李克强:智能车辆运动控制研究综述

2017 年 10 月 17 日 厚势 李克强教授


厚势按:本文为清华大学汽车工程系郭景华博士后、李克强教授、罗禹贡博士发表在 2016 年第 2 期《汽车安全与节能学报》上发表的关于自动驾驶汽车运动控制的综述论文。


在昨天推送的文章同济汽车余卓平教授:无人车运动规划算法综述》中,主要讲述自动驾驶汽车生成运动轨迹的算法,今天推送的文章将介绍轨迹生成之后,如何迹进行跟踪控制的算法,两者具有逻辑上的连贯性。


「轨迹跟踪控制」是指以车辆姿态作为控制输入,实际轨迹作为状态变量,期望轨迹(通过算法生成)作为参考状态,跟踪车辆轨迹,规划模块输出的行驶轨迹,包括位置、航向和速度。



智能车辆是车辆工程领域的研究前沿和未来汽车工业发展的新方向,其智能化集中体现在智能安全驾驶方面。严峻的交通安全、能源浪费和环境污染等问题,使得智能车辆作为智能交通系统的一个重要组成部分日益受到重视。


运动控制是智能车辆研究领域中的核心问题之一,指根据当前周围环境和车体位移、姿态、车速等信息,按照一定的逻辑做出决策,并分别向油门、制动及转向等执行系统发出控制指令。运动控制作为智能车辆实现自主行驶的关键环节,其研究内容主要包括 横向控制纵向控制

  • 横向控制主要研究智能车辆的路径跟踪能力,即如何控制车辆沿规划的路径行驶,并保证车辆的行驶安全性、平稳性与乘坐舒适性;

  • 纵向控制主要研究智能车辆的速度跟踪能力,控制车辆按照预定的速度巡航或与前方动态目标保持一定的距离。


智能车辆具有参数不确定性、时滞及高度非线性动态特性等特点,为典型的多输入-多输出复杂耦合动力学系统,如何构建可处理其时滞及高度非线性等特性的运动控制方法是实现智能车辆自主行驶的重点和难点,且始终是智能车辆研究领域的热点。


本文介绍了近十几年来国内外智能车辆运动控制技术的研究和应用发展状况,并且对未来智能车辆运动控制的研究思路进行了展望,为今后提升智能车辆综合性能奠定基础。



1. 智能车辆横向运动控制


横向运动控制指智能车辆通过车载传感器感知周围环境,结合全球定位系统(Global Positioning System,GPS)提取车辆相对于期望行驶路径的位置信息,并按照设定的控制逻辑使其沿期望路径自主行驶。 针对配置传感器的不同,分为 预瞄式 非预瞄式 横向运动控制。


1.1 系统模型


  • 非预瞄式横向动力学模型


非预瞄式横向动力学模型主要通过磁性传感来提取车辆在当前点处与期望行驶路径的横向位置关系。 加州大学伯克利分校在 PATH 项目研究中,基于磁性传感来实现智能车辆的横向运动控制,并建立描述当前点处车辆与行驶路径相对位置关系变化特征的非预瞄式横向动力学模型,如图 1 所示 [1]。


图 1  非预瞄式横向动力学模型

磁性传感对环境具有适应性强,但是具有成本较高,可变性差,无法检测前方障碍的缺点。


  • 预瞄式横向动力学模型


预瞄式横向动力学模型主要通过视觉来识别环境和提取路径 ,相比于其他传感器,视觉系统具有检测信息量大、能够遥测等优点。 视觉系统实时采集前方的道路图像,获得视觉预瞄点处车辆相对于参考路径的位置偏差信息。

图 2  预瞄式横向动力学模型


由图 2 可得基于视觉的车辆预瞄动力学模型为:



1.2 横向运动控制方法


国内外研究学者分别针对基于非预瞄及预瞄横向动力学系统的控制问题,采用现代控制及非线性控制等理论和方法来处理,现对当前横向控制方法进行分析。


(1) 经典控制方法


2004 年,日产公司为实现速度连续变化工况下车辆平稳光滑地跟踪参考路径这一控制目标 [2],采用经典比例积分微分(Proportion Integration Differentiation,PID)方法构建了横向前馈及反馈控制器,解决了智能交通环境下智能车辆横向运动控制的实时性问题。


针对 DARPA 智能车挑战赛行驶区域为崎岖不平的非结构化道路 [3],2005 年,文献 [4] 构建了由基于前方路径曲率的前馈控制和 PID 反馈控制器叠加组合的横向复合式控制系统。斯坦福大学 Sebastian Thrun 以 Stanley 智能车为研究对象,构建了一种非线性 PID 控制器,将前轮转角控制量表示成横向偏差的非线性函数,该非线性 PID 控制器可使偏差迅速有界收敛。


2006 年,法国 Netto 针对大曲率路径工况下车辆横向路径跟踪问题,提出了基于最优路径检测数据的状态反馈 PID 控制策略 [5],增强了横向控制系统对路径曲率变化的鲁棒性。


(2) 最优控制方法


2006 年,文献 [7] 根据车道保持控制系统需有较高实时性的性能要求,建立了包含预瞄时间内当前点偏差、预瞄点偏差和控制输入量等参数的性能指标函数,基于现代控制理论提出了改进的有限时间最优预瞄横向控制策略。
2012 年,文献 [8] 采用根轨迹法分析了预瞄距离对横向闭环系统的影响,构建了基于最优跟踪控制理论的状态反馈控制律和用于补偿路径曲率扰动的前馈控制律组成的横向路径跟踪控制系统。

上述控制方法将车辆横向控制模型简化为线性定常系统,当横向控制模型在参数不确定性和干扰的工况下,可实现路径跟踪的最优控制。但是,上述方法依赖于精确的数学模型,在参数时变和外界干扰的工况下,将会影响甚至破坏智能车辆横向控制系统的鲁棒性和稳定性。


(3) H∞鲁棒控制方法


德国布伦瑞克大学 L.Ganzelmeie 等提出了一种智能车辆鲁棒 H∞ 横向控制策略,可有效处理车辆横向控制模型的参数不确定性 [9] 。2003 年,为了检验 H∞ 横向控制的鲁棒性,韩国 Eom S.I. 等提出基于三自由度车辆模型的鲁棒 H∞ 横向控制算法 [10],并对比分析了 H∞ 控制器和 LQG/LTR 控制器,结果表明,相对于 LQG/LTR 控制器,H∞ 横向控制器不仅可减低系统响应的超调量,而且对噪声和外界干扰具有较强的鲁棒性。

2007年,Tan H.S.等针对智能车低速行驶工况,基于经典理论力学和轮胎动扰度模型推导出低速工况下可表征后轮转向、轮胎柔性模态和外界干扰的改进车辆单轮模型,针对此横向动力学模型,采用混合 H2/H∞ 合成法设计了车辆自动转向控制策略 [11],采用线性矩阵不等式优化方法处理车辆自动转向控制的多性能目标问题,给出在多目标约束下可完成理想控制目标的控制器结构和参数,从而实现横向控制系统性能提高和鲁棒性增强的多重目标。


(4) 基于反馈线性化方法

2005 年,在美国 PATH 项目中,Huang J. 等针对智能车后轮传感器失效工况下车辆横向控制问题进行了研究,分析了后轮传感器失效对系统的影响,并视失效工况下横向系统为线性时变系统,提出车辆横向状态反馈线性化控制算法 [1],考虑到状态反馈线性化方法容易导致内动态子系统的弱阻尼性,构建了用于反馈线性化的 H∞ 非匹配估计器,可增强横向运动系统的稳定性。


2003 年,R.Rajamani 等以后轮驱动-前轮转向智能车为研究对象,针对车辆相对于参考路径的非线性几何模型 [12],提出了基于预瞄的车辆横向输入输出反馈线性化控制方法,实验结果表明,基于预瞄的横向控制策略可有效提高系统的跟踪性能。


国防科技大学贺汉根建立了车辆运动学和动力学相结合的非线性路径跟踪控制模型,提出轨迹跟踪反馈线性化控制方法 [13],并对控制输出量的物理取值范围进行限制。


(5) 自适应控制方法


美国天合汽车公司 Choi S.B.等提出了基于 Lyapunov 准则的智能车辆横向自适应控制律 [14],可克服车辆横向运动过程中前方行驶路径曲率及侧向风等信息不可测量等特征,构建了用于实时测量自适应控制律中状态反馈参数的横向位移变化率观测器,试验表明该方法对轮胎侧偏刚度、车辆不确定参数具有较强的鲁棒性。


2004 年,M.S.Netto 等建立了包含道路曲率和横向风阻变化引发摄动的车辆动力学模型,提出了基于视觉的智能车辆横向自适应控制器 [15],并通过仿真检验了该控制算法的有效性和鲁棒性。


2007 年, 斯坦福大学研究学者提出了具有学习功能的自适应横向控制算法 [16], 并将该自适应横向控制策略应用于其研制的 Junior 智能车, 该智能车获得 DARPA 挑战赛亚军。

(6) 滑模控制方法


2002 年,M.Tomizuka 等针对智能商用车横向运动控制问题,分别采用滑模控制、线性反馈控制及基于前馈补偿的线性反馈控制方法设计了横向路径控制器 [17],通过实验对比分析 3 种控制策略,给出横向非线性滑模控制策路的性能优于线性反馈控制策略。


2004 年,吉林大学王荣本等针对视觉导航式智能车辆高速行驶工况下的路径跟踪控制问题 [18],提出了车辆横向路径跟踪滑模控制方法,并采用二次型最优设计法构建切换超平面中的系数矩阵,可有效克服外界摄动及参数变化对系统的影响。


201 3年,文献 [19] 设计了基于单目视觉的路径提取方法,针对预瞄运动学模型具有参数不确定性特点,提出了横向自适应模糊滑模控制方法,与传统滑模控制方法相比,可提高智能车辆横向运动系统的控制精度和响应特性。


(7) 预测控制方法


2007 年,意大利 P.Falcone 等针对智能车辆主动转向控制问题,提出了横向模型预测控制方法 [20],车辆行驶轨迹的预测模型由三自由度整车模型和非线性轮胎模型构成。为了有效解决非线性模型预测控制方法的实时性问题,作者构建了次优线性时变模型预测控制方法,即用线性时变模型来预测车辆行驶轨迹,可减低预测控制方法的计算复杂度,提高控制系统的实时性。


2014 年,文献 [21] 提出基于线性时变预测模型的车辆横向自适应模型预测控制方法,实现了车辆横向车道保持的功能。仿真测试表明,该控制方法在不同道路曲率和纵向速度变化工况下可有效减低横向位置的偏差和实现较好的车道保持性能。


(8) 模糊控制方法


2011年,西班牙 J.Perez 等构建了智能车辆横向控制分层构架 [22],其中上层控制器通过模糊逻辑来产生期望控制量,模糊逻辑控制具有 4 个状态输入量和两个状态输出量,最后通过样车测试表明,提出的横向分层构架控制具有较好的跟踪性能。上述模糊控制参数主要靠试探法获取,无法实现控制系统的最佳性能。

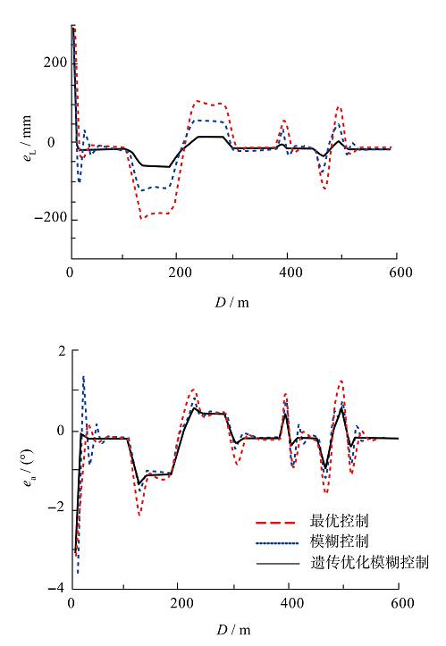
图 3  速度为 25 km/h 系统偏差响应对比
为了实现模糊控制隶 属度函数和控制规则参数优化设计,2012 年,文献 [23] 提出了基于速度分区的无人车。遗传模糊横向控制策略,通过遗传算法对横向模糊控制器隶属度函数参数和控制规则进行自动优化,有效确定出横向模糊控制器的隶属度函数和控制规则。并将遗传优化模糊控制、模糊控制和二次型调节器进行了仿真对比,跟踪路径由曲率不同的曲线段组成,结果如图 3 所示,得出遗传优化模糊控制优于模糊控制和二次型调节器。



2015 年, 文献 [24] 构建了车辆横向 Type-2 模糊逻辑控制系统,采用滑模自适应算法实时调节模糊逻辑的控制规则。


(9) 其他


意大利帕尔玛大学 A. Broggi 等针对基于视觉导航的智能车辆横向运动控制问题,提出了基于准 G2 样条的路径规划算法,通过单目视觉获取车辆与期望路径的相对位置偏差,设计了以偏差信息为输入量的增益调度控制器 [25]。


西班牙 M. Sotelo 等建立了智能车辆 Ackerman 运动学模型,提出了基于链式系统理论的横向非线性控制器 [26],通过样车测试分析了该控制系统的有效性和稳定性。


此外,2010 年,法国 N.M. Enache 等构建了基于混杂理论的车辆横向控制算法 [27],所提出的方法综合了线性矩阵不等式、多面体不变集和复合 Lyapunov 函数等各种技术的优点,确保横向控制系统混杂切换过程中车辆状态有界收敛。


2014 年,文献 [28] 采用参数空间法研究横向轨迹跟踪控制策略,并构建了干扰观测器,从而提高对车辆参数变化的鲁棒控制。



2. 智能车辆纵向运动控制


纵向运动控制指通过某种控制策略调节车辆的纵向运动状态,实现车辆纵向距离保持或自动加减速的功能。按照实现方式可分为直接式结构控制分层式结构控制,现对这2种纵向控制方法进行分析。


2.1 基于直接式结构的纵向控制


图 4  直接式控制结构


直接式控制结构由一个纵向控制器给出所有子系统的控制输入,如图 4 所示。


以下研究工作是采用纵向直接式结构控制的典型代表。


2008 年,卡内基梅隆大学研究团队采用直接式控制结构,分别构建了油门和制动的非线性 PID 控制策略,给出基于速度偏差的油门/制动切换逻辑,并将所构建的纵向控制系统成功用于 Boss 智能车,该智能车获得了 DARPA 挑战赛冠军 [29]。
法国 P.F.Toulotte 等提出了基于线性矩阵不等式的具有极点配置功能的模糊纵向控制策略 [30],可保证极点配置在理想的区域,克服针对行驶车辆的参数不确定性和外界干扰。


意大利帕维亚大学 A.Ferrara 等针对智能车辆纵向行驶过程中存在参数不确定性和外界干扰的问题,提出了二阶滑模纵向直接式控制结构控制策略,可实现车辆纵向避免功能 [31]。滑模变结构控制器可提高系统的动态响应能力,有效克服车辆非线性、参数不确定性及外界干扰等特性,但是由于其控制增益的不连续性可使控制系统产生振荡或失稳。


2009 年,清华大学宾洋等建立表征车辆及车辆间纵向运动特性的非线性动力学模型 [32],提出一种非线性干扰解耦和变结构控制原理的鲁棒控制方法。首先应用微分几何的非线性干扰解耦原理,实现对具有干扰影响的非线性动力学系统的干扰解耦及输入输出线性化方法,在此基础上设计了基于线性解耦子系统的变结构控制策略。该方法不仅克服车辆纵向动力学系统的非线性,且对内部不确定性及外界干扰具有良好的鲁棒性能,达到控制性能全局最优化的目标。


2013 年,王建强等对驾驶员操作行为以及错误和违规异常特性进行研究 [33],通过驾驶员动作时刻的碰撞时间(Time of Collision,TTC)统计以及神经网络分类器,提出基于驾驶员特性的自学习算法,并将该策略应用于具有自适应巡航控制功能的车辆纵向智能驾驶系统。此外,文献 [34] 针对车辆的参数不确定性和强非线性等特性,提出基于模糊逻辑的车辆纵向速度滑模控制策略,通过模糊逻辑实现了对滑模控制增益的实时调节,可确保油门和制动控制律的平稳切换。


2015 年,韩国首尔大学 Hakgo K. 等建立了具有集总参数特征的车辆纵向线性模型,考虑到集总参数的时变性,提出了车辆参数时变自适应速度控制策略 [35],并通过仿真和实验验证了所提出方法的有效性和鲁棒性。


文献 [36] 采用系统辨识方法建立纵向动力学模型,针对逆动力学模型可补偿车辆非线性特性,设计了综合 PI 和逆动力学模型的车辆纵向速度自动控制策略。



2.2 基于分层式结构的纵向控制



图 5  直接式结构的纵向控制



智能车辆纵向动力学系统为一种结构复杂的多变量系统,且其易受前方动态目标及障碍物变化的干扰。为减低控制系统的开发难度,针对纵向动力学结构复杂等特性,部分学者采用分层式控制结构 ,如图 5 所示。


分层式控制结构需通过设计上、下位控制器来实现智能车辆纵向控制的目标。
首先讨论当前纵向下位控制的相关研究工作。


韩国全北大学 Liang H.等针对制动工况下车辆纵向控制问题,提出变参数滑模下位控制策略 [37],通过车辆行驶过程中状态信息来实时估计滑动模态控制系数。


日本东京大学 M.Omae 等基于鲁棒控制理论提出前馈加 H-infnity 反馈的车辆纵向下位控制策略 [38],通过实验分析 H-infnity 鲁棒下位控制策略的稳定性和鲁棒性,表明该方法可解决车辆动力学参数不确定性及控制执行机构带来的延时等干扰因素的影响问题。


韩国 K.Yi 等为实现对期望加速度的跟踪控制,构建了由前馈和PI反馈组成的纵向下位控制系统 [39],该控制器虽然可保证系统响应的实时性,但不能有效解决纵向动力学模型的未知外界干扰和参数不确定性等问题。此外,J.C.Gerdes 等[40]和 L. Nouveliere 等 [41] 均提出了变结构纵向下位控制方法,其实现对车辆纵向加速度的快速、平稳、精确跟踪。


2007 年,文献 [42] 报道了可描述车辆纵向动力学系统中较大参数不确定性和未建模动态特性由多个不确定模型组成的模型集合,构建了多模型分层切换纵向下位鲁棒控制方法,通过理论分析和样车实验检验了控制算法鲁棒稳定性和扰动抑制能力。


上位控制器的功能是基于一定的 控制方法实时给出下位控制器所需的期望加速度,以下工作是上位控制研究的典型代表。


为实现实时求解出车辆纵向行驶的期望加速度,美国 X.Lu 提出了车辆纵向运动的上位滑模变结构控制算法 [43],通过实验检验了该上位控制算法的有效性。日产公司 [44]和意大利 M.Canale 等 [45] 分析了不同交通路况下驾驶员操纵行为,给出驾驶员纵向操纵特性的特征描述,提出基于参考模型的前馈补偿与反馈组合的上位控制结构,并通过实时调节参考模型系数来增强纵向控制系统对不同行驶工况的适应性。


2008 年,宝马汽车公司提出了可修正的反馈 PID 上位控制策略 [46],将反馈状态量的比例系数表征为时距函数,该策略的反馈状态量为相对速度、距离误差,此外,为了抵抗前方目标运动状态的干扰,构建了自车加速度干扰的估计器,可对加速度干扰进行有效补偿。


相比于分层式控制,直接式控制将车辆纵向动力学系统视为非线性多变量系统,其集成程度较高,但其依赖较多的状态信息,开发难度显著增加,系统的灵活性较差。



3. 智能车辆横纵向综合控制


针对智能车辆横纵向动力学间的耦合、关联特性,部分学者尝试采用横纵向运动综合控制。对于智能车辆纵横向综合控制的研究工作,目前大多局限于理论分析。


从控制结构上讲,智能车辆横纵向运动综合控制分为分解式控制集中式控制


3.1 分解式协调控制


分解式协调控制通过对横纵向动力学进行解耦,分别独立设计横纵向控制律,同时设计用于协调横向与纵向运动的控制逻辑。 分解式协调控制只是对横纵向控制律的执行进行协调,从本质上讲没有克服横纵向动力学的耦合特性



对于分解式协调控制的研究,R.Rajamani 等针对智能车辆编队行驶中自动插入和退出控制问题 [47],设计了包含横向控制器、纵向控制器及监督器的横纵向综合控制系统,其中监督器通过实时监测车辆状态来协调横/纵向控制器。


2010 年,重庆大学李以农等在对车辆自动驾驶系统的横纵向运动综合控制研究中,分别设计了横纵向控制「前馈+反馈」的控制策略,然后给出横纵向运动控制执行系统的协调逻辑 [48]。


2014 年,文献 [49] 构建了由上位控制器和下位控制器组成的纵横向综合控制系统,其中上位控制根据车辆前方的路况信息和车辆状态信息产生期望的前轮转角和速度,下位控制器实现对期望转角和速度的跟踪控制。


3.2 集中式协调控制


集中式协调控制指通过对车辆横纵向耦合动力学模型直接控制求解的方式得到横纵向运动控制律。
对于集中式协调控制的研究,加州大学伯克利分校 [50] H. Lee 和M.Tomizuka 采用鲁棒自适应控制理论设计了横纵向运动控制协调控制算法 [50],并将协调控制算法与非协调控制算法进行了仿真对比试验,试验表明智能车辆横纵向协调控制的优越性。


2006 年,台湾 K.Sisil 等构建了 RBF 神经网络自适应横纵向协调控制策略,并通过Lyapunov 理论分析了该控制系统的稳定性,可保证跟踪误差的一致收敛有界性 [51]。


此外,2014 年,文献 [52] 以智能电动车辆为研究对象,针对其具有非匹配、不确定性及冗余的特点,提出了横纵向协调及重构控制方法,所设计的策略可保证跟踪误差的一致有界收敛性。


集中式协调控制针对智能车辆的横纵向耦合特性,综合设计横纵向协调控制律,可有效克服智能车辆横纵向非线性、强耦合特性。但是,集中式协调控制的实现依赖于丰富的需求信息和高质量的硬件支撑。



4. 运动控制技术发展趋势


综上所述,智能车辆的运动控制技术取得了令人瞩目的进展。然而,由于车辆纵横向动力学机理复杂及多性能目标相互耦合,且先进通信技术在智能车辆上的广泛应用,使得其运动控制技术产生了新的挑战。因此,智能车辆运动控制研究中还存在许多重要且尚未解决的问题需要我们去探索和认知。


下面对其可能的发展方向提出初步的展望:


随机不确定性及时滞工况下智能车辆纵横向运动协同控制方法


目前智能车辆运动控制的研究主要集中在通过解耦横纵向动力学单独设计横、纵向控制器,而对横纵向协同控制的研究较少,且处于理论分析阶段,如何设计可用于实际工程且可有效利用横纵向动力学关联特性的协调控制策略需要进一步深入研究。
同时,运动控制面临的新问题及机遇是:
  • 如何掌握智能车辆高度网络化和集成化固有的随机不确定及时滞等特征对车辆运动控制系统的作用规律;

  • 如何构建随机不确定性及时滞干扰下智能车辆纵横向协同控制方法,实现车辆纵横向动力学的实时动态协调。


智能车辆运动控制的多性能目标全局优化技术


未来的智能车辆不仅只是体现在智能化方面,而且需具有绿色、环保性。 今后智能车辆运动控制面临着多性能目标研究除重点考虑自主行驶的安全性和舒适性外,还需引入智能车辆行驶经济性和排放性的制约。
运动控制面临着安全、舒适、节能及环保等多性能目标如何有效协调从而实现系统最优化的新问题,需要探索多目标多工况下智能车辆行驶性能的数学描述,研究智安全、舒适、节能和环保等多性能目标的冲突机理,实现多性能目标的全局优化。



车联网环境下智能车辆协作式控制理论和方法


近年来,车联网技术的兴起为智能车辆实际应用的进一步推广起到了巨大的推动作用。利用车载传感系统及车对车(Vehicle to Vehicle,V2V)通信、车对路(Vehicle to Infrastructure,V2I)通信等先进无线通信技术提供的实时、精确、丰富的信息,进行多智能车协作式控制可提高智能车辆综合行驶性能。
如何通过先进无线通信技术,基于车辆、智能交通系统和电网系统之间道路交通环境、车辆运动状态等信息的交互与共享来实现「人-车-路」复杂动力学系统的协同优化控制是运动控制面临的新问题和机遇,并且将是未来智能车辆运动控制研究的一个重要方向。



结论


智能车辆的研究和发展将给汽车工业带来革命性变化。运动控制技术作为智能车辆的关键环节,仍将是研究热点。


本文介绍了智能车辆横向、纵向及横纵向综合运动控制的研究现状,提出智能车辆运动控制未来发展的三大方向,分别为:


  • 随机不确定性及时滞工况下智能车辆纵横向运动协同控制;

  • 智能车辆运动控制的多性能目标全局优化技术;

  • 车联网环境下智能车辆协作式控制理论和方法。



参考文献








作者简介


郭景华 博士

清华大学博士后,厦门大学机电工程系助理教授,硕士生导师。以第一作者发表 SCI/EI 期刊论文 20 余篇,主要从事智能车辆、车辆动力学与控制等研究。


李克强 教授

清华大学汽车工程系教授,教育部长江学者特聘教授。主要从事车辆动力学与控制、驾驶辅助系统和混合动力汽车等方向的相关研究。


罗禹贡 博士

清华大学汽车工程系副研究员。主要从事车辆动力学与控制,车辆噪声与振动等研究。



编辑整理:厚势分析师拉里佩

转载请注明来自厚势和厚势公号:iHoushi



-END-


厚势往期推送精选









文章精选



企业家

马斯克和贾跃亭 福特CEO下台正道汽车仰融

任正非裁员电池大牛凯尔提离开特斯拉

智能驾驶

BBC自动驾驶纪录片自动驾驶第一案,谷歌讼Uber

高精地图自动驾驶的灾难英特尔收购Mobileye

苹果公司造车?库克又不傻!iPhone的挣钱效率比造车高多了!

OTA 助车主逃离飓风魔爪,特斯拉的又一次完美表演 

自然杂志:自动驾驶商业化面临哪些心理障碍?

导致大规模失业?恰恰相反,自动驾驶将增加社会整体就业

为什么最早发明无人驾驶汽车是谷歌而不是传统汽车制造商? 

在数据为王的时代,自动驾驶数据共享真的可行?

新能源汽车

全国50个新能源汽车项目大盘点

锂电池发展趋势中国汽车产业电动化进程

苹果收购特斯拉?丰田和特斯拉决裂

全球汽车品牌价值榜德国螃蟹电动车

特斯拉Model Y无线充电大突破

2016市场分析和2017走势

麦肯锡:电动卡车市场为何在此刻集中爆发?(上) 

麦肯锡:电动卡车市场为何在此刻集中爆发?(下)

项目和评论

以色列最强10家自动驾驶创业公司

 37个汽车分时项目盘点百度投资蔚来汽车

马化腾或为共享单车最大赢家汽车产业3大趋势

Momenta获$4000万B轮

百度系自动驾驶初创公司 Pony.ai 的突围之路

这些大神从Google出走,创办了五家(命运各异的)无人车公司

戴世智能带你读懂自动驾驶高精度行车定位技术

无需基础知识,理解自动驾驶高精度行车定位技术


为您对接资本和产业

新能源汽车 自动驾驶 车联网




联系邮箱

bp@ihoushi.com

点击阅读原文,查看「同济汽车余卓平教授:无人车运动规划算法综述 

登录查看更多
21

相关内容

最新《智能交通系统的深度强化学习》综述论文,22页pdf
人机对抗智能技术
专知会员服务
214+阅读 · 2020年5月3日
基于视觉的三维重建关键技术研究综述
专知会员服务
166+阅读 · 2020年5月1日
【天津大学】知识图谱划分算法研究综述
专知会员服务
111+阅读 · 2020年4月27日
【综述】自动驾驶领域中的强化学习,附18页论文下载
专知会员服务
176+阅读 · 2020年2月8日
专知会员服务
87+阅读 · 2019年12月13日
基于深度学习的行人重识别研究进展,自动化学报
专知会员服务
39+阅读 · 2019年12月5日
自动驾驶技术解读——自动驾驶汽车决策控制系统
智能交通技术
30+阅读 · 2019年7月7日
自动驾驶车辆定位技术概述|厚势汽车
厚势
10+阅读 · 2019年5月16日
车路协同应用场景分析
智能交通技术
24+阅读 · 2019年4月13日
【观点】薛建儒:无人车的场景理解与自主运动
中国自动化学会
8+阅读 · 2018年1月24日
自动泊车系统发展现状及前景分析 | 厚势
厚势
22+阅读 · 2018年1月22日
Self-Driving Cars: A Survey
Arxiv
41+阅读 · 2019年1月14日
Arxiv
5+阅读 · 2018年10月11日
VIP会员
相关VIP内容
最新《智能交通系统的深度强化学习》综述论文,22页pdf
人机对抗智能技术
专知会员服务
214+阅读 · 2020年5月3日
基于视觉的三维重建关键技术研究综述
专知会员服务
166+阅读 · 2020年5月1日
【天津大学】知识图谱划分算法研究综述
专知会员服务
111+阅读 · 2020年4月27日
【综述】自动驾驶领域中的强化学习,附18页论文下载
专知会员服务
176+阅读 · 2020年2月8日
专知会员服务
87+阅读 · 2019年12月13日
基于深度学习的行人重识别研究进展,自动化学报
专知会员服务
39+阅读 · 2019年12月5日
相关资讯
自动驾驶技术解读——自动驾驶汽车决策控制系统
智能交通技术
30+阅读 · 2019年7月7日
自动驾驶车辆定位技术概述|厚势汽车
厚势
10+阅读 · 2019年5月16日
车路协同应用场景分析
智能交通技术
24+阅读 · 2019年4月13日
【观点】薛建儒:无人车的场景理解与自主运动
中国自动化学会
8+阅读 · 2018年1月24日
自动泊车系统发展现状及前景分析 | 厚势
厚势
22+阅读 · 2018年1月22日
Top
微信扫码咨询专知VIP会员