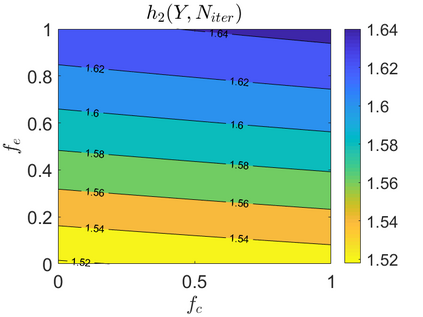
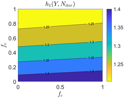
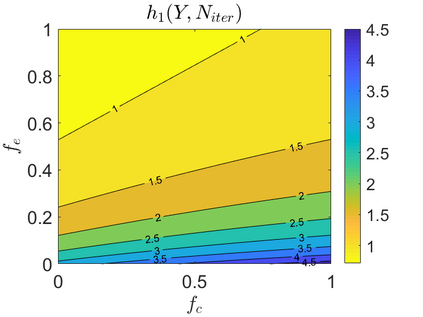
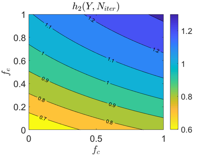
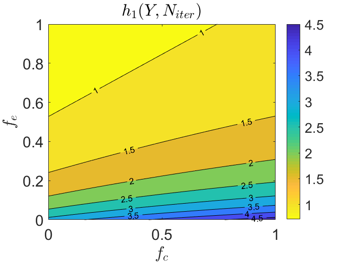
Multi-objective optimization problems whose objectives have different evaluation costs are commonly seen in the real world. Such problems are now known as multi-objective optimization problems with heterogeneous objectives (HE-MOPs). So far, however, only a few studies have been reported to address HE-MOPs, and most of them focus on bi-objective problems with one fast objective and one slow objective. In this work, we aim to deal with HE-MOPs having more than two black-box and heterogeneous objectives. To this end, we develop a multi-objective Bayesian evolutionary optimization approach to HE-MOPs by exploiting the different data sets on the cheap and expensive objectives in HE-MOPs to alleviate the search bias caused by the heterogeneous evaluation costs for evaluating different objectives. To make the best use of two different training data sets, one with solutions evaluated on all objectives and the other with those only evaluated on the fast objectives, two separate Gaussian process models are constructed. In addition, a new acquisition function that mitigates search bias towards the fast objectives is suggested, thereby achieving a balance between convergence and diversity. We demonstrate the effectiveness of the proposed algorithm by testing it on widely used multi-/many-objective benchmark problems whose objectives are assumed to be heterogeneously expensive.


翻译:目标具有不同评价成本的多目标优化问题在现实世界中是常见的。这些问题现在被称为具有不同目标的多目标优化问题(HE-MOPs ) 。然而,到目前为止,只报告了若干项研究来针对HE-MOPs,其中多数侧重于一个快速目标和一个缓慢目标的双目标问题。在这项工作中,我们的目标是与两个以上黑箱和不同目标的HE-MOs打交道。为此,我们为HE-MOs制定了一种多目标的贝叶西亚进化优化方法,利用HE-MOs中廉价和昂贵目标的不同数据集来缓解不同目标评估成本造成的搜索偏差。为了最佳利用两种不同的培训数据集,一种是对所有目标都进行评价的解决方案,另一种是只对快目标进行评价的解决方案。此外,我们提出了两个单独的高叶进程模型。此外,我们提出了一个新的购置功能,可以减少搜索对快目标的偏差,从而实现趋同和多样性之间的平衡。我们通过测试广泛使用的多/曼基目标,我们用其假设为具有成本效益。

0
下载
关闭预览

相关内容

专知会员服务
61+阅读 · 2020年3月19日
100+篇《自监督学习(Self-Supervised Learning)》论文最新合集
专知会员服务
167+阅读 · 2020年3月18日
Keras François Chollet 《Deep Learning with Python 》, 386页pdf
专知会员服务
161+阅读 · 2019年10月12日
强化学习最新教程,17页pdf
专知会员服务
182+阅读 · 2019年10月11日
[综述]深度学习下的场景文本检测与识别
专知会员服务
78+阅读 · 2019年10月10日
【SIGGRAPH2019】TensorFlow 2.0深度学习计算机图形学应用
专知会员服务
41+阅读 · 2019年10月9日
VCIP 2022 Call for Special Session Proposals
CCF多媒体专委会
1+阅读 · 2022年4月1日
IEEE ICKG 2022: Call for Papers
机器学习与推荐算法
3+阅读 · 2022年3月30日
ACM MM 2022 Call for Papers
CCF多媒体专委会
5+阅读 · 2022年3月29日
AIART 2022 Call for Papers
CCF多媒体专委会
1+阅读 · 2022年2月13日
【ICIG2021】Check out the hot new trailer of ICIG2021 Symposium3
中国图象图形学学会CSIG
0+阅读 · 2021年11月9日
【ICIG2021】Check out the hot new trailer of ICIG2021 Symposium2
中国图象图形学学会CSIG
0+阅读 · 2021年11月8日
【ICIG2021】Check out the hot new trailer of ICIG2021 Symposium1
中国图象图形学学会CSIG
0+阅读 · 2021年11月3日
Transferring Knowledge across Learning Processes
CreateAMind
29+阅读 · 2019年5月18日
无监督元学习表示学习
CreateAMind
27+阅读 · 2019年1月4日
Unsupervised Learning via Meta-Learning
CreateAMind
43+阅读 · 2019年1月3日
国家自然科学基金
0+阅读 · 2015年12月31日
国家自然科学基金
0+阅读 · 2015年12月31日
国家自然科学基金
0+阅读 · 2014年12月31日
国家自然科学基金
2+阅读 · 2013年12月31日
国家自然科学基金
0+阅读 · 2013年12月31日
国家自然科学基金
0+阅读 · 2012年12月31日
国家自然科学基金
0+阅读 · 2009年12月31日
国家自然科学基金
0+阅读 · 2008年12月31日
Arxiv
0+阅读 · 2022年10月3日
VIP会员
相关资讯
VCIP 2022 Call for Special Session Proposals
CCF多媒体专委会
1+阅读 · 2022年4月1日
IEEE ICKG 2022: Call for Papers
机器学习与推荐算法
3+阅读 · 2022年3月30日
ACM MM 2022 Call for Papers
CCF多媒体专委会
5+阅读 · 2022年3月29日
AIART 2022 Call for Papers
CCF多媒体专委会
1+阅读 · 2022年2月13日
【ICIG2021】Check out the hot new trailer of ICIG2021 Symposium3
中国图象图形学学会CSIG
0+阅读 · 2021年11月9日
【ICIG2021】Check out the hot new trailer of ICIG2021 Symposium2
中国图象图形学学会CSIG
0+阅读 · 2021年11月8日
【ICIG2021】Check out the hot new trailer of ICIG2021 Symposium1
中国图象图形学学会CSIG
0+阅读 · 2021年11月3日
Transferring Knowledge across Learning Processes
CreateAMind
29+阅读 · 2019年5月18日
无监督元学习表示学习
CreateAMind
27+阅读 · 2019年1月4日
Unsupervised Learning via Meta-Learning
CreateAMind
43+阅读 · 2019年1月3日
相关基金
国家自然科学基金
0+阅读 · 2015年12月31日
国家自然科学基金
0+阅读 · 2015年12月31日
国家自然科学基金
0+阅读 · 2014年12月31日
国家自然科学基金
2+阅读 · 2013年12月31日
国家自然科学基金
0+阅读 · 2013年12月31日
国家自然科学基金
0+阅读 · 2012年12月31日
国家自然科学基金
0+阅读 · 2009年12月31日
国家自然科学基金
0+阅读 · 2008年12月31日
Top
微信扫码咨询专知VIP会员