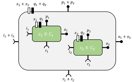
We develop an interface-modeling framework for quality and resource management that captures configurable working points of hardware and software components in terms of functionality, resource usage and provision, and quality indicators such as performance and energy consumption. We base these aspects on partially-ordered sets to capture quality levels, budget sizes, and functional compatibility. This makes the framework widely applicable and domain independent (although we aim for embedded and cyber-physical systems). The framework paves the way for dynamic (re-)configuration and multi-objective optimization of component-based systems for quality- and resource-management purposes.


翻译:我们为质量和资源管理开发一个界面模型框架,从功能、资源使用和提供以及业绩和能源消耗等质量指标等方面收集硬件和软件组成部分的可配置工作点。我们将这些方面建立在有条理的组合基础上,以体现质量水平、预算规模和功能兼容性。这使得该框架广泛适用和领域独立(尽管我们的目标是嵌入和网络物理系统)。框架为以质量和资源管理为目的的基于组件的系统动态(重新)配置和多目标优化铺平了道路。

0
下载
关闭预览

相关内容

专知会员服务
41+阅读 · 2021年7月5日
专知会员服务
51+阅读 · 2020年12月14日
专知会员服务
30+阅读 · 2020年11月4日
最新BERT相关论文清单,BERT-related Papers
专知会员服务
53+阅读 · 2019年9月29日
计算机 | 入门级EI会议ICVRIS 2019诚邀稿件
Call4Papers
10+阅读 · 2019年6月24日
BERT/Transformer/迁移学习NLP资源大列表
专知
19+阅读 · 2019年6月9日
CCF推荐 | 国际会议信息8条
Call4Papers
9+阅读 · 2019年5月23日
Transferring Knowledge across Learning Processes
CreateAMind
29+阅读 · 2019年5月18日
CCF A类 | 顶级会议RTSS 2019诚邀稿件
Call4Papers
10+阅读 · 2019年4月17日
计算机 | CCF推荐期刊专刊信息5条
Call4Papers
3+阅读 · 2019年4月10日
Call for Participation: Shared Tasks in NLPCC 2019
中国计算机学会
5+阅读 · 2019年3月22日
A Technical Overview of AI & ML in 2018 & Trends for 2019
待字闺中
18+阅读 · 2018年12月24日
CCF B类期刊IPM专刊截稿信息1条
Call4Papers
3+阅读 · 2018年10月11日
计算机类 | 期刊专刊截稿信息9条
Call4Papers
4+阅读 · 2018年1月26日
Arxiv
0+阅读 · 2021年7月15日
Arxiv
1+阅读 · 2021年7月12日
Arxiv
5+阅读 · 2018年1月23日
VIP会员
相关资讯
计算机 | 入门级EI会议ICVRIS 2019诚邀稿件
Call4Papers
10+阅读 · 2019年6月24日
BERT/Transformer/迁移学习NLP资源大列表
专知
19+阅读 · 2019年6月9日
CCF推荐 | 国际会议信息8条
Call4Papers
9+阅读 · 2019年5月23日
Transferring Knowledge across Learning Processes
CreateAMind
29+阅读 · 2019年5月18日
CCF A类 | 顶级会议RTSS 2019诚邀稿件
Call4Papers
10+阅读 · 2019年4月17日
计算机 | CCF推荐期刊专刊信息5条
Call4Papers
3+阅读 · 2019年4月10日
Call for Participation: Shared Tasks in NLPCC 2019
中国计算机学会
5+阅读 · 2019年3月22日
A Technical Overview of AI & ML in 2018 & Trends for 2019
待字闺中
18+阅读 · 2018年12月24日
CCF B类期刊IPM专刊截稿信息1条
Call4Papers
3+阅读 · 2018年10月11日
计算机类 | 期刊专刊截稿信息9条
Call4Papers
4+阅读 · 2018年1月26日
Top
微信扫码咨询专知VIP会员