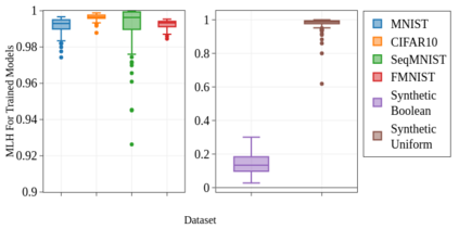
Benford's Law (BL) or the Significant Digit Law defines the probability distribution of the first digit of numerical values in a data sample. This Law is observed in many naturally occurring datasets. It can be seen as a measure of naturalness of a given distribution and finds its application in areas like anomaly and fraud detection. In this work, we address the following question: Is the distribution of the Neural Network parameters related to the network's generalization capability? To that end, we first define a metric, MLH (Model Enthalpy),that measures the closeness of a set of numbers to Benford's Law and we show empirically that it is a strong predictor of Validation Accuracy. Second, we use MLH as an alternative to Validation Accuracy for Early Stopping, removing the need for a Validation set. We provide experimental evidence that even if the optimal size of the validation set is known before-hand, the peak test accuracy attained is lower than not using a validation set at all. Finally, we investigate the connection of BL to Free Energy Principle and First Law of Thermodynamics, showing that MLH is a component of the internal energy of the learning system and optimization as an analogy to minimizing the total energy to attain equilibrium.


翻译:Benford 法律 (BL) 或 重要数字法 定义了数据样本中数字值首位数的概率分布。 这部法律在许多自然发生的数据集中得到遵守。 它可以被视为一个特定分布的自然性度的量度, 并发现其在异常和欺诈检测等领域的应用。 在这项工作中, 我们处理以下问题: 神经网络参数的分布是否与网络的概括能力相关? 为此, 我们首先定义了衡量一组数字与 Benford 法律的接近程度的衡量标准 MLH (Mdel Enthalpy) 。 我们从经验上显示它是一个验证准确性很强的预测器。 其次, 我们使用 MLH 来替代早期停止的校准准确性, 消除对校准集的需要 。 我们提供实验性证据表明, 即使先已知校准集的最佳尺寸, 达到的峰值测试准确度也低于完全没有使用校准集。 最后, 我们调查了 BLL 与自由能源原则的联系, 以及 TheL 法律第一定律的校准准确性 。 我们发现, MLH 是将能源最优化的内部系统 学习总的能源优化 。

0
下载
关闭预览

相关内容

专知会员服务
32+阅读 · 2021年6月12日
Python分布式计算,171页pdf,Distributed Computing with Python
专知会员服务
108+阅读 · 2020年5月3日
机器学习入门的经验与建议
专知会员服务
94+阅读 · 2019年10月10日
【哈佛大学商学院课程Fall 2019】机器学习可解释性
专知会员服务
105+阅读 · 2019年10月9日
意识是一种数学模式
CreateAMind
3+阅读 · 2019年6月24日
Hierarchically Structured Meta-learning
CreateAMind
27+阅读 · 2019年5月22日
Transferring Knowledge across Learning Processes
CreateAMind
29+阅读 · 2019年5月18日
meta learning 17年:MAML SNAIL
CreateAMind
11+阅读 · 2019年1月2日
LibRec 精选:推荐系统的论文与源码
LibRec智能推荐
14+阅读 · 2018年11月29日
【推荐】图像分类必读开创性论文汇总
机器学习研究会
14+阅读 · 2017年8月15日
【学习】Hierarchical Softmax
机器学习研究会
4+阅读 · 2017年8月6日
Auto-Encoding GAN
CreateAMind
7+阅读 · 2017年8月4日
自然语言处理(二)机器翻译 篇 (NLP: machine translation)
DeepLearning中文论坛
12+阅读 · 2015年7月1日
Arxiv
0+阅读 · 2021年10月13日
Arxiv
3+阅读 · 2020年9月30日
Arxiv
27+阅读 · 2020年6月19日
Arxiv
17+阅读 · 2019年3月28日
Arxiv
19+阅读 · 2018年10月25日
VIP会员
相关资讯
意识是一种数学模式
CreateAMind
3+阅读 · 2019年6月24日
Hierarchically Structured Meta-learning
CreateAMind
27+阅读 · 2019年5月22日
Transferring Knowledge across Learning Processes
CreateAMind
29+阅读 · 2019年5月18日
meta learning 17年:MAML SNAIL
CreateAMind
11+阅读 · 2019年1月2日
LibRec 精选:推荐系统的论文与源码
LibRec智能推荐
14+阅读 · 2018年11月29日
【推荐】图像分类必读开创性论文汇总
机器学习研究会
14+阅读 · 2017年8月15日
【学习】Hierarchical Softmax
机器学习研究会
4+阅读 · 2017年8月6日
Auto-Encoding GAN
CreateAMind
7+阅读 · 2017年8月4日
自然语言处理(二)机器翻译 篇 (NLP: machine translation)
DeepLearning中文论坛
12+阅读 · 2015年7月1日
Top
微信扫码咨询专知VIP会员