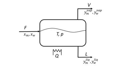
Algorithms which compute locally optimal continuous designs often rely on a finite design space or on repeatedly solving a complex non-linear program. Both methods require extensive evaluations of the Jacobian Df of the underlying model. These evaluations present a heavy computational burden. Based on the Kiefer-Wolfowitz Equivalence Theorem we present a novel design of experiments algorithm which computes optimal designs in a continuous design space. For this iterative algorithm we combine an adaptive Bayes-like sampling scheme with Gaussian process regression to approximate the directional derivative of the design criterion. The approximation allows us to adaptively select new design points on which to evaluate the model. The adaptive selection of the algorithm requires significantly less evaluations of Df and reduces the runtime of the computations. We show the viability of the new algorithm on two examples from chemical engineering.


翻译:计算当地最佳连续设计的算法常依赖于有限的设计空间或反复解决复杂的非线性程序。两种方法都需要对基本模型的Jacobian Df 进行广泛的评估。这些评估产生了沉重的计算负担。根据Kiefer-Wolfowitz等效理论,我们提出了一个新颖的实验算法设计,该算法在连续设计空间中计算最佳设计。对于这一迭代算法,我们把适应性的贝亚式采样方案与高斯进程回归结合起来,以近似设计标准的方向衍生物。近似法使我们能够适应性地选择新的设计点,用以评价模型。对算法的适应性选择要求大大减少对Df的评价,并缩短计算运行时间。我们用化学工程的两个例子来展示新算法的可行性。

0
下载
关闭预览

相关内容

专知会员服务
54+阅读 · 2020年9月7日
【SIGGRAPH2019】TensorFlow 2.0深度学习计算机图形学应用
专知会员服务
41+阅读 · 2019年10月9日
Hierarchically Structured Meta-learning
CreateAMind
27+阅读 · 2019年5月22日
逆强化学习-学习人先验的动机
CreateAMind
16+阅读 · 2019年1月18日
强化学习的Unsupervised Meta-Learning
CreateAMind
18+阅读 · 2019年1月7日
Unsupervised Learning via Meta-Learning
CreateAMind
43+阅读 · 2019年1月3日
Implicit Maximum Likelihood Estimation
Arxiv
7+阅读 · 2018年9月24日
VIP会员
相关资讯
Hierarchically Structured Meta-learning
CreateAMind
27+阅读 · 2019年5月22日
逆强化学习-学习人先验的动机
CreateAMind
16+阅读 · 2019年1月18日
强化学习的Unsupervised Meta-Learning
CreateAMind
18+阅读 · 2019年1月7日
Unsupervised Learning via Meta-Learning
CreateAMind
43+阅读 · 2019年1月3日
Top
微信扫码咨询专知VIP会员