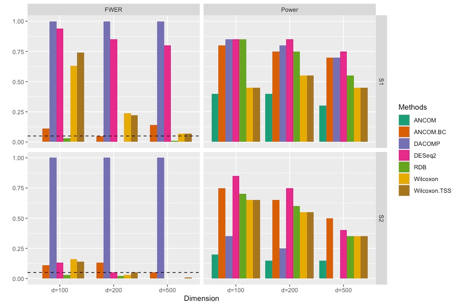
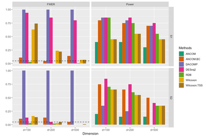
Differential abundance tests in the compositional data are essential and fundamental tasks in various biomedical applications, such as single-cell, bulk RNA-seq, and microbiome data analysis. Despite the recent developments in the fields, differential abundance analysis in the compositional data is still a complicated and unsolved statistical problem because of the compositional constraint and prevalent zero counts in the dataset. A new differential abundance test is introduced in this paper to address these challenges, referred to as the robust differential abundance (RDB) test. Compared with existing methods, the RDB test 1) is simple and computationally efficient, 2) is robust to prevalent zero counts in compositional datasets, 3) can take the data's compositional nature into account, and 4) has a theoretical guarantee to control false discoveries in a general setting. Furthermore, in the presence of observed covariates, the RDB test can work with the covariate balancing techniques to remove the potential confounding effects and draw reliable conclusions. To demonstrate its practical merits, we apply the new test to several numerical examples using both simulated and real datasets.


翻译:组成数据中的不同丰度测试是各种生物医学应用,如单细胞、成批RNA-seq和微生物数据分析中的基本和基本任务。尽管最近在这些领域有了发展,但组成数据中的不同丰度分析仍是一个复杂和未解决的统计问题,因为数据集中存在组成限制和普遍零计现象。本文件引入了新的差异丰度测试,以应对这些挑战,称为强力差异丰度(RDB)测试。与现有方法相比,RDB测试1是简单和具有计算效率的,2)在组成数据集中普遍达到零计数,3)可以将数据的组成性质考虑在内,4)在理论上保证在一般环境中控制错误的发现。此外,在观察到的共变式的情况下,REDB测试可以与共变平衡技术合作,以消除潜在的混结效应并得出可靠的结论。为了证明它的实际价值,我们用模拟和真实的数据集对几个数字实例进行新的测试。

0
下载
关闭预览

相关内容

专知会员服务
51+阅读 · 2020年12月14日
【干货书】机器学习速查手册,135页pdf
专知会员服务
127+阅读 · 2020年11月20日
【干货书】真实机器学习,264页pdf,Real-World Machine Learning
Stabilizing Transformers for Reinforcement Learning
专知会员服务
60+阅读 · 2019年10月17日
Keras François Chollet 《Deep Learning with Python 》, 386页pdf
专知会员服务
161+阅读 · 2019年10月12日
机器学习入门的经验与建议
专知会员服务
94+阅读 · 2019年10月10日
Hierarchically Structured Meta-learning
CreateAMind
27+阅读 · 2019年5月22日
Transferring Knowledge across Learning Processes
CreateAMind
29+阅读 · 2019年5月18日
Unsupervised Learning via Meta-Learning
CreateAMind
43+阅读 · 2019年1月3日
A Technical Overview of AI & ML in 2018 & Trends for 2019
待字闺中
18+阅读 · 2018年12月24日
已删除
将门创投
5+阅读 · 2018年6月7日
Hierarchical Disentangled Representations
CreateAMind
4+阅读 · 2018年4月15日
计算机类 | 期刊专刊截稿信息9条
Call4Papers
4+阅读 · 2018年1月26日
深度学习医学图像分析文献集
机器学习研究会
19+阅读 · 2017年10月13日
【计算机类】期刊专刊/国际会议截稿信息6条
Call4Papers
3+阅读 · 2017年10月13日
【学习】Hierarchical Softmax
机器学习研究会
4+阅读 · 2017年8月6日
Arxiv
0+阅读 · 2021年3月15日
Arxiv
0+阅读 · 2021年3月13日
Meta Learning for Causal Direction
Arxiv
5+阅读 · 2020年7月6日
VIP会员
相关VIP内容
专知会员服务
51+阅读 · 2020年12月14日
【干货书】机器学习速查手册,135页pdf
专知会员服务
127+阅读 · 2020年11月20日
【干货书】真实机器学习,264页pdf,Real-World Machine Learning
Stabilizing Transformers for Reinforcement Learning
专知会员服务
60+阅读 · 2019年10月17日
Keras François Chollet 《Deep Learning with Python 》, 386页pdf
专知会员服务
161+阅读 · 2019年10月12日
机器学习入门的经验与建议
专知会员服务
94+阅读 · 2019年10月10日
相关资讯
Hierarchically Structured Meta-learning
CreateAMind
27+阅读 · 2019年5月22日
Transferring Knowledge across Learning Processes
CreateAMind
29+阅读 · 2019年5月18日
Unsupervised Learning via Meta-Learning
CreateAMind
43+阅读 · 2019年1月3日
A Technical Overview of AI & ML in 2018 & Trends for 2019
待字闺中
18+阅读 · 2018年12月24日
已删除
将门创投
5+阅读 · 2018年6月7日
Hierarchical Disentangled Representations
CreateAMind
4+阅读 · 2018年4月15日
计算机类 | 期刊专刊截稿信息9条
Call4Papers
4+阅读 · 2018年1月26日
深度学习医学图像分析文献集
机器学习研究会
19+阅读 · 2017年10月13日
【计算机类】期刊专刊/国际会议截稿信息6条
Call4Papers
3+阅读 · 2017年10月13日
【学习】Hierarchical Softmax
机器学习研究会
4+阅读 · 2017年8月6日
Top
微信扫码咨询专知VIP会员