用Python中可视化梯度下降

【导读】你是否好奇在训练神经网络的时候梯度是如何下降的? 怎样设计梯度下降的策略才能够使模型更快收敛? 这篇博客可视化了梯度下降的方法,并直观表明,当损失表面一个方向比其他方向陡峭时(raven-like),与动量相比,具有动量的梯度下降可以更快地收敛。


作者|Henry Chang

编译|专知

整理|Yingying,李大囧


从简单的开始

让我们从设定一个raven-like 损失函数并将其投影到二维开始。


L(x,y)= 1 /16x²+ 9y²


下图是raven-like损失函数。 对于该损失表面,在点(0,0)处存在全局最小值,其值等于零。



具有动量的梯度下降

梯度下降是一种优化算法,可以找到给定函数的最小值。在机器学习中,我们使用梯度下降来减小损失。vanilla梯度下降的问题在于某些损失表面的收敛时间很长,其中一个技巧是使用动量来达到更快的收敛。


动量方法可以在梯度指向跨越迭代的相同方向的方向上累积速度。它通过将当前权重更新的一部分添加到当前权重更新来实现此目的。我们首先展示动量的数学原理,然后进行一些实验,看动量是否真的能帮助我们实现更快的收敛。


下面的等式是具有动量更新的梯度下降。 β是添加的动量部分的权值,范围为0~1。当β= 0时,它会退化到到vanilla梯度下降。


v =βv+∇L(w)

w = w - αv


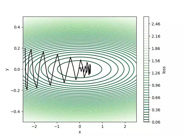
我们首先在初始化我们的权重(-2.4,0.2)。接下来,尝试使用学习率α= 0.1的vanilla梯度下降(β= 0),运行50次迭代并观察损失如何衰减。


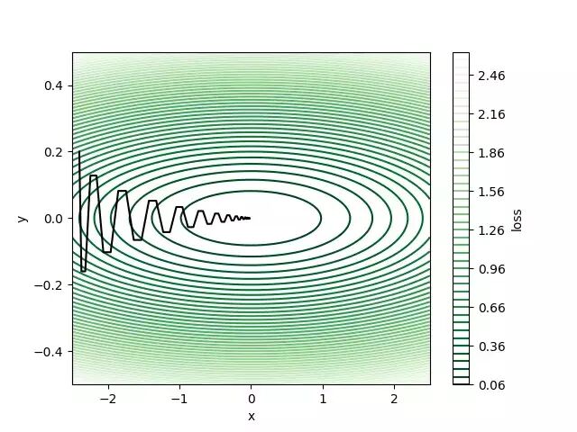
50次迭代后损失大约为0.1,但仍然远离全局最小值(0,0),其中损失为零。 我们可以看到梯度保持改变方向,因为y方向上的梯度正在改变每次迭代的符号,这使得算法缓慢地逼近最佳结果。 我们可以增加动量来加快学习速度。 让我们尝试β= 0.8并运行相同数量的迭代进行权重更新。


我们现在使用动量实现相同迭代次数,最终损失为2.8e-5! 因为x方向上的梯度总是指向正x方向,所以可以累积速度。 实际上,这意味着在x方向上具有更大的学习速率,因此与香草梯度下降相比,它可以达到相同迭代次数的更低损失。 这也是为什么动量可以抑制振荡的原因。


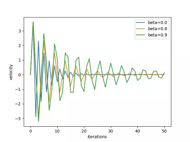
我们可能想知道如果我们选择β= 0.9,它会不会更多地积累速度并更快地达到全局最小值?


答案是不。 上图显示,过大的速度将通过大步长的全局最小值。 我们还可以绘制速度 - 迭代关系,以分别表示速度如何在x和y方向上变化。


结论

我们直观地表明,当损失表面像乌鸦一样时,具有动量的梯度下降比香草梯度下降更快收敛。 我们还明白到β不能太大,因为它会积累太多的动量并快速超过最佳点。


原文链接:

https://medium.com/@hengluchang/visualizing-gradient-descent-with-momentum-in-python-7ef904c8a847

-END-

专 · 知


人工智能领域26个主题知识资料全集获取与加入专知人工智能服务群: 欢迎微信扫一扫加入专知人工智能知识星球群,获取专业知识教程视频资料和与专家交流咨询!


请PC登录www.zhuanzhi.ai或者点击阅读原文,注册登录专知,获取更多AI知识资料!


请加专知小助手微信(扫一扫如下二维码添加),加入专知主题群(请备注主题类型:AI、NLP、CV、 KG等)交流~

 AI 项目技术 & 商务合作:bd@zhuanzhi.ai, 或扫描上面二维码联系!

请关注专知公众号,获取人工智能的专业知识!

点击“阅读原文”,使用专知

展开全文
Top
微信扫码咨询专知VIP会员