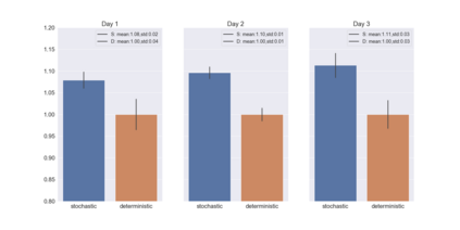
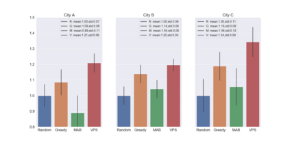
We present a new practical framework based on deep reinforcement learning and decision-time planning for real-world vehicle repositioning on ride-hailing (a type of mobility-on-demand, MoD) platforms. Our approach learns the spatiotemporal state-value function using a batch training algorithm with deep value networks. The optimal repositioning action is generated on-demand through value-based policy search, which combines planning and bootstrapping with the value networks. For the large-fleet problems, we develop several algorithmic features that we incorporate into our framework and that we demonstrate to induce coordination among the algorithmically-guided vehicles. We benchmark our algorithm with baselines in a ride-hailing simulation environment to demonstrate its superiority in improving income efficiency meausred by income-per-hour. We have also designed and run a real-world experiment program with regular drivers on a major ride-hailing platform. We have observed significantly positive results on key metrics comparing our method with experienced drivers who performed idle-time repositioning based on their own expertise.


翻译:我们提出了一个新的实用框架,其基础是深入强化学习和决定时间规划,以利实时机动车辆重新定位(按需流动,国防部)平台。我们的方法是利用具有深价值网络的批量培训算法,学习时空国家价值功能。最佳的重新定位行动是通过基于价值的政策搜索,将规划和靴子与价值网络结合起来,根据需求产生。对于大型飞行问题,我们开发了几种算法特征,将之纳入我们的框架中,并展示了在算法制车辆之间促成协调。我们用基线将我们的算法算法算法以搭乘模拟环境为基准,以显示其在提高收入效率方面的优势,通过每小时收入计算。我们还设计并运行了一个现实世界实验方案,定期司机在主要乘车平台上进行。我们观察到了在将我们的方法与经验丰富的驾驶员进行比较方面所取得的显著积极结果,这些驾驶员根据自己的专长进行了闲置的重新定位。

0
下载
关闭预览

相关内容

深度强化学习 (DRL) 是一种使用深度学习技术扩展传统强化学习方法的一种机器学习方法。 传统强化学习方法的主要任务是使得主体根据从环境中获得的奖赏能够学习到最大化奖赏的行为。然而,传统无模型强化学习方法需要使用函数逼近技术使得主体能够学习出值函数或者策略。在这种情况下,深度学习强大的函数逼近能力自然成为了替代人工指定特征的最好手段并为性能更好的端到端学习的实现提供了可能。
可解释强化学习,Explainable Reinforcement Learning: A Survey
专知会员服务
132+阅读 · 2020年5月14日
Stabilizing Transformers for Reinforcement Learning
专知会员服务
60+阅读 · 2019年10月17日
《DeepGCNs: Making GCNs Go as Deep as CNNs》
专知会员服务
31+阅读 · 2019年10月17日
Keras François Chollet 《Deep Learning with Python 》, 386页pdf
专知会员服务
161+阅读 · 2019年10月12日
强化学习最新教程,17页pdf
专知会员服务
182+阅读 · 2019年10月11日
强化学习扫盲贴:从Q-learning到DQN
夕小瑶的卖萌屋
52+阅读 · 2019年10月13日
Hierarchically Structured Meta-learning
CreateAMind
27+阅读 · 2019年5月22日
强化学习的Unsupervised Meta-Learning
CreateAMind
18+阅读 · 2019年1月7日
Unsupervised Learning via Meta-Learning
CreateAMind
43+阅读 · 2019年1月3日
disentangled-representation-papers
CreateAMind
26+阅读 · 2018年9月12日
Hierarchical Imitation - Reinforcement Learning
CreateAMind
19+阅读 · 2018年5月25日
Hierarchical Disentangled Representations
CreateAMind
4+阅读 · 2018年4月15日
强化学习族谱
CreateAMind
26+阅读 · 2017年8月2日
强化学习 cartpole_a3c
CreateAMind
9+阅读 · 2017年7月21日
Arxiv
7+阅读 · 2018年12月26日
Arxiv
4+阅读 · 2018年10月5日
Hierarchical Deep Multiagent Reinforcement Learning
Arxiv
8+阅读 · 2018年9月25日
Relational Deep Reinforcement Learning
Arxiv
10+阅读 · 2018年6月28日
A Multi-Objective Deep Reinforcement Learning Framework
VIP会员
相关VIP内容
相关资讯
强化学习扫盲贴:从Q-learning到DQN
夕小瑶的卖萌屋
52+阅读 · 2019年10月13日
Hierarchically Structured Meta-learning
CreateAMind
27+阅读 · 2019年5月22日
强化学习的Unsupervised Meta-Learning
CreateAMind
18+阅读 · 2019年1月7日
Unsupervised Learning via Meta-Learning
CreateAMind
43+阅读 · 2019年1月3日
disentangled-representation-papers
CreateAMind
26+阅读 · 2018年9月12日
Hierarchical Imitation - Reinforcement Learning
CreateAMind
19+阅读 · 2018年5月25日
Hierarchical Disentangled Representations
CreateAMind
4+阅读 · 2018年4月15日
强化学习族谱
CreateAMind
26+阅读 · 2017年8月2日
强化学习 cartpole_a3c
CreateAMind
9+阅读 · 2017年7月21日
Top
微信扫码咨询专知VIP会员