资源 | 源自斯坦福CS229,机器学习备忘录在集结

2018 年 11 月 13 日 机器学习算法与Python学习

编辑 | 思源、李亚洲    编译 | 机器之心

在 Github 上,afshinea 贡献了一个备忘录对经典的斯坦福 CS229 课程进行了总结,内容包括监督学习、无监督学习,以及进修所用的概率与统计、线性代数与微积分等知识。


项目地址:https://github.com/afshinea/stanford-cs-229-machine-learning



中英文PDF下载方式

关注公众号,后台回复关键词

20181113



据项目介绍,该 repository 旨在总结斯坦福 CS 229 机器学习课程的所有重要概念,包括:


  • 学习该课程所需的重要预备知识,例如概率与统计、代数与微积分等进修课程。

  • 对每个机器学习领域知识的备忘录,以及在训练模型时需要的提示与技巧。

  • 上面所有的元素最终汇编进来一个备忘录里。


VIP Cheatsheets


在这一部分中,该项目根据 CS 229 提供了监督学习、无监督学习、深度学习、机器学习技巧等重点内容。其中监督学习主要介绍了回归、分类和生成,无监督主要介绍了聚类与降维算法,深度学习概述了三种神经网络。


监督学习


如下所示监督学习介绍了非常多基础概念,包括损失函数、梯度下降和最大似然估计等。其中损失函数展示了常用的最小二乘损失函数、折页损失函数和交叉熵损失函数等,每一种损失函数的图像、定义和应用的算法都展示在其中。



监督学习部分一共有四页备忘录,除了一般的线性与 Logistic 回归,还重点介绍了 SVM、朴素贝叶斯和 K 近邻等其它一些非参模型。这些基本上都是直接给出的定义,因此不会有过多的冗余信息,这对于机器学习开发者与研究者作为参考还是非常有帮助的。


除了标准的定义外,很多重点概念还会用形象的图示表达出来,如下展示了监督学习中的支持向量机:



上述定义清楚地描述了 SVM 的定义,它希望能根据「支持向量」最大化分类边界之间的间隔,这样的分类模型将更稳定。基本上着一幅图就讲述了 SVM 的基本想法,同时也展现了分类原理,根据它再「回忆起」合页损失函数也就更容易了。


无监督学习


无监督学习主要记录了 EM 算法、聚类算法和降维算法等,其中聚类又详细介绍了 K 均值聚类、层级聚类和其他聚类距离度量方法等,而降维算法则主要展示了主成分分析法和独立成分分析法这两种。



除了标准的定义,这些算法的原理图也非常重要,如上所示在 K 均值聚类中,四幅图展示了该算法的具体过程。首先随机初始化均值,然后将离均值近的样本分配为均值所代表的那一类,随后根据误差更新均值的位置,并直到模型收敛。主成分分析同样有非常好的可视化,如下 PCA 会先归一化数据特征,然后根据奇异值分解找出主成分,最后再将所有数据映射到主成分而实现降维。



深度学习


很多读者已经比较了解深度学习了,尤其是全连接网络、卷积网络和循环网络。这一份备忘录同样也展示了这三种网络重要的概念与定义,且同时描述了强化学习的一些基本概念,如马尔可夫决策过程、贝尔曼方程价值迭代算法和 Q 学习等。



我们认为在图 CNN 中,非常重要的是计算输出特征图大小的公式,即 N = (W-F+2P)/S + 1。其中 W 表示输入特征图的长宽,F 表示卷积核大小,P 表示在每一端填补零值的数量,S 表示卷积步幅,因此计算出来的 N 就表示输出特征图的尺寸。这对于设计卷积网络非常重要,我们经常需要该公式控制网络中间的特征图大小。


机器学习技巧


这一份备忘录从分类、回归、模型选择和模型诊断出发展示了 ML 中的一些技巧。其中分类与回归主要从度量方法的角度探讨,也就是说到底什么样的方法才能确定模型的好坏,以及它们的特定属性。同样模型选择与诊断也都希望判断模型的好坏,只不过一个是从交叉验证与正则化的角度考虑,另一个是从偏差与方差的角度考虑。



VIP Refreshers


这一部分作者提供了进修课程的备忘录,包括对概率与统计、代数与微积分的介绍。


概率与统计


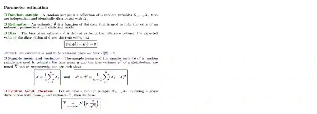
从排列与组合开始,这一部分介绍了概率与统计的概念定义。包括条件概率、贝叶斯法则、概率密度函数、概率分布函数与随机变量的均值和方差等。后面的统计也展示了非常多的定义与规则,包括分布的 K 阶矩、常见的离散型与连续型随机变量分布,以及样本均值、方差、协方差等数据特征。



最后,该备忘录同样记录了参数估计,这对于机器学习来说是最为关键的概念之一,因为本质上机器学习就是需要通过大量样本对模型的参数进行估计,或者称为「学习」。此外,之所以高斯分布如此重要,最后面的中心极限定理可以给我们答案。也就是说,如果采样 n 个服从独立同分布的样本,那么当 n 趋近于无穷大的时候,这个未知的分布一定是接近于高斯分布的。


线性代数与微积分


矩阵运算与微分在实际搭建模型时非常重要,因为不论是传统的机器学习还是深度学习,我们实际都是使用矩阵甚至是张量进行运算,了解它们的法则才能理解模型的实际过程。在这一份备忘录中,作者描述了向量与矩阵的定义、各种常见矩阵运算的定义,以及大量的矩阵概念,例如矩阵的迹、矩阵的逆、矩阵的秩、矩阵的正定和特征值与特征向量等。



矩阵微分的基本概念也展示在上面,因为我们在根据反向传播更新参数时,基本使用的都是矩阵微分。这也就需要我们了解 Jacobian 矩阵和 Hessian 矩阵。



推荐阅读

131页超清 |《2018新一代人工智能白皮书:产业增长点研判》

老鸟程序员才知道的40个小技巧

资源 | 深度学习 & ChatBot全面总结

254页教程《Writing Code for NLP Research》

338页新书《Deep Learning in Natural Language Processing》

登录查看更多
1

相关内容

监督学习是指:利用一组已知类别的样本调整分类器的参数,使其达到所要求性能的过程,也称为监督训练或有教师学习。 监督学习是从标记的训练数据来推断一个功能的机器学习任务。训练数据包括一套训练示例。在监督学习中,每个实例都是由一个输入对象(通常为矢量)和一个期望的输出值(也称为监督信号)组成。监督学习算法是分析该训练数据,并产生一个推断的功能,其可以用于映射出新的实例。一个最佳的方案将允许该算法来正确地决定那些看不见的实例的类标签。这就要求学习算法是在一种“合理”的方式从一种从训练数据到看不见的情况下形成。
专知会员服务
119+阅读 · 2019年12月24日
资源 | 李航老师《统计学习方法》(第2版)课件下载
专知会员服务
255+阅读 · 2019年11月10日
中文课程!台大李宏毅机器学习公开课2019版上线
全球人工智能
14+阅读 · 2019年3月18日
吴恩达机器学习课程
平均机器
9+阅读 · 2018年2月5日
三天速成!香港科技大学TensorFlow课件分享
机器之心
11+阅读 · 2017年10月7日
Arxiv
7+阅读 · 2019年5月31日
Deep Learning for Energy Markets
Arxiv
10+阅读 · 2019年4月10日
Arxiv
18+阅读 · 2019年1月16日
Arxiv
22+阅读 · 2018年8月30日
Arxiv
151+阅读 · 2017年8月1日
VIP会员
相关资讯
中文课程!台大李宏毅机器学习公开课2019版上线
全球人工智能
14+阅读 · 2019年3月18日
吴恩达机器学习课程
平均机器
9+阅读 · 2018年2月5日
三天速成!香港科技大学TensorFlow课件分享
机器之心
11+阅读 · 2017年10月7日
相关论文
Arxiv
7+阅读 · 2019年5月31日
Deep Learning for Energy Markets
Arxiv
10+阅读 · 2019年4月10日
Arxiv
18+阅读 · 2019年1月16日
Arxiv
22+阅读 · 2018年8月30日
Arxiv
151+阅读 · 2017年8月1日
Top
微信扫码咨询专知VIP会员