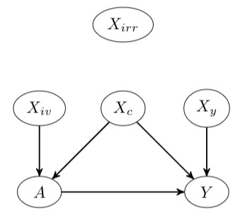
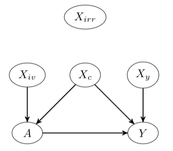
The Doubly Robust (DR) estimation of ATE can be carried out in 2 steps, where in the first step, the treatment and outcome are modeled, and in the second step the predictions are inserted into the DR estimator. The model misspecification in the first step has led researchers to utilize Machine Learning algorithms instead of parametric algorithms. However, existence of strong confounders and/or Instrumental Variables (IVs) can lead the complex ML algorithms to provide perfect predictions for the treatment model which can violate the positivity assumption and elevate the variance of DR estimators. Thus the ML algorithms must be controlled to avoid perfect predictions for the treatment model while still learn the relationship between the confounders and the treatment and outcome. We use two Neural network architectures and investigate how their hyperparameters should be tuned in the presence of confounders and IVs to achieve a low bias-variance tradeoff for ATE estimators such as DR estimator. Through simulation results, we will provide recommendations as to how NNs can be employed for ATE estimation.


翻译:Doubly Robust (DR) ATE 估计可以分两步进行,第一步是模拟治疗和结果,第二步是将预测结果插入DR估计仪。模型在第一步的偏差导致研究人员使用机械学习算法,而不是参数算法。但是,强大的混杂者和/或仪器变量(IVs)的存在可以导致复杂的ML算法,为可能违反假设假设假设的治疗模型提供完美的预测,并提升DR测算器的差异。因此,ML算法必须受到控制,以避免对治疗模型作出完美的预测,同时仍然学习连接者与治疗和结果之间的关系。我们使用两个Neural网络结构,并研究如何在Coverfounders和IVs的存在中调整他们的超参数,以便为ATE测算器等测算器实现低的偏差权衡。通过模拟结果,我们将就如何使用NNU进行估算提出建议。

0
下载
关闭预览

相关内容

【图与几何深度学习】Graph and geometric deep learning,49页ppt
最新《联邦学习Federated Learning》报告,Federated Learning
专知会员服务
89+阅读 · 2020年12月2日
【Google】平滑对抗训练,Smooth Adversarial Training
专知会员服务
49+阅读 · 2020年7月4日
Stabilizing Transformers for Reinforcement Learning
专知会员服务
60+阅读 · 2019年10月17日
机器学习在材料科学中的应用综述,21页pdf
专知会员服务
50+阅读 · 2019年9月24日
【TED】生命中的每一年的智慧
英语演讲视频每日一推
10+阅读 · 2019年1月29日
Unsupervised Learning via Meta-Learning
CreateAMind
43+阅读 · 2019年1月3日
Disentangled的假设的探讨
CreateAMind
9+阅读 · 2018年12月10日
已删除
将门创投
7+阅读 · 2018年10月12日
【SIGIR2018】五篇对抗训练文章
专知
12+阅读 · 2018年7月9日
Hierarchical Disentangled Representations
CreateAMind
4+阅读 · 2018年4月15日
Python机器学习教程资料/代码
机器学习研究会
8+阅读 · 2018年2月22日
Capsule Networks解析
机器学习研究会
11+阅读 · 2017年11月12日
【推荐】GAN架构入门综述(资源汇总)
机器学习研究会
10+阅读 · 2017年9月3日
Auto-Encoding GAN
CreateAMind
7+阅读 · 2017年8月4日
Arxiv
26+阅读 · 2018年2月27日
Arxiv
4+阅读 · 2017年1月2日
VIP会员
相关资讯
【TED】生命中的每一年的智慧
英语演讲视频每日一推
10+阅读 · 2019年1月29日
Unsupervised Learning via Meta-Learning
CreateAMind
43+阅读 · 2019年1月3日
Disentangled的假设的探讨
CreateAMind
9+阅读 · 2018年12月10日
已删除
将门创投
7+阅读 · 2018年10月12日
【SIGIR2018】五篇对抗训练文章
专知
12+阅读 · 2018年7月9日
Hierarchical Disentangled Representations
CreateAMind
4+阅读 · 2018年4月15日
Python机器学习教程资料/代码
机器学习研究会
8+阅读 · 2018年2月22日
Capsule Networks解析
机器学习研究会
11+阅读 · 2017年11月12日
【推荐】GAN架构入门综述(资源汇总)
机器学习研究会
10+阅读 · 2017年9月3日
Auto-Encoding GAN
CreateAMind
7+阅读 · 2017年8月4日
Top
微信扫码咨询专知VIP会员