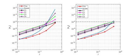
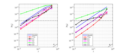
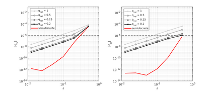
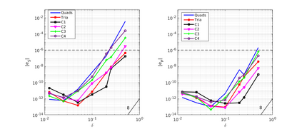
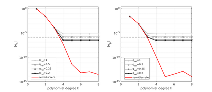
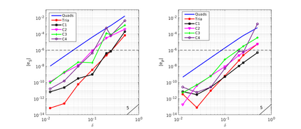
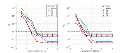
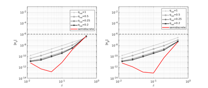
We design the conforming virtual element method for the numerical approximation of the two dimensional elastodynamics problem. We prove stability and convergence of the semi-discrete approximation and derive optimal error estimates under $h$- and $p$-refinement in both the energy and the $L^2$ norms. The performance of the proposed virtual element method is assessed on a set of different computational meshes, including non-convex cells up to order four in the $h$-refinement setting. Exponential convergence is also experimentally observed under p-refinement. Finally, we present a dispersion-dissipation analysis for both the semi-discrete and fully-discrete schemes, showing that polygonal meshes behave as classical simplicial/quadrilateral grids in terms of dispersion-dissipation properties.


翻译:我们设计了符合两个维电子动力学问题数字近似值的虚拟元素方法。我们证明半分解近似值的稳定性和趋同性,并在能量和2美元规范中得出以美元和美元为单位的最佳误差估计值。拟议虚拟元元素方法的性能是通过一套不同的计算模件来评估的,包括非碳化细胞,最多在美元-再精度设置中排列四个。在精炼中也实验性地观测了指数趋同性。最后,我们对半分解和完全分解两种方法都进行了分散性分析,表明多边间藻在分散性特性方面表现为典型的小型/半边际网格。

0
下载
关闭预览

相关内容

FlowQA: Grasping Flow in History for Conversational Machine Comprehension
专知会员服务
34+阅读 · 2019年10月18日
Keras François Chollet 《Deep Learning with Python 》, 386页pdf
专知会员服务
163+阅读 · 2019年10月12日
Hierarchically Structured Meta-learning
CreateAMind
27+阅读 · 2019年5月22日
强化学习的Unsupervised Meta-Learning
CreateAMind
18+阅读 · 2019年1月7日
Unsupervised Learning via Meta-Learning
CreateAMind
43+阅读 · 2019年1月3日
RL 真经
CreateAMind
5+阅读 · 2018年12月28日
Disentangled的假设的探讨
CreateAMind
9+阅读 · 2018年12月10日
disentangled-representation-papers
CreateAMind
26+阅读 · 2018年9月12日
Hierarchical Disentangled Representations
CreateAMind
4+阅读 · 2018年4月15日
随波逐流:Similarity-Adaptive and Discrete Optimization
我爱读PAMI
5+阅读 · 2018年2月6日
【论文】变分推断(Variational inference)的总结
机器学习研究会
39+阅读 · 2017年11月16日
Auto-Encoding GAN
CreateAMind
7+阅读 · 2017年8月4日
Arxiv
0+阅读 · 2020年12月1日
VIP会员
相关VIP内容
FlowQA: Grasping Flow in History for Conversational Machine Comprehension
专知会员服务
34+阅读 · 2019年10月18日
Keras François Chollet 《Deep Learning with Python 》, 386页pdf
专知会员服务
163+阅读 · 2019年10月12日
相关资讯
Hierarchically Structured Meta-learning
CreateAMind
27+阅读 · 2019年5月22日
强化学习的Unsupervised Meta-Learning
CreateAMind
18+阅读 · 2019年1月7日
Unsupervised Learning via Meta-Learning
CreateAMind
43+阅读 · 2019年1月3日
RL 真经
CreateAMind
5+阅读 · 2018年12月28日
Disentangled的假设的探讨
CreateAMind
9+阅读 · 2018年12月10日
disentangled-representation-papers
CreateAMind
26+阅读 · 2018年9月12日
Hierarchical Disentangled Representations
CreateAMind
4+阅读 · 2018年4月15日
随波逐流:Similarity-Adaptive and Discrete Optimization
我爱读PAMI
5+阅读 · 2018年2月6日
【论文】变分推断(Variational inference)的总结
机器学习研究会
39+阅读 · 2017年11月16日
Auto-Encoding GAN
CreateAMind
7+阅读 · 2017年8月4日
Top
微信扫码咨询专知VIP会员