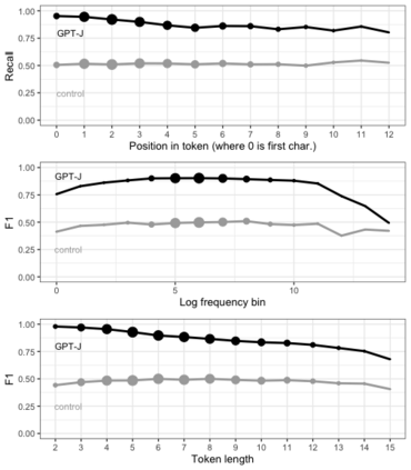
Pre-trained language models (PLMs) that use subword tokenization schemes can succeed at a variety of language tasks that require character-level information, despite lacking explicit access to the character composition of tokens. Here, studying a range of models (e.g., GPT- J, BERT, RoBERTa, GloVe), we probe what word pieces encode about character-level information by training classifiers to predict the presence or absence of a particular alphabetical character in a token, based on its embedding (e.g., probing whether the model embedding for "cat" encodes that it contains the character "a"). We find that these models robustly encode character-level information and, in general, larger models perform better at the task. We show that these results generalize to characters from non-Latin alphabets (Arabic, Devanagari, and Cyrillic). Then, through a series of experiments and analyses, we investigate the mechanisms through which PLMs acquire English-language character information during training and argue that this knowledge is acquired through multiple phenomena, including a systematic relationship between particular characters and particular parts of speech, as well as natural variability in the tokenization of related strings.


翻译:使用子词符号化办法的经过事先训练的语言模型(PLM)在各种语言任务中可以取得成功,这些语言任务需要品格级信息,尽管缺乏明确获取象征品的品格组成。在这里,我们研究一系列模型(例如,GPT-J、BERT、ROBERTA、GloVe),我们通过培训分类人员,根据嵌入方式(例如,检验是否嵌入包含“a”特性的“Cat”编码的模型),可以成功完成各种需要品格级信息的语文任务。我们发现,这些模型强有力地编码了字符级信息,总体而言,较大的模型在执行任务时表现更好。我们表明,这些结果概括了非拉丁字母(阿拉伯文、德瓦纳加里和西里尔利奇)的字符。 然后,通过一系列试验和分析,我们调查PLMs在培训期间获取英语特征信息的机制,并论证这种知识是通过多种现象获得的,包括特定字符和特定语言部分之间的系统关系,以及象征质化的自然变异性。

0
下载
关闭预览

相关内容

《计算机信息》杂志发表高质量的论文,扩大了运筹学和计算的范围,寻求有关理论、方法、实验、系统和应用方面的原创研究论文、新颖的调查和教程论文,以及描述新的和有用的软件工具的论文。官网链接:https://pubsonline.informs.org/journal/ijoc
剑桥大学《数据科学: 原理与实践》课程,附PPT下载
专知会员服务
54+阅读 · 2021年1月20日
专知会员服务
51+阅读 · 2020年12月14日
专知会员服务
124+阅读 · 2020年9月8日
专知会员服务
41+阅读 · 2020年9月6日
强化学习最新教程,17页pdf
专知会员服务
182+阅读 · 2019年10月11日
【哈佛大学商学院课程Fall 2019】机器学习可解释性
专知会员服务
105+阅读 · 2019年10月9日
AIART 2022 Call for Papers
CCF多媒体专委会
1+阅读 · 2022年2月13日
【ICIG2021】Latest News & Announcements of the Tutorial
中国图象图形学学会CSIG
3+阅读 · 2021年12月20日
【ICIG2021】Latest News & Announcements of the Workshop
中国图象图形学学会CSIG
0+阅读 · 2021年12月20日
【ICIG2021】Check out the hot new trailer of ICIG2021 Symposium8
中国图象图形学学会CSIG
0+阅读 · 2021年11月16日
【ICIG2021】Check out the hot new trailer of ICIG2021 Symposium4
中国图象图形学学会CSIG
0+阅读 · 2021年11月10日
【ICIG2021】Check out the hot new trailer of ICIG2021 Symposium3
中国图象图形学学会CSIG
0+阅读 · 2021年11月9日
【ICIG2021】Check out the hot new trailer of ICIG2021 Symposium2
中国图象图形学学会CSIG
0+阅读 · 2021年11月8日
Hierarchically Structured Meta-learning
CreateAMind
27+阅读 · 2019年5月22日
Unsupervised Learning via Meta-Learning
CreateAMind
43+阅读 · 2019年1月3日
A Technical Overview of AI & ML in 2018 & Trends for 2019
待字闺中
18+阅读 · 2018年12月24日
国家自然科学基金
0+阅读 · 2014年12月31日
国家自然科学基金
0+阅读 · 2013年12月31日
国家自然科学基金
0+阅读 · 2013年12月31日
国家自然科学基金
0+阅读 · 2013年12月31日
国家自然科学基金
0+阅读 · 2009年12月31日
Arxiv
19+阅读 · 2021年6月15日
VIP会员
相关资讯
AIART 2022 Call for Papers
CCF多媒体专委会
1+阅读 · 2022年2月13日
【ICIG2021】Latest News & Announcements of the Tutorial
中国图象图形学学会CSIG
3+阅读 · 2021年12月20日
【ICIG2021】Latest News & Announcements of the Workshop
中国图象图形学学会CSIG
0+阅读 · 2021年12月20日
【ICIG2021】Check out the hot new trailer of ICIG2021 Symposium8
中国图象图形学学会CSIG
0+阅读 · 2021年11月16日
【ICIG2021】Check out the hot new trailer of ICIG2021 Symposium4
中国图象图形学学会CSIG
0+阅读 · 2021年11月10日
【ICIG2021】Check out the hot new trailer of ICIG2021 Symposium3
中国图象图形学学会CSIG
0+阅读 · 2021年11月9日
【ICIG2021】Check out the hot new trailer of ICIG2021 Symposium2
中国图象图形学学会CSIG
0+阅读 · 2021年11月8日
Hierarchically Structured Meta-learning
CreateAMind
27+阅读 · 2019年5月22日
Unsupervised Learning via Meta-Learning
CreateAMind
43+阅读 · 2019年1月3日
A Technical Overview of AI & ML in 2018 & Trends for 2019
待字闺中
18+阅读 · 2018年12月24日
相关基金
国家自然科学基金
0+阅读 · 2014年12月31日
国家自然科学基金
0+阅读 · 2013年12月31日
国家自然科学基金
0+阅读 · 2013年12月31日
国家自然科学基金
0+阅读 · 2013年12月31日
国家自然科学基金
0+阅读 · 2009年12月31日
Top
微信扫码咨询专知VIP会员