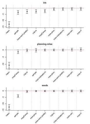
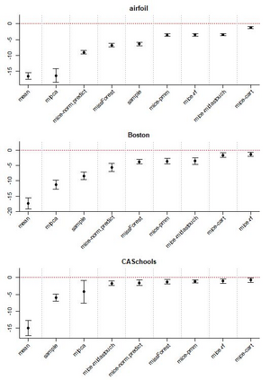
Given the prevalence of missing data in modern statistical research, a broad range of methods is available for any given imputation task. How does one choose the `best' method in a given application? The standard approach is to select some observations, set their status to missing, and compare prediction accuracy of the methods under consideration for these observations. Besides having to somewhat artificially mask additional observations, a shortcoming of this approach is that the optimal imputation in this scheme chooses the conditional mean if predictive accuracy is measured with RMSE. In contrast, we would like to rank highest methods that can sample from the true conditional distribution. In this paper, we develop a principled and easy-to-use evaluation method for missing value imputation under the missing completely at random (MCAR) assumption. The approach is applicable for discrete and continuous data and works on incomplete data sets, without having to leave out additional observations for evaluation. Moreover, it favors imputation methods that reproduce the original data distribution. We show empirically on a range of data sets and imputation methods that our score consistently ranks true data high(est) and is able to avoid pitfalls usually associated with performance measures such as RMSE. Finally, we provide an R-package with an implementation of our method.


翻译:鉴于现代统计研究中缺少的数据十分普遍,因此可以对任何特定估算任务采用广泛的方法。在特定应用中,如何选择“最佳”方法?标准方法是选择某些观测,将其状况设定为缺失状态,并比较审议中方法的预测准确性。除了必须在某种程度上人为地掩盖额外观测之外,这一方法的一个缺点是,如果用RUSE衡量预测准确性,这个方法的最佳估算方法选择有条件的平均值。相比之下,我们希望将能够从真正的有条件分布中抽样的最高方法排在首位。在本文中,我们为完全随机(MCAR)假设缺失的缺失值估算制定了原则性和易于使用的评估方法。该方法适用于离散和连续的数据,并针对不完整的数据集开展工作,而不必留下额外的观察来进行评估。此外,它赞成采用复制原始数据分布的估算方法。我们用经验来显示一系列数据集和估算方法,这些数据集和估算方法能够从真实的有条件分布中进行抽样。在本文中,我们在完全随机(MCAR)假设的假设下,为缺失的缺失值估算制定了一种原则性和易使用的评估方法。该方法适用于离散连续连续连续连续连续和连续的数据和连续进行计算。此外,我们作为执行的方法。

0
下载
关闭预览

相关内容

【干货书】机器学习速查手册,135页pdf
专知会员服务
127+阅读 · 2020年11月20日
专知会员服务
124+阅读 · 2020年9月8日
ExBert — 可视化分析Transformer学到的表示
专知会员服务
32+阅读 · 2019年10月16日
机器学习入门的经验与建议
专知会员服务
94+阅读 · 2019年10月10日
最新BERT相关论文清单,BERT-related Papers
专知会员服务
53+阅读 · 2019年9月29日
强化学习三篇论文 避免遗忘等
CreateAMind
20+阅读 · 2019年5月24日
Hierarchically Structured Meta-learning
CreateAMind
27+阅读 · 2019年5月22日
Transferring Knowledge across Learning Processes
CreateAMind
29+阅读 · 2019年5月18日
Unsupervised Learning via Meta-Learning
CreateAMind
43+阅读 · 2019年1月3日
Disentangled的假设的探讨
CreateAMind
9+阅读 · 2018年12月10日
disentangled-representation-papers
CreateAMind
26+阅读 · 2018年9月12日
Hierarchical Disentangled Representations
CreateAMind
4+阅读 · 2018年4月15日
已删除
将门创投
5+阅读 · 2017年8月15日
Auto-Encoding GAN
CreateAMind
7+阅读 · 2017年8月4日
Imitation by Predicting Observations
Arxiv
4+阅读 · 2021年7月8日
Meta-Learning to Cluster
Arxiv
17+阅读 · 2019年10月30日
Revealing the Dark Secrets of BERT
Arxiv
4+阅读 · 2019年9月11日
Arxiv
23+阅读 · 2018年8月3日
VIP会员
相关VIP内容
【干货书】机器学习速查手册,135页pdf
专知会员服务
127+阅读 · 2020年11月20日
专知会员服务
124+阅读 · 2020年9月8日
ExBert — 可视化分析Transformer学到的表示
专知会员服务
32+阅读 · 2019年10月16日
机器学习入门的经验与建议
专知会员服务
94+阅读 · 2019年10月10日
最新BERT相关论文清单,BERT-related Papers
专知会员服务
53+阅读 · 2019年9月29日
相关资讯
强化学习三篇论文 避免遗忘等
CreateAMind
20+阅读 · 2019年5月24日
Hierarchically Structured Meta-learning
CreateAMind
27+阅读 · 2019年5月22日
Transferring Knowledge across Learning Processes
CreateAMind
29+阅读 · 2019年5月18日
Unsupervised Learning via Meta-Learning
CreateAMind
43+阅读 · 2019年1月3日
Disentangled的假设的探讨
CreateAMind
9+阅读 · 2018年12月10日
disentangled-representation-papers
CreateAMind
26+阅读 · 2018年9月12日
Hierarchical Disentangled Representations
CreateAMind
4+阅读 · 2018年4月15日
已删除
将门创投
5+阅读 · 2017年8月15日
Auto-Encoding GAN
CreateAMind
7+阅读 · 2017年8月4日
Top
微信扫码咨询专知VIP会员