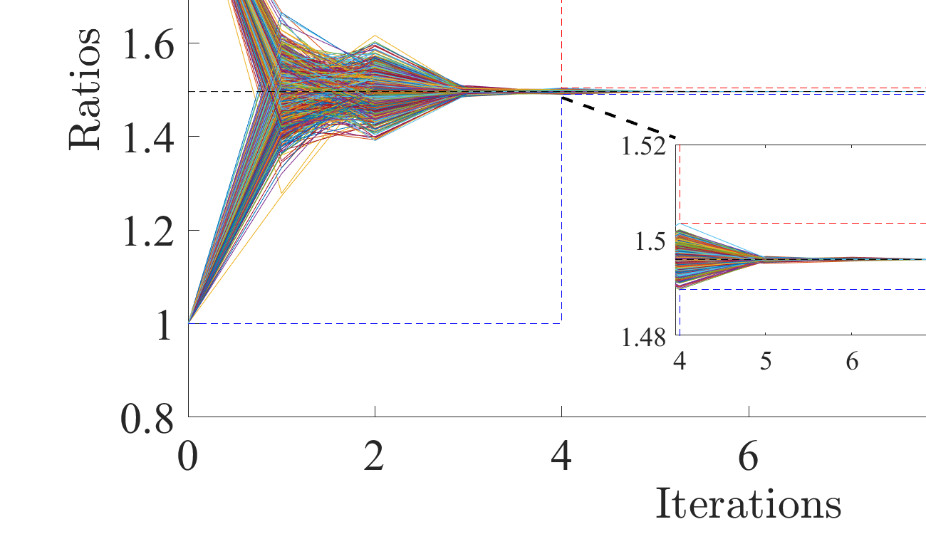
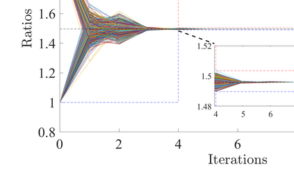
We propose an asynchronous iterative scheme which allows a set of interconnected nodes to distributively reach an agreement to within a pre-specified bound in a finite number of steps. While this scheme could be adopted in a wide variety of applications, we discuss it within the context of task scheduling for data centers. In this context, the algorithm is guaranteed to approximately converge to the optimal scheduling plan, given the available resources, in a finite number of steps. Furthermore, being asynchronous, the proposed scheme is able to take in account the uncertainty that can be introduced from straggler nodes or communication issues in the form of latency variability while still converging to the target objective. In addition, by using extensive empirical evaluation through simulations we show that the proposed method exhibits state-of-the-art performance.


翻译:我们提议了一个不同步的迭代办法,使一组相互关联的节点能够在一定数量的步骤中分配在事先指定的约束范围内达成协议;虽然这一办法可以适用于各种各样的应用,但我们在数据中心任务时间安排的范围内讨论这一办法;在这方面,鉴于现有资源,算法保证在有限的步骤中大致与最佳的时间安排计划趋同;此外,由于不同步,拟议的办法能够考虑到从悬浮节点或通信问题中可以引入的不确定性,这种不确定性的形式是延缓变异,同时仍然与目标目标相融合;此外,通过模拟进行广泛的经验评估,我们表明,拟议的方法表现了最先进的业绩。

0
下载
关闭预览

相关内容

iOS 8 提供的应用间和应用跟系统的功能交互特性。
  • Today (iOS and OS X): widgets for the Today view of Notification Center
  • Share (iOS and OS X): post content to web services or share content with others
  • Actions (iOS and OS X): app extensions to view or manipulate inside another app
  • Photo Editing (iOS): edit a photo or video in Apple's Photos app with extensions from a third-party apps
  • Finder Sync (OS X): remote file storage in the Finder with support for Finder content annotation
  • Storage Provider (iOS): an interface between files inside an app and other apps on a user's device
  • Custom Keyboard (iOS): system-wide alternative keyboards

Source: iOS 8 Extensions: Apple’s Plan for a Powerful App Ecosystem
TensorFlow 2.0 学习资源汇总
专知会员服务
67+阅读 · 2019年10月9日
【SIGGRAPH2019】TensorFlow 2.0深度学习计算机图形学应用
专知会员服务
41+阅读 · 2019年10月9日
MIT新书《强化学习与最优控制》
专知会员服务
281+阅读 · 2019年10月9日
Hierarchically Structured Meta-learning
CreateAMind
27+阅读 · 2019年5月22日
已删除
将门创投
8+阅读 · 2019年3月18日
强化学习的Unsupervised Meta-Learning
CreateAMind
18+阅读 · 2019年1月7日
Unsupervised Learning via Meta-Learning
CreateAMind
43+阅读 · 2019年1月3日
Hierarchical Disentangled Representations
CreateAMind
4+阅读 · 2018年4月15日
【今日新增】IEEE Trans.专刊截稿信息8条
Call4Papers
7+阅读 · 2017年6月29日
VIP会员
相关资讯
Hierarchically Structured Meta-learning
CreateAMind
27+阅读 · 2019年5月22日
已删除
将门创投
8+阅读 · 2019年3月18日
强化学习的Unsupervised Meta-Learning
CreateAMind
18+阅读 · 2019年1月7日
Unsupervised Learning via Meta-Learning
CreateAMind
43+阅读 · 2019年1月3日
Hierarchical Disentangled Representations
CreateAMind
4+阅读 · 2018年4月15日
【今日新增】IEEE Trans.专刊截稿信息8条
Call4Papers
7+阅读 · 2017年6月29日
Top
微信扫码咨询专知VIP会员