傅里叶思想漫谈:从希尔伯特空间到不确定性原理

2021 年 1 月 29 日 PaperWeekly


©PaperWeekly 原创 · 作者|Maple小七
学校|北京邮电大学硕士生
研究方向|自然语言处理


绪言

傅里叶分析理论是数学史上最为辉煌的成就之一,由此发展和延伸出来的一系列理论在大量学科领域有着深刻的应用,让一代代科学家家为之倾倒与奋斗。因此,傅里叶级数展开式是大学本科数学基础课的重点内容之一,也是广大理工科学生最难以理解的公式之一。 

傅里叶级数往往会首先出现在本科一年级数学分析的教材中,可惜的是,大多数教材都太过严肃,它们往往从无穷多个简谐振动的叠加原理引出三角函数系的概念,然后直接对傅里叶级数下定义,而没有深入探讨这里面蕴藏的思想。

有了定义之后,教材就会直接给出周期延拓与收敛定理,并抛出一堆练习题,似乎只是为了把公式印在学生的脑子里。面对这样突兀奇怪的公式,大多数人只能死记硬背,且仅仅满足于能套公式做题,完全忽略了傅里叶级数背后的美感与能够颠覆人们世界观的思维模式。

虽然笔者的本科专业是数学与应用数学,但直到大三学习随机过程的时候(平稳过程的谱分析)才真正接触到了傅里叶变换,遗憾的是,教材也仅仅让我们记住变换公式及其一些有用的性质,没有深入探讨其蕴含的思想,更没有将其与傅里叶级数对比。直到在泛函分析与数学物理方程的学习中,笔者才了解到了傅里叶级数与变换是如何与分析学和物理问题联系起来的,并渐渐领略到了傅里叶级数与变换及其一系列理论的精妙之处。

1.1 函数观念的变革

约瑟夫·傅里叶是法国著名数学家,物理学家,他的一生并不平坦,甚至富有一些传奇色彩。1807 年,傅里叶向巴黎科学院呈交了一篇关于热传导的论文《热的传播》,后被拉格朗日等人审阅后拒绝。傅里叶在 1811 年又提交了修改后的论文,修改后的论文虽获了奖,但仍被批评其论证不够严密。

傅里叶最后只能将自己的论文扩充成一本书,也就是他一生中最为辉煌的成就——《热的解析理论》。该书出版两年后,傅里叶被评为科学院的终身秘书,这是一个极有权力的职位,从而使得他的论文终于得以发表。

傅里叶在他的论文中大胆给出如下命题:

一个变量的任意函数,不论是否连续或不连续,都可展开为正弦函数的级数,而这正弦函数的参数为变量的倍数。
但是欧拉,拉格朗日等人认为解析的正弦函数无法表示非解析的函数,即使被表示的函数是解析的,也不一定会有周期性。 不仅是这两位数学家,18 世纪的大部分数学家都相信在特定区间上与正弦函数一致的函数也意味着在整个区间上与正弦函数是完全相同的,但实际上,这只是解析函数具有的性质,而欧拉等人将该性质错误地推广到了一切函数上。
傅里叶是第一个指出当一个函数在自变量的一个给定区间上确定时,在这个区间以外函数不能确定的数学家。他意识到只能在一段区间上而不是在整个定义域内用三角级数表示函数,超出这个特定区间展式不一定成立。除此之外,傅里叶还将奇函数与偶函数联系在一起,比如他曾将偶函数 展成如下多重弧的正弦级数:

傅里叶的做法遭到了很多数学家的反对,即奇函数和偶函数是不能互化的,但实际上,当考虑到公式的成立区间时,这种冲突就消失了。

虽然傅里叶的断言严格上说是错误的,傅里叶本人也没有给出证明(实际上,傅里叶级数收敛性的充分必要条件至今没有人能够给出),但这一断言里蕴藏的思想是极富有价值的,其直接改变了数学家对函数的概念,将人们从解析函数与可展成泰勒级数的函数中解放出来,引发了数学家对不连续函数的探讨,使得泛函分析与调和分析等领域得以诞生。

三角级数收敛性问题更是刺激了集合论的建立,直接影响了 19 世纪的数学研究方向。直到现在,傅里叶分析也是现代分析数学的核心领域之一,其辉煌的成就让一代代分析学家为之倾倒与奋斗。

当然,傅里叶一生的成就不仅仅只局限于热力学与微分方程,傅里叶在他的论文中还提出了量纲齐次原理,他对方程论有很广泛的研究,并在线性规划和力学上也有研究,他也是最早使用定积分符号 的人,他甚至是温室效应的发现者。这一系列成就也使得傅里叶在数学史上能与拉普拉斯,勒让德等人齐名。接下来,我们将深入讨论傅里叶级数、傅里叶分析理论方法的思想与应用。


漫谈傅里叶级数

傅里叶级数的导出不乏很多精妙的方法,傅里叶级数本身起源于傅里叶在解下面的热传导方程时遇到的问题:

2.1 内积空间中的傅里叶级数

空间是数学中最为重要的概念之一,当一个集合被定义了运算,就形成了空间。当我们定义了空间内元素的加法与乘法运算,并使其满足八条特定规则,空间就有了线性的结构。除此之外,我们还希望空间能有长度,角度等概念。

当我们定义了满足平移不变性和齐次性的长度概念后(若不满足,则只能称其为度量空间),线性空间就有了距离的结构,即赋范线性空间或 Banach 空间(不妨默认我们讨论的距离空间均是完备的),当我们进一步定义了角度,就得到了内积空间或 Hilbert 空间,这时候,我们就有了正交与投影等概念。

Euclidean 空间可以说是最简单的 Hilbert 空间,在二维和三维 Euclidean 空间中,长度(Norm),距离(Distance),垂直(Orthogonality)这些几何概念都是很直观的。然而,我们当然不能仅仅满足于在几何直观上讨论这些概念,我们完全可以将其抽象到 上面去。类似地,我们定义了向量的点积(内积)之后,也就是:
我们便可以讨论向量的长度(或范数):

向量之间的距离:

与向量之间的垂直(或正交)

的概念了。不仅如此,向量空间的正交系,正交投影,正交分解这一系列概念都变得更加丰富了起来。

当然,在数学家眼中,向量和数字的概念一样,都是抽象的,并不依赖于其表达的实际含义。 中向量的元素是可数的,当我们把一个向量中的元素数量扩展到无穷的时候,向量就变成了函数。我们同样可以仿照之前给出的定义,对函数空间定义范数、内积、正交。
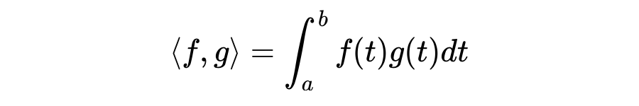
以区间 上所有连续函数(函数应满足平方可积的条件,即应属于 勒贝格空间)构成的向量空间 为例,仿照 内积的定义,将求和化为积分,则连续函数的内积定义为:

这个时候,我们便可以自然地定义两个函数的正交:

同样,我们对函数空间也有了正交基的概念,即可以考虑函数的正交分解。因为对任何 ,三角函数系:

关于如下的内积是正交的:

易见由三角函数系生成的空间 中的子空间,我们考虑 上的函数 中用函数对 的最佳逼近称为 上的 阶傅里叶逼近,由于三角函数系正交,因此给出的最佳逼近是 上的正交投影。由标准的正交投影公式可得傅里叶系数:

且不难证明:

因此:

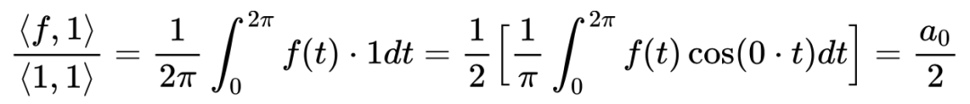
正交投影中的常数函数 的系数是

这也就解释了为什么傅里叶级数的常数项要写成 。由此,我们便得到了傅里叶级数:

我们不仅仅只能对 里的函数进行傅里叶级数展开,对任意具有周期 函数 ,我们都能够对其进行变量置换:

从而把 变换成以 为周期的 的函数 ,即:

对于一般的函数,我们可以对其做偶式延拓或奇式延拓将其展开为余弦级数或正弦级数。

2.2 傅里叶级数的复指数形式

根据 Euler 公式,我们可以将三角级数形式的傅里叶级数简写为复指数形式,即由:

可推得:

代入傅里叶级数整理即得其复指数形式:

其中:
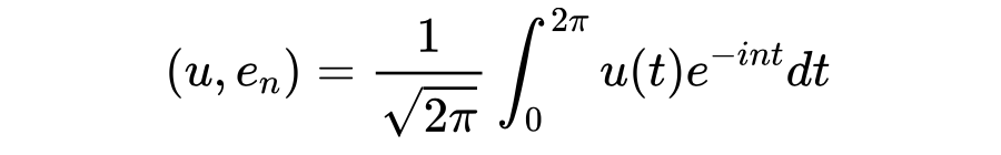
实际上,从泛函分析的角度来看,在 上, 是一个完备规范正交系,对应的傅里叶系数为:

这是因为由三角多项式族张成的子空间在 中稠密,其完备性也可以从傅里叶基满足 Parseval 恒等式:

中看出。实际上,Parseval 恒等式其实可以看作是勾股定理的推广,即矢量长度平方等于各正交分量长度平方之和。

这一系列看似不尽相同的表达式,其本质都是傅里叶级数的变形。从复指数形式的傅里叶级数,我们可以更简便地导出傅里叶变换的表达式以及一些更有价值的理论。
2.3 从本征函数系到调和分析
事实上,我们不只是能够在三角函数正交基上对函数进行正交分解,函数在任何一组两两正交的函数族上的投影,被称为广义傅里叶级数或正交级数,且可以证明   是对 的最佳逼近。
回顾一下数学分析中让人印象最为深刻的 Taylor 公式,其在 处的 Maclaurin 级数也可以看作是函数在 上的非正交展开。虽然 是非正交的,但由于它是完备且线性无关的,所以可以通过 Gram-Schmidt 正交化过程得到一组正交基,而这组正交基其实正是 Legendre 多项式,可用 Rodrigues 公式表示为:

在数学物理方程中,我们知道勒让德多项式也是勒让德微分方程的解:

其 Sturm-Liouville 方程形式为:

除了 Legendre 正交多项式外,傅里叶在解圆柱形热传导方程的时候得到了 Bessel 正交函数系,因此我们还可以将特定的 展成如下形式:

傅里叶所用的解法被 Sturm,Liouville 等人全面地予以普遍化,并给出了 Sturm-Liouville 本征值问题的基本描述。实际上,从 Sturm-Liouville 本征值问题中导出的本征函数系都是完备的,也就是说函数可以在本征函数系上进行广义傅里叶级数展开。利用这一点,我们还得到了 Hermite 正交多项式、Laguerre 正交多项式等一系列正交系。

傅里叶分析,或称调和分析的一个重要目的就是将一个给定的函数表示成一族给定的基函数的和。这个问题可以在 Hilbert 空间中更抽象地描述为:任何一个 Hilbert 空间都有一族标准正交基,而且每个 Hilbert 空间中的元素都可以唯一地表示为这族基中的元素的倍数的和。

调和分析是现代数学最为核心也是最为活跃的领域之一,也是一个年轻且富有挑战性的领域。几个世纪以来,调和分析已经形成了庞大的学科体系,并在数学、信息处理和量子力学等领域有着重要和深刻的应用。由此发展而来的还有小波分析等一系列领域,这些成就都是傅里叶本人未曾预料到的。


漫谈傅里叶变换

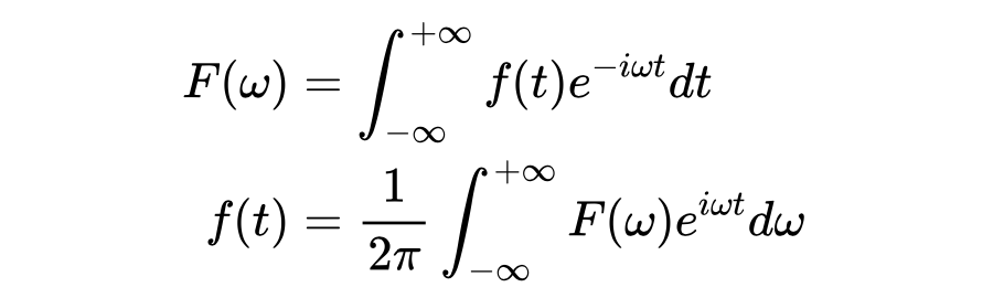
在现实世界中,很少有函数是周期的,我们面对的更多函数是非周期的,傅里叶变换其实就是傅里叶级数的周期趋于无穷的情形,即:

第一个式子将时域函数 变换为了频域函数 ,第二个式子将频域函数 变换为了时域函数 ,且不难证明该变换对是一一对应的。
在光学里,棱镜可以根据波长(频率)将光分解为不同的颜色。傅里叶变换其实就是数学中的棱镜, 其可以将函数基于频率分解为不同的成分。这一性质必将使得傅里叶变换有许多独特的性质与广阔的发展空间。

3.1 对偶原理

对偶性是数学中最优美也最珍贵的性质之一,对偶性即导致相同的结果,而表面上不同的理论之间的对应。对偶原理广泛存在于不同的学科领域中,如线性规划中的对偶问题,物理学中电与磁的对偶。对偶原理是一座桥梁,借助于它,我们可以从数学某领域中的一定理走到另一定理(对偶定理)。

而傅里叶变换就是对偶性的绝佳体现。简单来说,傅里叶变换展现了时域与频域的对偶性,这使得对于同一个问题,我们可以分别从两种角度研究,且得到的结论是一致的。

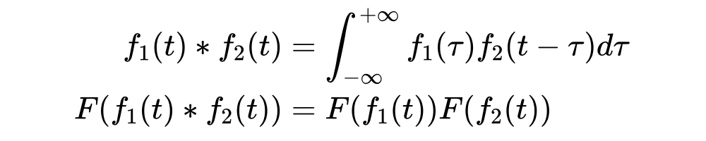
对偶性往往能简化解决问题的步骤,比如傅里叶变换可以简化卷积运算。卷积定理指出,函数卷积的傅里叶变换是函数傅里叶变换的乘积,即:

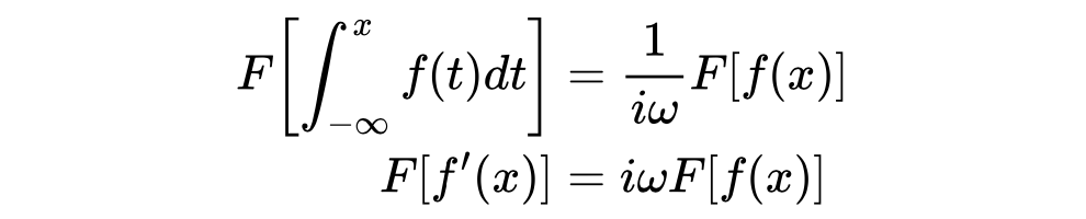
对于数字信号处理而言,函数在时域中的卷积就相当于在频域中的乘积,大大减少了卷积运算的运算量。除此之外,傅里叶变换的微分与积分等性质也具有对偶性:

这使得傅里叶分析中许多问题的处理得到简化。

在更为抽象的调和分析和拓扑群理论中,对偶这个概念有个更深层且更加丰富的内容。其中庞特里亚金对偶定理便解释了傅里叶变换的一般性质,即对于一个局部紧阿贝尔群 ,傅里叶变换的值域是其对偶群。
3.2 数字信号处理

虽然在本科教学中,数学的教学并不太关心其实际应用,我们并没有接触到信号与系统的相关领域,但傅里叶变换最广泛的应用大概就是在数字信号处理上了。当今世界是大数据的世界,声音,图像,都能够被存储在计算机中,如何处理并识别这些数据的模式,是当下最热门的问题之一,这也催生了许多等新兴学科的发展。

由于计算机无法识别连续的函数,只能处理离散的数据,因此离散傅里叶变换 (DFT)是信号处理最基础的算法之一,从其衍生而来的还有著名的快速傅里叶变换(FFT),这些算法在声音识别的连续信号采样,图像处理的特征分析,电路的滤波和谐波分析等领域都有很广泛的应用。
3.2.1 什么是信号

对于数学家而言,信号和向量,数字一样,也是一种抽象的概念,信号指的是一段可以数字化的信息,它可以是声音,也可以是图像,总之只要能运载信息,它就可以被称为信号。抽象地,信号可以被认为是函数,如声音就是一元函数,自变量是时间,因变量是声强,图象是二元函数,自变量是横纵坐标,因变量是像素色彩。

那么要如何理解一个信号呢,用数学的语言,一般人都会想到根据信号本身的特性,将它们定义在时间或空间上。但这对理解信号的内容是完全不够的,有些信号在时域上是很难看出什么特征的,但是如果变换到频域之后,就很容易看出特征了。

比如声音,在时域上杂乱无章,但在频域上却清晰明了。这就是傅里叶变换发挥作用的地方,傅里叶原理表明:任何连续测量的时序或信号,都可以表示为不同频率的正弦波信号的无限叠加,即傅里叶变换使得信号在时域和频域上可以相互转换,且不损失任何信息。
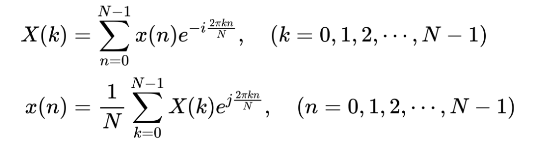
3.2.2 离散傅里叶变换
本节开头给出的傅里叶变换的公式是连续傅里叶变换,连续傅里叶变换的时间和频率都是连续的,而计算机是无法处理连续的信号的。要处理离散的信号,就必须用到离散的傅里叶变换,离散傅里叶变换的时间和频率都是离散的,将连续傅里叶变换公式以黎曼和的形式近似即可得到离散傅里叶变换公式

对于二维的图像而言,我们还需要引入二维离散傅里叶变换:

离散傅里叶变换本身有一些让人惊奇的性质,比如对一个在空域很复杂的图像,变换到频域后却很简单。这是因为人眼看到的图像,看似信息十分丰富,其实存在了大量冗余。当对图像进行傅里叶变换后,背景区域等灰度变化缓慢的区域,梯度较低,处于频域中的低频部分,边缘、噪声等灰度变化快的区域,梯度较高,处于频域中的高频部分。这使得我们只需要记录那些少量不接近于零的频域,就能够还原图片大部分信息。

这一特点也是当前大多数信息有损压缩技术的基本思想,由于人类感官的分辨能力存在极限,因此很多有损压缩算法利用这一点将语音、音频、图像、视频等信号的高频部分除去。高频信号对应于信号的细节,滤除高频信号可以在人类感官可以接受的范围内获得很高的压缩比

这一去除高频分量的处理就是通过离散傅里叶变换完成的。将时域或空域的信号转换到频域,仅储存或传输较低频率上的系数,在解压缩端采用逆变换即可重建信号。

快速傅里叶变换(FFT)是基于傅里叶变换本身的性质,对离散傅里叶变换算法进行一系列改进的算法统称。这对傅里叶变换理论本身没有贡献,但改进后的算法能够使得计算效率得到极大的改进,使得时间复杂度从 降到了 ,其中 为被变换的抽样点数。 越大,FFT 算法计算量的节省就越显著。
对该算法的研究也已经形成了一个独特的领域,并使得数字信号处理这门学科得到了极大的发展。常见的FFT算法有建立在数论和多项式理论基础上的维诺格勒傅里叶变换算法(WFTA),素因子傅里叶变换算法,分裂基算法(RSFFT)等。

3.2.3 信号降噪与增强

对于数学家而言,噪声也是抽象的概念,声音中存在噪声,图像中也存在噪声,任何现实数据都会有噪声的存在。如何去除噪声的影响,在任何领域都是一个不可忽视的问题。

信号中的有效成分和噪声在时域会纠缠在一起,但有效成分和噪声的频率往往是不同的,在经过傅里叶变换之后,噪声和有效成分在频域上分别位于不同的频率中,这时就可将其进行区分。降噪就是先将信号进行傅里叶变换,将变换后得到的数值中小于某一阈值的点置零,然后再进行傅里叶逆变换,于是就得到了降噪后的信号。

比降噪更为广泛的概念是滤波,滤波即将信号中特定波段频率滤除的操作,例如人声消除就是将声音中人声音的频段滤除。常见的滤波方式有维纳滤波,卡尔曼滤波与非线性滤波。

同样,我们可以将信号的细节部分放大,例如图像的锐化。图像的边缘往往是信号的高频部分,我们将信号的高频部分增强,就能使得模糊的图像变得更加清晰。同时,我们还可以提取图像的高频信号,以得到其边缘与纹理信息。

信号的增强和去噪即是通过不同的传递函数 对频率函数 进行卷积运算,得到新的频率函数 。新的频率函数中,我们期望保留的频率信号被增强,期望去除的频率信号 (噪声) 被减弱。 可通过傅里叶逆变换得到新的图像函数 ,即增强或去噪后的图像。信号增强和去噪的核心在于传递函数 的选取,根据功能的不同,可大致将其划分为低通滤波器、高通滤波器、带通滤波器、带阻滤波器等。

3.3 Laplace变换与Z变换

3.3.1 过于严格的Dirichlet条件
一个函数或者一个信号要存在傅里叶变换,往往需要满足 Dirichlet 条件:
  • 在一周期内,连续或只有有限个第一类间断点;
  • 在一周期内,极大值和极小值的数目应是有限个;
  • 在一周期内,信号是绝对可积的。
狄利克雷条件是一个信号存在傅里叶变换的充分不必要条件,然而在大多数时候,Dirichlet 条件太过严格以至于现实中很多信号都无法满足。

Dirichlet 条件的第一条很好的解释拉格朗日和傅里叶之间的争论,即正弦曲线无法组合成一个带有棱角的信号。如对矩形脉冲信号进行傅里叶展开,则棱角处会有很小的高频波动,展开的项数越多,该波动峰值将趋于一个常数,但总能量是趋于相等的。这也说明了傅里叶级数在间断点收敛的不一致性,在工程中这被称为 Gibbs 现象。

Dirichlet 条件的第三条常常也难以满足,傅里叶变换要求信号绝对可积,即只能对能量有限的信号进行变换,这使得傅里叶变换往往不适用于指数级增长的函数,如 的傅里叶级数就不收敛,因此才引入了傅里叶变换的推广:Laplace变换。拉普拉斯变换其实就是让函数乘上一个快速衰减的指数函数 ,当 足够大的时候,函数就可以满足绝对可积的条件。拉普拉斯变换最简洁的表达式为:
拉普拉斯变换将实函数 转换为了复函数 ,即将时域信号转化到了复频域上,从表达式中我们可以看到,拉普拉斯变换主要用于分析连续的模拟信号。因此对于离散的数字信号,我们还有 Z 变换:

Z变换的本质其实是离散时间傅里叶变换的推广,与傅里叶变换类似,Z变换也可以把离散的卷积运算变成多项式乘法。傅里叶变换,拉普拉斯变换和Z变换是计算机中常常用到的变换。

3.3.2 线性积分变换

傅里叶变换,拉普拉斯变换都是下面的积分变换的特例:

其中傅里叶变换的核函数 ,拉普拉斯变换的核函数 ,可以证明它们都是线性的积分变换。

我们可以从线性空间的角度理解不同的变换。在 Eulidean 空间中,同一个向量,如果采用不同的基向量来表示,那么他们的坐标就不同,我们可以通过线性变换将向量在一个坐标系中的坐标转化为在另一个坐标系中的坐标。推广到函数空间,傅里叶变换就是将信号在时域中的坐标变换为了在频域中的坐标。

同样,傅里叶变换,拉普拉斯变换与 Z 变换也是将时域中信号的坐标转换到了 F 域,L 域与 Z 域中的坐标,在不同的域我们能够观察到不一样的信号特征,比如在F域中分析频谱响应,在 L 域中分析系统的稳定性,在Z域中设计滤波器。

实际上,傅里叶变换是一个很特殊的正交变换,其特殊性在于它的基为指数函数。指数函数 也是微分算子的特征函数,这是因为它满足特征方程:

这其实也是常系数线性微分方程的特征方程解法的原理,当我们把函数通过傅里叶变换或拉普拉斯变换表示成指数函数的线性组合后,常微分方程就变成了代数方程。实际的工程中有很多系统都是线性的,即使是非线性系统也常常用线性来近似,比如电路系统。只要系统能用线性方程来描述,都可以尝试通过傅里叶级数与变换来分析与求解。

3.4 Gabor变换与小波变换

3.4.1 从全局到局部

傅里叶变换是一个全局性的变换,因此它处理非平稳信号有天生缺陷。傅里叶变换只能获取一段信号总体上包含哪些频率的成分,并不能给予关于信号频率随时间改变的任何信息,也就是时域相差很大的两个信号,频谱图可能是一样的。换句话说,傅里叶变换处理的信号需要有平稳性,然而平稳信号大多是人为制造出来的,自然界的信号几乎都是非平稳的,因此在实际应用中,往往不会单纯的采用傅里叶变换的方法。

由此,Gabor 提出了短时傅里叶变换(STFT),简单来说,就是把整个时域过程分解成无数个等长的小过程,每个小过程近似平稳,再分别进行傅里叶变换,这样就知道在哪个时间点上出现了什么频率了。为了达到这个目的,我们先让函数乘上一个仅在一段时间不为零的窗函数 ,再进行一维的傅里叶变换:

随着 的改变,窗函数在时间轴上位移,因此信号只留下了窗函数截取的部分做傅里叶变换,所得到的结果代表着信号随时间与频率变换的大小与相位。窗函数的种类很多,需要根据不同的应用场景进行选取,随着窗函数大小的不同,变换会有不同的频率和时间分辨率。
3.4.2 时频分析

然而,Gabor 变换也有缺陷,窗太窄,窗内的信号太短,会导致频率分析不够精准,频率分辨率差。窗太宽,时域上又不够精细,时间分辨率低。这实际上也是我们后面要提到的不确定性原理

因此,基于 Gabor 变换这一缺点,人们又设计出了小波变换,小波变换继承和发展了短时傅立叶变换局部化的思想,同时又克服了窗口大小不随频率变化等缺点。在数学原理上,小波变换实际上是替换了傅里叶变换的基,将无限长的三角函数基换成了有限长的会衰减的小波基,即

其中 为小波母函数, 为位置参数, 为尺度参数。对不同的小波母函数,我们可以得到不同种类的小波变换,比如 Ricker 小波、Hermite 小波等。相较于 Gabor 变换,Gabor 变换在处理信号时不管是高频还是低频,尺度都是相同的,而小波变换会根据不同的频率改变其本身的尺度,从而达到高频处时间细分,低频处频率细分的效果,这使得我们可聚焦到信号的任意细节,这一特性正类似于镜头的变焦功能。
小波变换最热门的应用是图像压缩,小波转换式的编码可以提供显著的图像品质改善,且给予更高的压缩比率。不仅如此,小波变换计算复杂度只有 ,比快速傅里叶变换的 更快。
如 JPEG 2000 图像压缩标准就是基于小波变换设计的,相比基于离散傅里叶变换的 JPEG 压缩标准,JPEG 2000 不会产生区块化的马赛克失真,在压缩率较高的情形下优势十分明显,并且还有可缩放性和可编辑性等特性。然而由于版权与专利的问题,JPEG 2000 技术一直没有得到广泛的商用。
小波分析是一个新兴的数学分支,它是泛函分析、傅里叶分析、调和分析、数值分析的完美结合。在应用领域,特别是在信号处理、图像处理、语音处理以及众多非线性科学领域,小波变换解决了大量傅里叶变换无法解决的问题,它被认为是继傅里叶分析之后的又一有效的时频分析方法,也被誉为是调和分析发展史上里程碑式的进展。
3.5 分数傅里叶变换

分数傅里叶变换是傅里叶变换的广义形式,它提供了介于时域和频域之间的多分数域信号表征,为非平稳信号处理和线性时变系统分析开辟了新途径。

分数傅里叶变换即做傅里叶变换   次,其中 不一定要为整数;而做了分数傅里叶变换之后,信号便会出现在介于时域与频域之间的分数域。分数傅里叶变换是一个很新的领域,虽然早在 1929 年就已被 Wiener 提出,但直到 1994 年,才有人将其运用到信号处理上,2000 年后,与分数傅里叶变换相关的理论研究才有了突飞猛进的发展。其常用的定义为:

其中 为实数,当 时,分数傅里叶变换就成了普通傅里叶变换。我们还可以用迭代的方式可以简单的表示为:

为整数时,则代表做 次傅里叶变换。

和空间中的变换一样,分数傅里叶变换其实同样可以看作是时频平面的旋转,当这个旋转角度为 90 度时,就是一般的傅里叶变换。运用分数傅立叶变换,我们可以选取信息最集中的角度去分析,也就是在不同的分数阶得到的结果中选取幅值最大的那个结果,那么这个结果所存在的那个分数阶就是最优阶次。

这不得不使得我们联想到多元统计分析中的主成分分析,主成分分析是统计学中常用的降维方法,可以看作是在空域中的变换。分数傅里叶变换中也存在类似的思想,可以看作是基于变换域的方法。

若再更进一步地广义化分数傅里叶变换,则可推广至线性标准变换。线性标准变换是许多经典转换的广义化,是积分变换的一个大家族。

3.6 不确定性原理

傅里叶变换及其相关理论的思想深入到了自然学科的方方面面,对于某些看似并不相关的领域,傅里叶变换竟也能成功与其牵扯上关系,傅立叶变换在不同领域产生了巨大冲击力,这是连傅里叶本人也始料未及的。

量子理论中的 Heisenberg 不确定性原理就是一个很好的例子。不确定性原理本身是量子力学特有的理论,但傅里叶变换从数学的角度给出了更深刻的解释。在 20 世纪,傅里叶变换已经成为了量子力学的核心理论之一。

不确定性原理表明,粒子的位置与动量不可同时被确定,即对一者掌握得越清楚,对另一者就掌握得越模糊。位置的不确定性与动量的不确定性遵守不等式

其中 为标准差, 是普朗克常数。
其实,位置和动量的关系,类似于信号在时空域与频域的关系,即任何信号的时空分辨率和频率分辨率是不能同时被无限提高的,这一点我们在小波变换中已经提及。例如一个声音越短促,我们就越不确定它的频率,要清楚的确定一个声音的频率,我们必须得到足够长的声音片段,持续时间越长,我们对所确定出的频率也越有把握。因此,我们也有信号中的不确定性原理:

实际上,不确定性原理在其他领域也有对应的解释,在希尔伯特空间中,我们可以利用厄米算子从理论上导出广义的不确定性原理:

不确定性原理在调和分析中也有对应的解释,即 Paley-Wiener 定理:

非零紧支集广义函数的傅里叶变换没有紧支集
实际上,很多物理或其他领域的定理都能在纯粹的数学中找到相应的定理,这也就是为什么数学被称为科学的皇后。数学是一门高度抽象的学科,抽象的代价便是形象,抽象程度越高,概念也就变得越难以直观理解,越偏离我们的常识,但抽象带来的好处是远远大于其付出的代价的。只有对问题进行一层一层的抽象,我们才得以发现自然的定律,原理与本质。


结语

傅里叶思想漫谈写到这里就结束了,在本文中,我们从宏观的角度了解了傅里叶理论的起源与发展,可以看出来,从傅里叶级数与变换所发展起来的理论,深刻影响了两百年来的自然科学体系,它几乎存在于生活和科学的各个领域,毫不夸张地说,当前发达的互联网信息社会也有傅里叶的一大功劳。

傅里叶分析颠覆了人们的思维模式与世界观,让人们能够看到世界的另外一面,可惜由于傅里叶级数定义的抽象性,许多人都不想去理解它所蕴涵的思想。

其实数学的乐趣就在于此,当你正进行艰苦的思考、理解与探索,百思不得其解时,突然灵光一现,柳暗花明,领悟到了数学的逻辑美,这个过程带来的乐趣与成就感是无可比拟的。

正如 Klein 所说:“音乐能激发或抚慰情怀,绘画使人赏心悦目,诗歌能动人心弦,哲学使人获得智慧,科技可以改善物质生活,然而,数学却能提供以上一切。”

更多阅读




#投 稿 通 道#

 让你的论文被更多人看到 



如何才能让更多的优质内容以更短路径到达读者群体,缩短读者寻找优质内容的成本呢?答案就是:你不认识的人。


总有一些你不认识的人,知道你想知道的东西。PaperWeekly 或许可以成为一座桥梁,促使不同背景、不同方向的学者和学术灵感相互碰撞,迸发出更多的可能性。 


PaperWeekly 鼓励高校实验室或个人,在我们的平台上分享各类优质内容,可以是最新论文解读,也可以是学习心得技术干货。我们的目的只有一个,让知识真正流动起来。


📝 来稿标准:

• 稿件确系个人原创作品,来稿需注明作者个人信息(姓名+学校/工作单位+学历/职位+研究方向) 

• 如果文章并非首发,请在投稿时提醒并附上所有已发布链接 

• PaperWeekly 默认每篇文章都是首发,均会添加“原创”标志


📬 投稿邮箱:

• 投稿邮箱:hr@paperweekly.site 

• 所有文章配图,请单独在附件中发送 

• 请留下即时联系方式(微信或手机),以便我们在编辑发布时和作者沟通



🔍


现在,在「知乎」也能找到我们了

进入知乎首页搜索「PaperWeekly」

点击「关注」订阅我们的专栏吧



关于PaperWeekly


PaperWeekly 是一个推荐、解读、讨论、报道人工智能前沿论文成果的学术平台。如果你研究或从事 AI 领域,欢迎在公众号后台点击「交流群」,小助手将把你带入 PaperWeekly 的交流群里。



登录查看更多
3

相关内容

【经典书】计算理论导论,482页pdf
专知会员服务
86+阅读 · 2021年4月10日
专知会员服务
117+阅读 · 2021年3月23日
124页哈佛数学系本科论文,带你了解流形学习的数学基础
专知会员服务
45+阅读 · 2020年12月23日
专知会员服务
128+阅读 · 2020年11月25日
【硬核书】群论,Group Theory,135页pdf
专知会员服务
129+阅读 · 2020年6月25日
【CVPR2020】图神经网络中的几何原理连接
专知会员服务
57+阅读 · 2020年4月8日
漫谈图神经网络 (三)
图与推荐
3+阅读 · 2020年2月23日
二维铁电性:一泓秋水映
中国物理学会期刊网
9+阅读 · 2018年12月27日
从傅里叶分析角度解读深度学习的泛化能力
PaperWeekly
8+阅读 · 2018年8月24日
【干货合集】从贝叶斯方法谈到贝叶斯网络
七月在线实验室
6+阅读 · 2018年8月1日
浅谈贝叶斯和MCMC
AI100
14+阅读 · 2018年6月11日
傅里叶变换和拉普拉斯变换的物理解释及区别
算法与数学之美
11+阅读 · 2018年2月5日
细讲傅立叶变换
算法与数学之美
3+阅读 · 2018年1月17日
实例详解贝叶斯推理的原理
算法与数学之美
3+阅读 · 2017年10月3日
微积分的本质 合集
遇见数学
12+阅读 · 2017年7月29日
从贝叶斯方法谈到贝叶斯网络
七月在线实验室
8+阅读 · 2017年7月6日
Arxiv
0+阅读 · 2021年4月23日
Arxiv
19+阅读 · 2018年6月27日
Arxiv
4+阅读 · 2018年4月10日
Arxiv
6+阅读 · 2017年12月7日
VIP会员
相关VIP内容
【经典书】计算理论导论,482页pdf
专知会员服务
86+阅读 · 2021年4月10日
专知会员服务
117+阅读 · 2021年3月23日
124页哈佛数学系本科论文,带你了解流形学习的数学基础
专知会员服务
45+阅读 · 2020年12月23日
专知会员服务
128+阅读 · 2020年11月25日
【硬核书】群论,Group Theory,135页pdf
专知会员服务
129+阅读 · 2020年6月25日
【CVPR2020】图神经网络中的几何原理连接
专知会员服务
57+阅读 · 2020年4月8日
相关资讯
漫谈图神经网络 (三)
图与推荐
3+阅读 · 2020年2月23日
二维铁电性:一泓秋水映
中国物理学会期刊网
9+阅读 · 2018年12月27日
从傅里叶分析角度解读深度学习的泛化能力
PaperWeekly
8+阅读 · 2018年8月24日
【干货合集】从贝叶斯方法谈到贝叶斯网络
七月在线实验室
6+阅读 · 2018年8月1日
浅谈贝叶斯和MCMC
AI100
14+阅读 · 2018年6月11日
傅里叶变换和拉普拉斯变换的物理解释及区别
算法与数学之美
11+阅读 · 2018年2月5日
细讲傅立叶变换
算法与数学之美
3+阅读 · 2018年1月17日
实例详解贝叶斯推理的原理
算法与数学之美
3+阅读 · 2017年10月3日
微积分的本质 合集
遇见数学
12+阅读 · 2017年7月29日
从贝叶斯方法谈到贝叶斯网络
七月在线实验室
8+阅读 · 2017年7月6日
Top
微信扫码咨询专知VIP会员