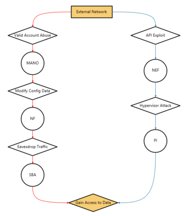
The fifth generation of mobile networks (5G) promises a range of new capabilities including higher data rates and more connected users. To support the new capabilities and use cases the 5G Core Network (5GCN) will be dynamic and reconfigurable in nature to deal with demand. It is these improvements which also introduce issues for traditional security monitoring methods and techniques which need to adapt to the new network architecture. The increased data volumes and dynamic network architecture mean an approach is required to focus security monitoring resources where it is most needed and react to network changes in real time. When considering multi-stage threat scenarios a coordinated, centralised approach to security monitoring is required for the early detection of attacks which may affect different parts of the network. In this chapter we identify potential solutions for overcoming these challenges which begins by identifying the threats to the 5G networks to determine suitable security monitoring placement in the 5GCN.


翻译:第五代移动网络(5G)承诺提供一系列新的能力,包括更高的数据率和更连接的用户。为了支持新的能力和使用新能力,5G核心网络(5GCN)将具有动态和可调整的性质,以应对需求。这些改进也为传统的安全监测方法和技术带来问题,需要适应新的网络结构。数据量和动态网络结构的增加意味着需要一种方法,将安全监测资源集中到最需要的地方,并实时对网络变化作出反应。在考虑多阶段威胁情景时,需要协调、集中的安全监测方法,以便及早发现可能影响到网络不同部分的袭击。本章我们确定克服这些挑战的潜在解决办法,首先是查明5G网络面临的威胁,以确定5GCN的适当安全监测位置。

0
下载
关闭预览

相关内容

Networking:IFIP International Conferences on Networking。 Explanation:国际网络会议。 Publisher:IFIP。 SIT: http://dblp.uni-trier.de/db/conf/networking/index.html
计算机 | 国际会议信息5条
Call4Papers
3+阅读 · 2019年7月3日
计算机类 | ISCC 2019等国际会议信息9条
Call4Papers
5+阅读 · 2018年12月25日
A Technical Overview of AI & ML in 2018 & Trends for 2019
待字闺中
18+阅读 · 2018年12月24日
人工智能 | 国际会议信息10条
Call4Papers
5+阅读 · 2018年12月18日
计算机类 | 国际会议信息7条
Call4Papers
3+阅读 · 2017年11月17日
Arxiv
35+阅读 · 2021年1月27日
AdarGCN: Adaptive Aggregation GCN for Few-Shot Learning
VIP会员
相关资讯
计算机 | 国际会议信息5条
Call4Papers
3+阅读 · 2019年7月3日
计算机类 | ISCC 2019等国际会议信息9条
Call4Papers
5+阅读 · 2018年12月25日
A Technical Overview of AI & ML in 2018 & Trends for 2019
待字闺中
18+阅读 · 2018年12月24日
人工智能 | 国际会议信息10条
Call4Papers
5+阅读 · 2018年12月18日
计算机类 | 国际会议信息7条
Call4Papers
3+阅读 · 2017年11月17日
Top
微信扫码咨询专知VIP会员