思考,为了提取更多特征,如果卷积核的深度不是3个,而是100个,又会发生什么?很显然,这样一来的话,局部连接带来的参数个数减少量,就要大打折扣。


空间排列


在讲解完毕局部连接的原理之后。下面我们来谈谈决定卷积层的空间排列(Spatial arrangement)的4个参数,它们分别是:卷积核的大小、深度、步幅及补零。其中,卷积核的大小(通常多是3×3或5×5的方矩阵)我们已经在第10章讨论了,这里仅仅对另外三个结构进行说明。


(1)卷积核的深度(depth):卷积核的深度对应的是卷积核的个数。每个卷积核只能提取输入数据的部分特征。每一个卷积核与原始输入数据执行卷积操作,会得到一个卷积特征,这样的多个特征汇集在一起,我们称为特征图谱。在图11-1所示的示例中(左上部),我们使用三个不同的滤波器(即卷积核)对原始图像进行卷积操作,这样就可以生成三个不同的特征图。你可以把这三个特征图看作是堆叠在一起的2D(二维)矩阵。


事实上,每个卷积核提取的特征都有各自的侧重点。因此,通常说来,多个卷积核的叠加效果要比单个卷积核的分类效果要好得多。例如在2012年的ImageNet竞赛中,Hinton教授和他的学生Krizhevsky等人打造了第一个“大型的深度卷积神经网络”,也即现在众所周知的AlexNet。在这个夺得冠军的深度学习算法中,他们使用的卷积核高达96个!可以说,自那时起,深度卷积神经网络一战成名,才逐渐被世人瞩目。


(2)步幅(stride):即滤波矩阵在输入矩阵上滑动跨越的单元个数。设步幅大小为S,当S为1时,滤波器每次移动一个像素的位置。当S为2时,每次移动滤波器会跳过2个像素。S越大,卷积得到特征图就越小。以一维数据为例,当卷积核为[1,0,-1],输入矩阵为[0, 1, 2, -1, 1, -3, 0]时,图11-5显示了步幅分别为1和2卷积层的神经元分布情况。


图11-5  当步幅为1和2时,输入层和卷积层的神经元空间分布


(3)补零(zero-padding):补零操作通常用于边界处理。在有些场景下,卷积核的大小并不一定刚好就被输入数据矩阵的维度大小乘除。因此,就会出现卷积核不能完全覆盖边界元素的情况。这时,我们就需要在输入矩阵的边缘使用零值进行填充,使得在输入矩阵的边界处的大小刚好和卷积核大小匹配。这样做的结果,相当于对输入图像矩阵的边缘进行了一次滤波。零填充的好处在于,它可以让我们控制特征图的大小。使用零填充的卷积叫做泛卷积(wide convolution),不适用零填充的叫做严格卷积(narrow convolution)。


下面我们举例说明这个概念。假设步幅S的大小为2,为了简单起见,我们假设输入数据为一维矩阵 [0, 1, 2, -1, 1, -3],卷积核为[1, 0, -1],在卷积核滑动两次之后,此时输入矩阵边界多余一个“-3”,不够滑动第3次,如图11-6-(a)所示。此时,便可以在输入矩阵填入额外的0元素,使得输入矩阵变成[0, 1, 2, -1, 1, -3, 0],这样一来,所有数据都能得到处理,如图11-6-(b)所示。。


图11-6  在输入矩阵边界处补零


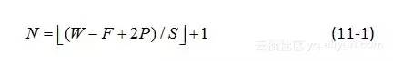
综上所述,在构造卷积层时,对于给定的输入数据,如果确定了卷积核的大小,卷积核的深度(个数)、步幅以及补零个数,那么卷积层的空间安排就能确定下来。以一维数据为例,假设数据的大小(数据元素的长度)为W,卷积核的深度为F,步幅大小为S,补零的数目为P,那么对于每个卷积核,在它与输入数据实施卷积操作后得到特征图谱,它包含的神经元个数N可以用(11-1)公式计算得到。



对于高维数据而言,对每一个维度的数据均按照(11-1)计算即可。


权值共享


卷积层设计的第三个核心概念就是权值共享(Shared Weights),由于这些权值实际上就是不同神经元之间的连接参数,所以有时候,也将权值共享称为参数共享(Parameter Sharing)。


为什么要设置权值共享呢?其实这也是无奈之举。前文我们提到,通过局部连接处理后,神经元之间的连接个数已经有所减少。可到底减少多少呢?还以CIFAR-10数据集合为例,一个原始的图像大小为32×32×3,假设我们有100个卷积核,每个卷积核的大小为5×5×3,步幅为1,没有补零。先单独考虑一个卷积核,将公式11-1扩展到二维空间,可以很容易计算得到每一个卷积核对应的特征图谱大小是28×28。也就是说,这个特征图谱对应有28×28神经元。而每个神经元以卷积核大小(5×5×3)连接前一层的“感知域(receptive field)”,也就是说,它的连接参数个数为(28×28)×(5×5×3)。如果考虑所有的100个卷积核,(在不考虑偏置参数的情况下)连接的参数个数为(5×5×3)×(28×28)×100 = 5,888,000。


那么全连接的参数个数又是多少呢?仅仅考虑两层网络的情况下,其连接个数为(32×32×3)×(32×32×3)=9,437,184。对比这二者的数字可以发现,局部连接虽然降低了连接的个数,但整体幅度并不大,需要调节的参数个数依然非常庞大,因此还是无法满足高效训练参数的需求。


而权值共享就是来解决这个问题的,它能显著降低参数的数量。该如何理解权值共享呢?首先从生物学意义上来看,相邻神经元的活性相似,从而可以它们共享相同的连接权值。


其次单从数据特征上来看,我们可以把每个卷积核(即过滤核)当作一种特征提取方式,而这种方式与图像等数据的位置无关。这就意味着,对于同一个卷积核,它在一个区域提取到的特征,也能适用于于其他区域。基于权值共享策略,将卷积层神经元与输入数据相连,同属于一个特征图谱的神经元,将共用一个权值参数矩阵,如图11-8所示。经过权值共享处理后,CIFAR-10的连接参数一下子锐减为5×5×3×1×100 = 7500。


11-7 权值共享策略


权值共享保证了在卷积时只需要学习一个参数集合即可,而不是对每个位置都再学习一个单独的参数集合。因此参数共享也被称为绑定的权值(tied weights)。


小节与思考

在本章,我们讨论了卷积神经网络的拓扑结构,并重点讲解了卷积层的设计动机和卷积层的3个核心概念:空间位置排列、局部连接和权值共享。前者确定了神经网络的结构参数,而局部连接和权值共享等策略显著降低了神经元之间的连接数。示意图11-8演示了三种不同的连接类型带来的参数变化,从图中可以看出,全连接(不包括偏置的权值连接)的参数为18个,局部连接为7个,而权值共享的参数为3个(即红绿蓝线分别共用一个参数)。


图11-8 神经元连接的三种类型


通过上面的学习,请你思考如下问题:


(1)虽然局部连接、权值共享等策略大大降低了卷积层与输入层之间的权值调整个数,但并没有提升网络的前向传播速度,你知道为什么吗?


(2)前文我们提到“肤浅而全面”的全连接,不如“深邃而局部”部分连接。在2016年商汤科技团队在ImageNet图片分类比赛中勇夺冠军,其网络深度已达到1207层。那么,深度学习是不是越深越好?为什么?广度学习就没有未来吗?


在下一讲中,我们将讲解卷积神经网络的剩余部分:池化层、激活层和全连接层。请你关注。

参考文献

[1] 张玉宏. 云栖社区. 全面连接困何处,卷积网络见解深(深度学习入门系列之九)

[2] 张玉宏. 云栖社区. BP算法双向传,链式求导最缠绵(深度学习入门系列之八)

[3] 周志华.机器学习.清华大学出版社.2016.1

[4] The CIFAR-10 dataset.http://www.cs.toronto.edu/~kriz/cifar.html

[5] 黄安埠. 深入浅出深度学习.中国工信出版社.2017.6


(未完待续)


详细内容需点击左下角【阅读原文】进入查看


往期精彩文章

0 自然语言理解-从规则到深度学习

1 阿里电商架构演变之路

2 LSTM长短记,长序依赖可追忆(深度学习入门系列之十四)

3 四个关键词,50+篇干货好文帮你掌握大数据!

4 解析日活从0到千万的数据库架构演进,揭秘阿里自研数据库原理:一线案例,不可错过!


-END-

云栖社区

ID:yunqiinsight

云计算丨互联网架构丨大数据丨机器学习丨运维



点击“阅读原文”


登录查看更多
4

相关内容

在数学(特别是功能分析)中,卷积是对两个函数(f和g)的数学运算,产生三个函数,表示第一个函数的形状如何被另一个函数修改。 卷积一词既指结果函数,又指计算结果的过程。 它定义为两个函数的乘积在一个函数反转和移位后的积分。 并针对所有shift值评估积分,从而生成卷积函数。
一份简短《图神经网络GNN》笔记,入门小册
专知会员服务
226+阅读 · 2020年4月11日
【CVPR2020】图神经网络中的几何原理连接
专知会员服务
57+阅读 · 2020年4月8日
卷积神经网络的概述论文:分析、应用和展望,21页pdf
专知会员服务
91+阅读 · 2020年4月7日
Python数据分析:过去、现在和未来,52页ppt
专知会员服务
103+阅读 · 2020年3月9日
【电子书】让 PM 全面理解深度学习 65页PDF免费下载
专知会员服务
18+阅读 · 2019年10月30日
复旦大学邱锡鹏老师《神经网络与深度学习》书册最新版
神经网络与深度学习,复旦大学邱锡鹏老师
专知会员服务
122+阅读 · 2019年9月24日
卷积神经网络数学原理解析
算法与数学之美
20+阅读 · 2019年8月23日
从零开始深度学习:利用numpy手写一个感知机
数萃大数据
10+阅读 · 2018年6月10日
深度学习、图像识别入门,从VGG16卷积神经网络开始
数据挖掘入门与实战
8+阅读 · 2018年3月28日
入门 | 一文看懂卷积神经网络
机器之心
5+阅读 · 2018年2月20日
通俗理解卷积神经网络(小学生都能看懂)
七月在线实验室
9+阅读 · 2018年1月25日
深度学习之CNN简介
Python技术博文
20+阅读 · 2018年1月10日
干货 | 深度学习之卷积神经网络(CNN)的前向传播算法详解
机器学习算法与Python学习
9+阅读 · 2017年11月17日
入门 | 一文概览深度学习中的激活函数
机器之心
7+阅读 · 2017年11月2日
卷积神经网络(CNN)学习笔记1:基础入门
黑龙江大学自然语言处理实验室
14+阅读 · 2016年6月16日
Meta-Learning to Cluster
Arxiv
18+阅读 · 2019年10月30日
Generalization and Regularization in DQN
Arxiv
6+阅读 · 2019年1月30日
Arxiv
22+阅读 · 2018年2月14日
Arxiv
5+阅读 · 2018年1月17日
VIP会员
相关VIP内容
一份简短《图神经网络GNN》笔记,入门小册
专知会员服务
226+阅读 · 2020年4月11日
【CVPR2020】图神经网络中的几何原理连接
专知会员服务
57+阅读 · 2020年4月8日
卷积神经网络的概述论文:分析、应用和展望,21页pdf
专知会员服务
91+阅读 · 2020年4月7日
Python数据分析:过去、现在和未来,52页ppt
专知会员服务
103+阅读 · 2020年3月9日
【电子书】让 PM 全面理解深度学习 65页PDF免费下载
专知会员服务
18+阅读 · 2019年10月30日
复旦大学邱锡鹏老师《神经网络与深度学习》书册最新版
神经网络与深度学习,复旦大学邱锡鹏老师
专知会员服务
122+阅读 · 2019年9月24日
相关资讯
卷积神经网络数学原理解析
算法与数学之美
20+阅读 · 2019年8月23日
从零开始深度学习:利用numpy手写一个感知机
数萃大数据
10+阅读 · 2018年6月10日
深度学习、图像识别入门,从VGG16卷积神经网络开始
数据挖掘入门与实战
8+阅读 · 2018年3月28日
入门 | 一文看懂卷积神经网络
机器之心
5+阅读 · 2018年2月20日
通俗理解卷积神经网络(小学生都能看懂)
七月在线实验室
9+阅读 · 2018年1月25日
深度学习之CNN简介
Python技术博文
20+阅读 · 2018年1月10日
干货 | 深度学习之卷积神经网络(CNN)的前向传播算法详解
机器学习算法与Python学习
9+阅读 · 2017年11月17日
入门 | 一文概览深度学习中的激活函数
机器之心
7+阅读 · 2017年11月2日
卷积神经网络(CNN)学习笔记1:基础入门
黑龙江大学自然语言处理实验室
14+阅读 · 2016年6月16日
Top
微信扫码咨询专知VIP会员