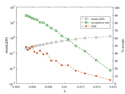
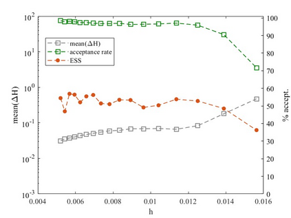
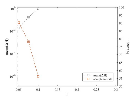
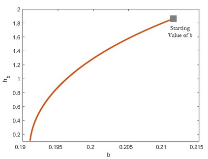
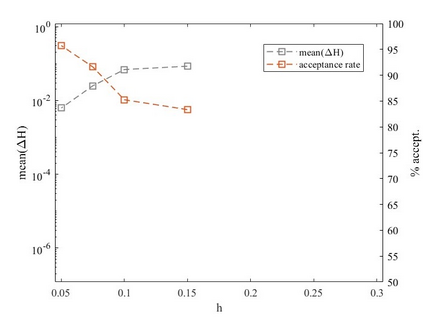
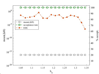
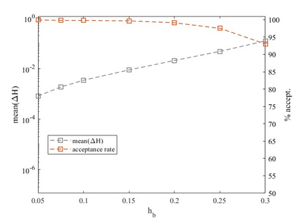
Splitting schemes are numerical integrators for Hamiltonian problems that may advantageously replace the St\"ormer-Verlet method within Hamiltonian Monte Carlo (HMC) methodology. However, HMC performance is very sensitive to the step size parameter; in this paper we propose a new method in the one-parameter family of second-order of splitting procedures that uses a well-fitting parameter that nullifies the expectation of the energy error for univariate and multivariate Gaussian distributions, taken as a problem-guide for more realistic situations; we also provide a new algorithm that through an adaptive choice of the $b$ parameter and the step-size ensures high sampling performance of HMC. For similar methods introduced in recent literature, by using the proposed step size selection, the splitting integration within HMC method never rejects a sample when applied to univariate and multivariate Gaussian distributions. For more general non Gaussian target distributions the proposed approach exceeds the principal especially when the adaptive choice is used. The effectiveness of the proposed is firstly tested on some benchmarks examples taken from literature. Then, we conduct experiments by considering as target distribution, the Log-Gaussian Cox process and Bayesian Logistic Regression.


翻译:在汉密尔顿-蒙特-蒙特-卡洛(汉密尔顿-蒙特-蒙特-卡罗(HMC))方法中,汉密尔顿问题的数字集成方案是汉密尔顿问题的数字集成器,可有利地取代St'ormer-Verlet方法。然而,HMC的性能对于步数参数参数参数非常敏感;在本文件中,我们提议在单数分解程序二阶梯组中采用新方法,使用一个适当参数,使对单数和多变数高斯分布的能源错误的期望丧失;对于更一般的非高斯目标分布,建议的办法超过了本数,特别是在采用适应性选择时;我们还提供一种新的算法,通过调适量选择美元参数和分量尺寸确保HMC的高采样性性。对于最近文献中引入的类似方法,我们采用拟议的步数选择,即步数分解方法在对单数和多变数高斯分布应用时绝不拒绝样品。对于较普通的非高斯目标分布,特别是在使用适应性选择时,拟议的办法超过了本。拟议的办法的有效性首先在从文献中对某些基准示例进行测试。然后,我们将Lo-Gsurb-regisliversisal作为目标的分布作为目标分布。我们进行实验,然后考虑将目标进行试验。

0
下载
关闭预览

相关内容

Integration:Integration, the VLSI Journal。 Explanation:集成,VLSI杂志。 Publisher:Elsevier。 SIT:http://dblp.uni-trier.de/db/journals/integration/
不可错过!《机器学习100讲》课程,UBC Mark Schmidt讲授
专知会员服务
76+阅读 · 2022年6月28日
专知会员服务
51+阅读 · 2020年12月14日
专知会员服务
54+阅读 · 2020年9月7日
强化学习最新教程,17页pdf
专知会员服务
182+阅读 · 2019年10月11日
【SIGGRAPH2019】TensorFlow 2.0深度学习计算机图形学应用
专知会员服务
41+阅读 · 2019年10月9日
VCIP 2022 Call for Special Session Proposals
CCF多媒体专委会
1+阅读 · 2022年4月1日
ACM MM 2022 Call for Papers
CCF多媒体专委会
5+阅读 · 2022年3月29日
【ICIG2021】Check out the hot new trailer of ICIG2021 Symposium9
中国图象图形学学会CSIG
0+阅读 · 2021年12月17日
【ICIG2021】Check out the hot new trailer of ICIG2021 Symposium6
中国图象图形学学会CSIG
2+阅读 · 2021年11月12日
【ICIG2021】Check out the hot new trailer of ICIG2021 Symposium4
中国图象图形学学会CSIG
0+阅读 · 2021年11月10日
【ICIG2021】Check out the hot new trailer of ICIG2021 Symposium3
中国图象图形学学会CSIG
0+阅读 · 2021年11月9日
Hierarchically Structured Meta-learning
CreateAMind
27+阅读 · 2019年5月22日
强化学习的Unsupervised Meta-Learning
CreateAMind
18+阅读 · 2019年1月7日
Unsupervised Learning via Meta-Learning
CreateAMind
43+阅读 · 2019年1月3日
A Technical Overview of AI & ML in 2018 & Trends for 2019
待字闺中
18+阅读 · 2018年12月24日
国家自然科学基金
2+阅读 · 2017年12月31日
国家自然科学基金
0+阅读 · 2014年12月31日
国家自然科学基金
0+阅读 · 2013年12月31日
国家自然科学基金
0+阅读 · 2013年12月31日
国家自然科学基金
0+阅读 · 2012年12月31日
国家自然科学基金
0+阅读 · 2012年12月31日
国家自然科学基金
0+阅读 · 2011年12月31日
国家自然科学基金
0+阅读 · 2011年12月31日
国家自然科学基金
0+阅读 · 2009年12月31日
Arxiv
0+阅读 · 2023年2月2日
Arxiv
0+阅读 · 2023年2月1日
VIP会员
相关VIP内容
不可错过!《机器学习100讲》课程,UBC Mark Schmidt讲授
专知会员服务
76+阅读 · 2022年6月28日
专知会员服务
51+阅读 · 2020年12月14日
专知会员服务
54+阅读 · 2020年9月7日
强化学习最新教程,17页pdf
专知会员服务
182+阅读 · 2019年10月11日
【SIGGRAPH2019】TensorFlow 2.0深度学习计算机图形学应用
专知会员服务
41+阅读 · 2019年10月9日
相关资讯
VCIP 2022 Call for Special Session Proposals
CCF多媒体专委会
1+阅读 · 2022年4月1日
ACM MM 2022 Call for Papers
CCF多媒体专委会
5+阅读 · 2022年3月29日
【ICIG2021】Check out the hot new trailer of ICIG2021 Symposium9
中国图象图形学学会CSIG
0+阅读 · 2021年12月17日
【ICIG2021】Check out the hot new trailer of ICIG2021 Symposium6
中国图象图形学学会CSIG
2+阅读 · 2021年11月12日
【ICIG2021】Check out the hot new trailer of ICIG2021 Symposium4
中国图象图形学学会CSIG
0+阅读 · 2021年11月10日
【ICIG2021】Check out the hot new trailer of ICIG2021 Symposium3
中国图象图形学学会CSIG
0+阅读 · 2021年11月9日
Hierarchically Structured Meta-learning
CreateAMind
27+阅读 · 2019年5月22日
强化学习的Unsupervised Meta-Learning
CreateAMind
18+阅读 · 2019年1月7日
Unsupervised Learning via Meta-Learning
CreateAMind
43+阅读 · 2019年1月3日
A Technical Overview of AI & ML in 2018 & Trends for 2019
待字闺中
18+阅读 · 2018年12月24日
相关基金
国家自然科学基金
2+阅读 · 2017年12月31日
国家自然科学基金
0+阅读 · 2014年12月31日
国家自然科学基金
0+阅读 · 2013年12月31日
国家自然科学基金
0+阅读 · 2013年12月31日
国家自然科学基金
0+阅读 · 2012年12月31日
国家自然科学基金
0+阅读 · 2012年12月31日
国家自然科学基金
0+阅读 · 2011年12月31日
国家自然科学基金
0+阅读 · 2011年12月31日
国家自然科学基金
0+阅读 · 2009年12月31日
Top
微信扫码咨询专知VIP会员